Номер 1.218, страница 65 - гдз по алгебре 9 класс учебник Арефьева, Пирютко

Алгебра, 9 класс Учебник, авторы: Арефьева Ирина Глебовна, Пирютко Ольга Николаевна, издательство Народная асвета, Минск, 2019, голубого цвета

Авторы: Арефьева И. Г., Пирютко О. Н.

Тип: Учебник

Издательство: Народная асвета

Год издания: 2019 - 2026

Цвет обложки: голубой, синий с графиком

ISBN: 978-985-03-3077-2

Допущено Министерством образования Республики Беларусь

Популярные ГДЗ в 9 классе

Глава 1. Рациональные выражения. Параграф 5. Преобразования рациональных выражений - номер 1.218, страница 65.

№1.218 (с. 65)
Условие. №1.218 (с. 65)
скриншот условия
Алгебра, 9 класс Учебник, авторы: Арефьева Ирина Глебовна, Пирютко Ольга Николаевна, издательство Народная асвета, Минск, 2019, голубого цвета, страница 65, номер 1.218, Условие

1.218. Выполните действия:

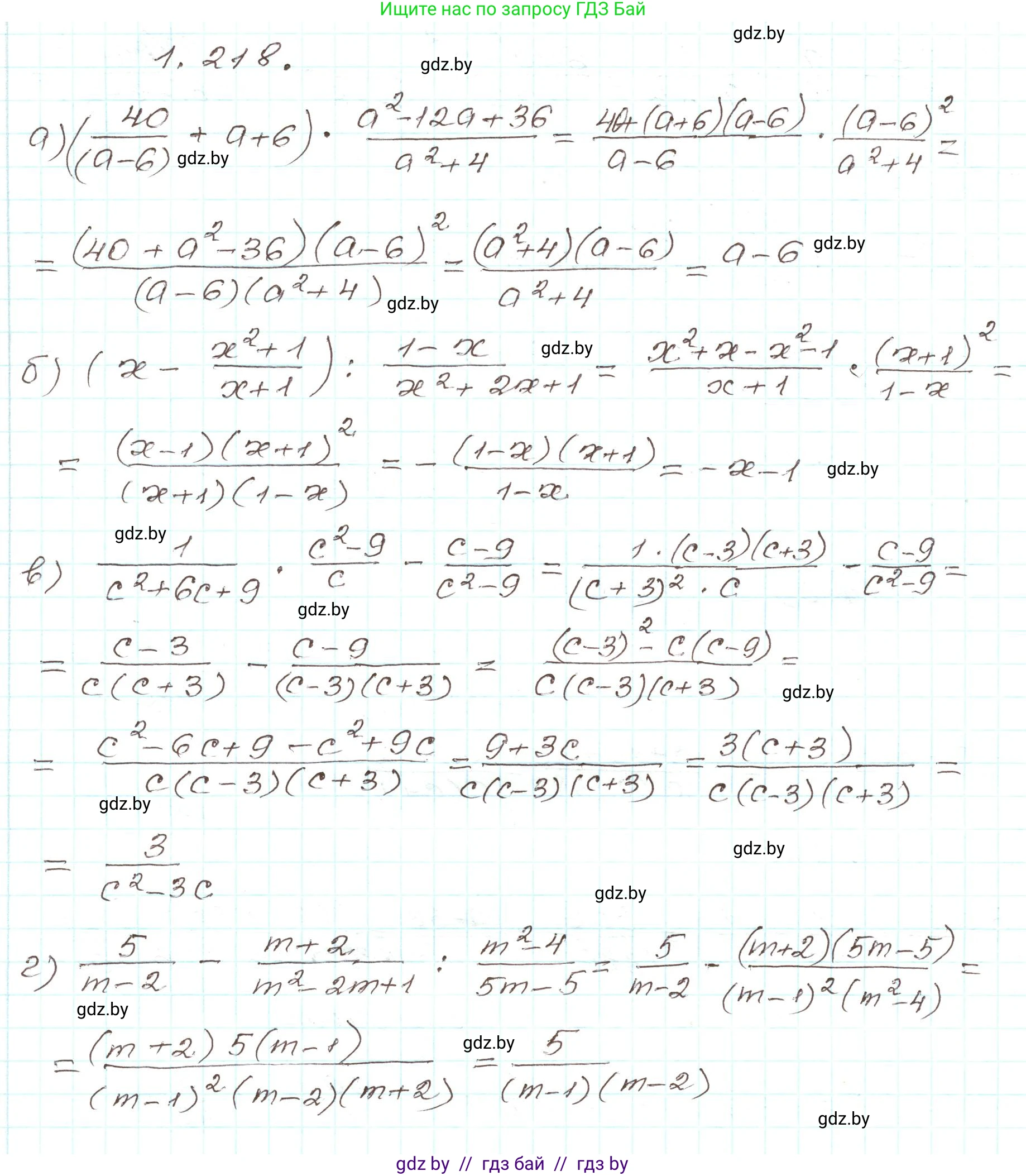
а) $\left(\frac{40}{a - 6} + a + 6\right) \cdot \frac{a^2 - 12a + 36}{a^2 + 4};$

