Номер 1.22, страница 17 - гдз по алгебре 9 класс учебник Арефьева, Пирютко

Алгебра, 9 класс Учебник, авторы: Арефьева Ирина Глебовна, Пирютко Ольга Николаевна, издательство Народная асвета, Минск, 2019, голубого цвета

Авторы: Арефьева И. Г., Пирютко О. Н.

Тип: Учебник

Издательство: Народная асвета

Год издания: 2019 - 2026

Цвет обложки: голубой, синий с графиком

ISBN: 978-985-03-3077-2

Допущено Министерством образования Республики Беларусь

Популярные ГДЗ в 9 классе

Глава 1. Рациональные выражения. Параграф 1. Рациональная дробь - номер 1.22, страница 17.

№1.22 (с. 17)
Условие. №1.22 (с. 17)
скриншот условия
Алгебра, 9 класс Учебник, авторы: Арефьева Ирина Глебовна, Пирютко Ольга Николаевна, издательство Народная асвета, Минск, 2019, голубого цвета, страница 17, номер 1.22, Условие

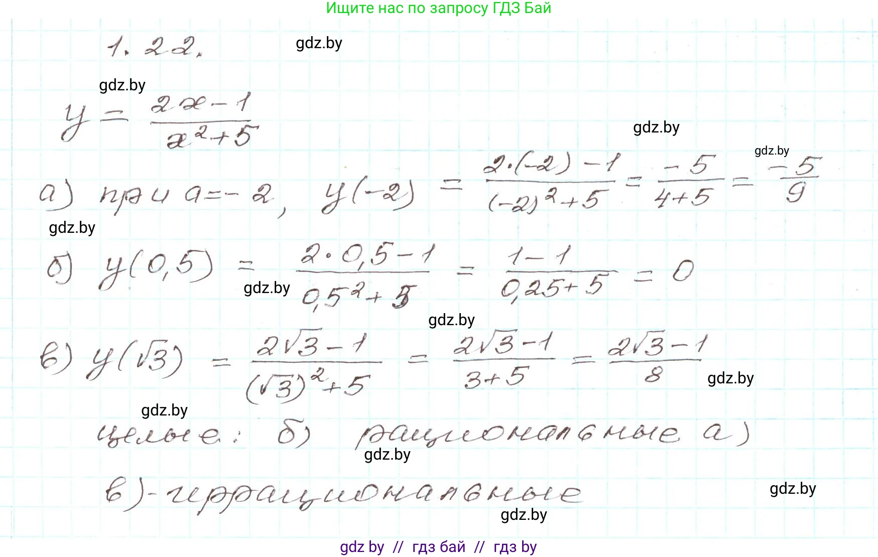
1.22. Определите, какие из значений функции $y = \frac{2x - 1}{x^2 + 5}$ при значении аргумента, равном: а) -2; б) 0,5; в) $\sqrt{3}$ — являются целыми; рациональными; иррациональными числами.

Решение. №1.22 (с. 17)
Алгебра, 9 класс Учебник, авторы: Арефьева Ирина Глебовна, Пирютко Ольга Николаевна, издательство Народная асвета, Минск, 2019, голубого цвета, страница 17, номер 1.22, Решение
Решение 2. №1.22 (с. 17)

Чтобы определить тип каждого значения функции (целое, рациональное или иррациональное), необходимо подставить указанные значения аргумента $x$ в формулу функции $y = \frac{2x - 1}{x^2 + 5}$ и проанализировать результат.

а) Вычислим значение функции при $x = -2$:

$y = \frac{2 \cdot (-2) - 1}{(-2)^2 + 5} = \frac{-4 - 1}{4 + 5} = -\frac{5}{9}$

Полученное число $y = -\frac{5}{9}$ является отношением двух целых чисел ($m=-5$, $n=9$), следовательно, это рациональное число. Оно не является целым.

Ответ: рациональное число.

б) Вычислим значение функции при $x = 0,5$:

$y = \frac{2 \cdot 0,5 - 1}{(0,5)^2 + 5} = \frac{1 - 1}{0,25 + 5} = \frac{0}{5,25} = 0$

Полученное значение $y=0$ является целым числом. Стоит отметить, что любое целое число также является и рациональным.

Ответ: целое число.

в) Вычислим значение функции при $x = \sqrt{3}$:

$y = \frac{2\sqrt{3} - 1}{(\sqrt{3})^2 + 5} = \frac{2\sqrt{3} - 1}{3 + 5} = \frac{2\sqrt{3} - 1}{8}$

Так как числитель дроби, $2\sqrt{3} - 1$, содержит иррациональное число $\sqrt{3}$, а знаменатель, $8$, является рациональным, то всё значение является иррациональным числом.

Ответ: иррациональное число.

Помогло решение? Оставьте отзыв в комментариях ниже.

Присоединяйтесь к Телеграм-группе @gdz_by_belarus

Присоединиться

Мы подготовили для вас ответ c подробным объяснением домашего задания по алгебре за 9 класс, для упражнения номер 1.22 расположенного на странице 17 к учебнику 2019 года издания для учащихся школ и гимназий.

Теперь на нашем сайте ГДЗ.ТОП вы всегда легко и бесплатно найдёте условие с правильным ответом на вопрос «Как решить ДЗ» и «Как сделать» задание по алгебре к упражнению №1.22 (с. 17), авторов: Арефьева (Ирина Глебовна), Пирютко (Ольга Николаевна), учебного пособия издательства Народная асвета.