Номер 30, страница 9 - гдз по алгебре 9 класс учебник Арефьева, Пирютко

Алгебра, 9 класс Учебник, авторы: Арефьева Ирина Глебовна, Пирютко Ольга Николаевна, издательство Народная асвета, Минск, 2019, голубого цвета

Авторы: Арефьева И. Г., Пирютко О. Н.

Тип: Учебник

Издательство: Народная асвета

Год издания: 2019 - 2026

Цвет обложки: голубой, синий с графиком

ISBN: 978-985-03-3077-2

Допущено Министерством образования Республики Беларусь

Популярные ГДЗ в 9 классе

Повторение курса алгебры 7—8-х классов - номер 30, страница 9.

№30 (с. 9)
Условие. №30 (с. 9)
скриншот условия
Алгебра, 9 класс Учебник, авторы: Арефьева Ирина Глебовна, Пирютко Ольга Николаевна, издательство Народная асвета, Минск, 2019, голубого цвета, страница 9, номер 30, Условие

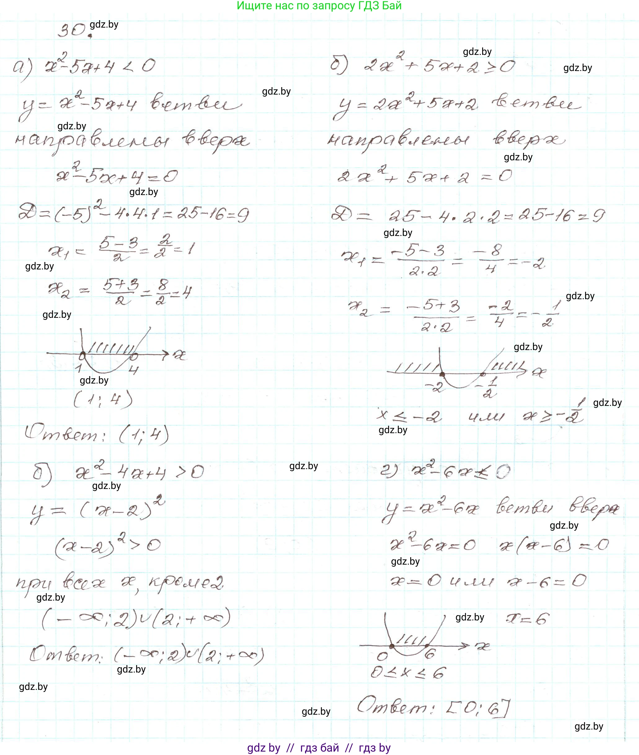
30. Решите неравенство:

а) $x^2 - 5x + 4 < 0;$

б) $2x^2 + 5x + 2 \ge 0;$

в) $x^2 - 4x + 4 > 0;$

г) $x^2 - 6x \le 0.$

Решение. №30 (с. 9)
Алгебра, 9 класс Учебник, авторы: Арефьева Ирина Глебовна, Пирютко Ольга Николаевна, издательство Народная асвета, Минск, 2019, голубого цвета, страница 9, номер 30, Решение
Решение 2. №30 (с. 9)

а) $x^2 - 5x + 4 < 0$

Для решения квадратного неравенства сначала найдем корни соответствующего уравнения $x^2 - 5x + 4 = 0$.

Используем теорему Виета: сумма корней $x_1 + x_2 = 5$, произведение корней $x_1 \cdot x_2 = 4$. Легко подобрать корни: $x_1 = 1$, $x_2 = 4$.

Графиком функции $y = x^2 - 5x + 4$ является парабола, ветви которой направлены вверх (так как коэффициент при $x^2$ равен 1, что больше 0). Парабола пересекает ось абсцисс (Ox) в точках $x=1$ и $x=4$.

Неравенство $x^2 - 5x + 4 < 0$ выполняется на том интервале, где парабола находится ниже оси Ox. Это происходит между корнями.

Ответ: $x \in (1, 4)$.

б) $2x^2 + 5x + 2 \ge 0$

Найдем корни уравнения $2x^2 + 5x + 2 = 0$.

Вычислим дискриминант: $D = b^2 - 4ac = 5^2 - 4 \cdot 2 \cdot 2 = 25 - 16 = 9$.

Корни уравнения: $x = \frac{-b \pm \sqrt{D}}{2a} = \frac{-5 \pm \sqrt{9}}{2 \cdot 2} = \frac{-5 \pm 3}{4}$.

$x_1 = \frac{-5 - 3}{4} = \frac{-8}{4} = -2$

$x_2 = \frac{-5 + 3}{4} = \frac{-2}{4} = -0.5$

Графиком функции $y = 2x^2 + 5x + 2$ является парабола, ветви которой направлены вверх (коэффициент при $x^2$ равен 2 > 0). Парабола пересекает ось Ox в точках $x = -2$ и $x = -0.5$.