б) $\left(x - \frac{x^2 + 1}{x + 1}\right) : \frac{1 - x}{x^2 + 2x + 1};$

В) $\frac{1}{c^2 + 6c + 9} \cdot \frac{c^2 - 9}{c} - \frac{c - 9}{c^2 - 9};$

Г) $\frac{5}{m - 2} - \frac{m + 2}{m^2 - 2m + 1} : \frac{m^2 - 4}{5m - 5}.$

Решение. №1.218 (с. 65)
Алгебра, 9 класс Учебник, авторы: Арефьева Ирина Глебовна, Пирютко Ольга Николаевна, издательство Народная асвета, Минск, 2019, голубого цвета, страница 65, номер 1.218, Решение
Решение 2. №1.218 (с. 65)

а) Выполним действия по шагам.
1. Упростим выражение в скобках. Для этого приведем слагаемые к общему знаменателю $(a-6)$:
$ \left(\frac{40}{a-6} + a + 6\right) = \frac{40}{a-6} + \frac{(a+6)(a-6)}{a-6} $
Применив формулу разности квадратов $(x-y)(x+y) = x^2-y^2$ для выражения $(a+6)(a-6)$, получим:
$ \frac{40 + a^2 - 36}{a-6} = \frac{a^2 + 4}{a-6} $
2. Разложим на множители числитель второй дроби. Это полный квадрат разности $x^2-2xy+y^2=(x-y)^2$:
$ a^2 - 12a + 36 = (a-6)^2 $
3. Теперь выполним умножение полученных выражений:
$ \frac{a^2 + 4}{a-6} \cdot \frac{(a-6)^2}{a^2 + 4} $
4. Сократим дробь на общие множители $(a^2+4)$ и $(a-6)$:
$ \frac{\cancel{a^2 + 4}}{\cancel{a-6}} \cdot \frac{(a-6)^{\cancel{2}}}{\cancel{a^2 + 4}} = a-6 $
Ответ: $a-6$

б) Выполним действия по шагам.
1. Упростим выражение в скобках, приведя к общему знаменателю $(x+1)$:
$ \left(x - \frac{x^2 + 1}{x+1}\right) = \frac{x(x+1)}{x+1} - \frac{x^2+1}{x+1} = \frac{x(x+1) - (x^2+1)}{x+1} = \frac{x^2+x-x^2-1}{x+1} = \frac{x-1}{x+1} $
2. Разложим на множители знаменатель второй дроби (полный квадрат суммы) и для удобства вынесем знак минуса в числителе:
$ \frac{1-x}{x^2+2x+1} = \frac{-(x-1)}{(x+1)^2} $
3. Выполним деление. Деление на дробь равносильно умножению на обратную (перевернутую) дробь:
$ \frac{x-1}{x+1} : \frac{-(x-1)}{(x+1)^2} = \frac{x-1}{x+1} \cdot \frac{(x+1)^2}{-(x-1)} $
4. Сократим общие множители $(x-1)$ и $(x+1)$:
$ \frac{\cancel{x-1}}{\cancel{x+1}} \cdot \frac{(x+1)^{\cancel{2}}}{-(\cancel{x-1})} = \frac{x+1}{-1} = -(x+1) = -x-1 $
Ответ: $-x-1$

в) Выполним действия в соответствии с их порядком: сначала умножение, затем вычитание.
1. Выполним умножение, предварительно разложив многочлены на множители:
$ c^2+6c+9 = (c+3)^2 $ (квадрат суммы)
$ c^2-9 = (c-3)(c+3) $ (разность квадратов)
$ \frac{1}{c^2+6c+9} \cdot \frac{c^2-9}{c} = \frac{1}{(c+3)^2} \cdot \frac{(c-3)(c+3)}{c} = \frac{c-3}{c(c+3)} $
2. Теперь выполним вычитание:
$ \frac{c-3}{c(c+3)} - \frac{c-9}{c^2-9} = \frac{c-3}{c(c+3)} - \frac{c-9}{(c-3)(c+3)} $
3. Приведем дроби к общему знаменателю $c(c+3)(c-3)$:
$ \frac{(c-3)(c-3)}{c(c+3)(c-3)} - \frac{c(c-9)}{c(c+3)(c-3)} = \frac{(c-3)^2 - c(c-9)}{c(c-3)(c+3)} $
4. Раскроем скобки в числителе и приведем подобные слагаемые:
$ (c^2-6c+9) - (c^2-9c) = c^2-6c+9-c^2+9c = 3c+9 = 3(c+3) $
5. Подставим упрощенный числитель обратно в дробь и сократим на $(c+3)$:
$ \frac{3(c+3)}{c(c-3)(c+3)} = \frac{3}{c(c-3)} $
Ответ: $\frac{3}{c(c-3)}$

г) Выполним действия в соответствии с их порядком: сначала деление, затем вычитание.
1. Выполним деление, предварительно разложив многочлены на множители:
$ m^2-2m+1 = (m-1)^2 $ (квадрат разности)
$ m^2-4 = (m-2)(m+2) $ (разность квадратов)
$ 5m-5 = 5(m-1) $ (вынесение общего множителя)
$ \frac{m+2}{m^2-2m+1} : \frac{m^2-4}{5m-5} = \frac{m+2}{(m-1)^2} \cdot \frac{5(m-1)}{(m-2)(m+2)} $
2. Сократим общие множители $(m+2)$ и $(m-1)$:
$ \frac{\cancel{m+2}}{(m-1)^{\cancel{2}}} \cdot \frac{5\cancel{(m-1)}}{(m-2)\cancel{(m+2)}} = \frac{5}{(m-1)(m-2)} $
3. Теперь выполним вычитание:
$ \frac{5}{m-2} - \frac{5}{(m-1)(m-2)} $
4. Приведем дроби к общему знаменателю $(m-1)(m-2)$:
$ \frac{5(m-1)}{(m-1)(m-2)} - \frac{5}{(m-1)(m-2)} = \frac{5(m-1)-5}{(m-1)(m-2)} $
5. Упростим числитель:
$ 5m-5-5 = 5m-10 = 5(m-2) $
6. Подставим упрощенный числитель обратно в дробь и сократим на $(m-2)$:
$ \frac{5(m-2)}{(m-1)(m-2)} = \frac{5}{m-1} $
Так как степень числителя (0) меньше степени знаменателя (1), дробь является правильной и целую часть выделить нельзя.
Ответ: $\frac{5}{m-1}$

Помогло решение? Оставьте отзыв в комментариях ниже.

Присоединяйтесь к Телеграм-группе @gdz_by_belarus

Присоединиться

Мы подготовили для вас ответ c подробным объяснением домашего задания по алгебре за 9 класс, для упражнения номер 1.218 расположенного на странице 65 к учебнику 2019 года издания для учащихся школ и гимназий.

Теперь на нашем сайте ГДЗ.ТОП вы всегда легко и бесплатно найдёте условие с правильным ответом на вопрос «Как решить ДЗ» и «Как сделать» задание по алгебре к упражнению №1.218 (с. 65), авторов: Арефьева (Ирина Глебовна), Пирютко (Ольга Николаевна), учебного пособия издательства Народная асвета.