Неравенство $2x^2 + 5x + 2 \ge 0$ выполняется там, где парабола находится на оси Ox или выше нее. Это происходит левее меньшего корня и правее большего корня, включая сами корни.

Ответ: $x \in (-\infty, -2] \cup [-0.5, +\infty)$.

в) $x^2 - 4x + 4 > 0$

Заметим, что левая часть неравенства является полным квадратом: $x^2 - 4x + 4 = (x-2)^2$.

Неравенство принимает вид $(x-2)^2 > 0$.

Квадрат любого действительного числа неотрицателен, то есть $(x-2)^2 \ge 0$. Равенство нулю достигается при $x=2$.

Следовательно, строгое неравенство $(x-2)^2 > 0$ выполняется для всех действительных чисел, кроме $x=2$.

Ответ: $x \in (-\infty, 2) \cup (2, +\infty)$.

г) $x^2 - 6x \le 0$

Разложим левую часть на множители: $x(x-6) \le 0$.

Найдем корни уравнения $x(x-6) = 0$. Корнями являются $x_1 = 0$ и $x_2 = 6$.

Графиком функции $y = x^2 - 6x$ является парабола с ветвями вверх (коэффициент при $x^2$ равен 1 > 0), пересекающая ось Ox в точках $x=0$ и $x=6$.

Неравенство $x^2 - 6x \le 0$ выполняется на том промежутке, где парабола находится на оси Ox или ниже нее. Это происходит между корнями, включая сами корни.

Ответ: $x \in [0, 6]$.

31. Построим график функции $y = x^2 - 6x + 8$.

Это квадратичная функция, ее график — парабола. Для построения найдем ее ключевые характеристики.

  1. Направление ветвей параболы:
    Коэффициент при $x^2$ равен $a=1$. Так как $a>0$, ветви параболы направлены вверх.
  2. Координаты вершины параболы:
    Абсцисса вершины: $x_v = -\frac{b}{2a} = -\frac{-6}{2 \cdot 1} = 3$.
    Ордината вершины: $y_v = (3)^2 - 6(3) + 8 = 9 - 18 + 8 = -1$.
    Вершина параболы находится в точке $(3, -1)$. Ось симметрии параболы — прямая $x=3$.
  3. Точки пересечения с осями координат:
    • С осью Oy (x=0):
      $y = 0^2 - 6 \cdot 0 + 8 = 8$.
      Точка пересечения с осью Oy: $(0, 8)$.
    • С осью Ox (y=0):
      Решим уравнение $x^2 - 6x + 8 = 0$.
      По теореме Виета, $x_1 + x_2 = 6$ и $x_1 \cdot x_2 = 8$. Корни: $x_1=2$, $x_2=4$.
      Точки пересечения с осью Ox: $(2, 0)$ и $(4, 0)$.
  4. Дополнительные точки для точности построения:
    Возьмем точку $x=1$. $y = 1^2 - 6 \cdot 1 + 8 = 1 - 6 + 8 = 3$. Точка $(1, 3)$.
    Симметричная ей относительно оси $x=3$ точка будет иметь абсциссу $3+(3-1) = 5$. Значение функции в ней будет таким же: $y=3$. Точка $(5, 3)$.
    Точка, симметричная точке $(0, 8)$, будет иметь абсциссу $3+(3-0)=6$. Точка $(6, 8)$.

Построение графика:

На координатной плоскости отмечаем найденные точки:

  • Вершина: $(3, -1)$
  • Пересечения с Ox: $(2, 0)$ и $(4, 0)$
  • Пересечение с Oy: $(0, 8)$
  • Дополнительные точки: $(1, 3)$, $(5, 3)$, $(6, 8)$

Соединяем эти точки плавной линией, учитывая, что это парабола с ветвями вверх и осью симметрии $x=3$.

Ответ: Графиком функции является парабола с вершиной в точке $(3, -1)$, ветвями, направленными вверх, пересекающая ось абсцисс в точках $(2, 0)$ и $(4, 0)$, и ось ординат в точке $(0, 8)$.

Помогло решение? Оставьте отзыв в комментариях ниже.

Присоединяйтесь к Телеграм-группе @gdz_by_belarus

Присоединиться

Мы подготовили для вас ответ c подробным объяснением домашего задания по алгебре за 9 класс, для упражнения номер 30 расположенного на странице 9 к учебнику 2019 года издания для учащихся школ и гимназий.

Теперь на нашем сайте ГДЗ.ТОП вы всегда легко и бесплатно найдёте условие с правильным ответом на вопрос «Как решить ДЗ» и «Как сделать» задание по алгебре к упражнению №30 (с. 9), авторов: Арефьева (Ирина Глебовна), Пирютко (Ольга Николаевна), учебного пособия издательства Народная асвета.