Номер 1.255, страница 70 - гдз по алгебре 9 класс учебник Арефьева, Пирютко

Алгебра, 9 класс Учебник, авторы: Арефьева Ирина Глебовна, Пирютко Ольга Николаевна, издательство Народная асвета, Минск, 2019, голубого цвета

Авторы: Арефьева И. Г., Пирютко О. Н.

Тип: Учебник

Издательство: Народная асвета

Год издания: 2019 - 2026

Цвет обложки: голубой, синий с графиком

ISBN: 978-985-03-3077-2

Допущено Министерством образования Республики Беларусь

Популярные ГДЗ в 9 классе

Глава 1. Рациональные выражения. Параграф 5. Преобразования рациональных выражений - номер 1.255, страница 70.

№1.255 (с. 70)
Условие. №1.255 (с. 70)
скриншот условия
Алгебра, 9 класс Учебник, авторы: Арефьева Ирина Глебовна, Пирютко Ольга Николаевна, издательство Народная асвета, Минск, 2019, голубого цвета, страница 70, номер 1.255, Условие

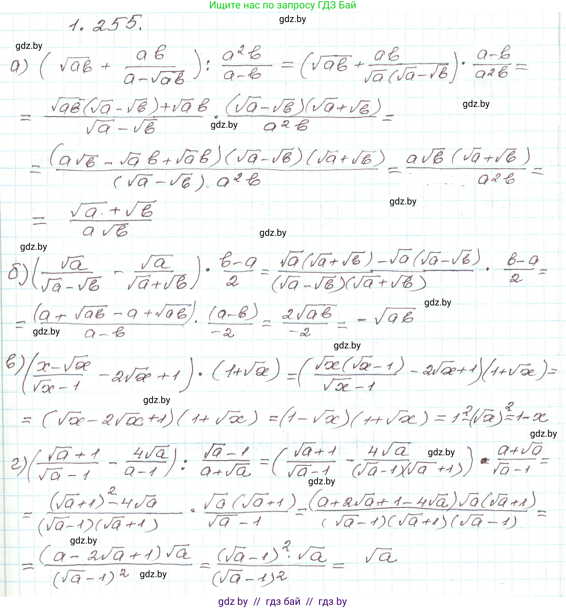
1.255. Упростите выражение:

а) $(\sqrt{ab} + \frac{ab}{a - \sqrt{ab}}) : \frac{a^2b}{a - b}$;

б) $(\frac{\sqrt{a}}{\sqrt{a} - \sqrt{b}} - \frac{\sqrt{a}}{\sqrt{a} + \sqrt{b}}) \cdot \frac{b - a}{2}$;

в) $(\frac{x - \sqrt{x}}{\sqrt{x} - 1} - 2\sqrt{x} + 1) \cdot (1 + \sqrt{x})$;

г) $(\frac{\sqrt{a} + 1}{\sqrt{a} - 1} - \frac{4\sqrt{a}}{a - 1}) : \frac{\sqrt{a} - 1}{a + \sqrt{a}}$.

Решение. №1.255 (с. 70)
Алгебра, 9 класс Учебник, авторы: Арефьева Ирина Глебовна, Пирютко Ольга Николаевна, издательство Народная асвета, Минск, 2019, голубого цвета, страница 70, номер 1.255, Решение
Решение 2. №1.255 (с. 70)

а) Дано выражение: $(\sqrt{ab} + \frac{ab}{a - \sqrt{ab}}) : \frac{a^2b}{a-b}$

1. Упростим выражение в скобках. Приведем слагаемые к общему знаменателю $a - \sqrt{ab}$:

$\sqrt{ab} + \frac{ab}{a - \sqrt{ab}} = \frac{\sqrt{ab}(a - \sqrt{ab}) + ab}{a - \sqrt{ab}} = \frac{a\sqrt{ab} - (\sqrt{ab})^2 + ab}{a - \sqrt{ab}} = \frac{a\sqrt{ab} - ab + ab}{a - \sqrt{ab}} = \frac{a\sqrt{ab}}{a - \sqrt{ab}}$

2. Теперь выполним деление. Деление на дробь равносильно умножению на обратную ей дробь. Также разложим на множители знаменатели и числители, где это возможно:

$\frac{a\sqrt{ab}}{a - \sqrt{ab}} : \frac{a^2b}{a-b} = \frac{a\sqrt{ab}}{a - \sqrt{ab}} \cdot \frac{a-b}{a^2b}$

Используем следующие разложения:

  • $a\sqrt{ab} = a \cdot \sqrt{a} \cdot \sqrt{b}$
  • $a - \sqrt{ab} = \sqrt{a}(\sqrt{a} - \sqrt{b})$
  • $a-b = (\sqrt{a} - \sqrt{b})(\sqrt{a} + \sqrt{b})$

Подставляем разложения в выражение:

$\frac{a\sqrt{a}\sqrt{b}}{\sqrt{a}(\sqrt{a} - \sqrt{b})} \cdot \frac{(\sqrt{a} - \sqrt{b})(\sqrt{a} + \sqrt{b})}{a^2b}$

3. Сократим общие множители $\sqrt{a}$, $(\sqrt{a} - \sqrt{b})$ и $a$:

$\frac{a\sqrt{b}}{1} \cdot \frac{\sqrt{a} + \sqrt{b}}{a^2b} = \frac{a\sqrt{b}(\sqrt{a} + \sqrt{b})}{a^2b} = \frac{\sqrt{b}(\sqrt{a} + \sqrt{b})}{ab}$

Можно представить $b$ как $(\sqrt{b})^2$ и сократить $\sqrt{b}$:

$\frac{\sqrt{b}(\sqrt{a} + \sqrt{b})}{a(\sqrt{b})^2} = \frac{\sqrt{a} + \sqrt{b}}{a\sqrt{b}}$

Ответ: $\frac{\sqrt{a} + \sqrt{b}}{a\sqrt{b}}$

б) Дано выражение: $(\frac{\sqrt{a}}{\sqrt{a}-\sqrt{b}} - \frac{\sqrt{a}}{\sqrt{a}+\sqrt{b}}) \cdot \frac{b-a}{2}$

1. Упростим выражение в скобках. Приведем дроби к общему знаменателю $(\sqrt{a}-\sqrt{b})(\sqrt{a}+\sqrt{b}) = a-b$:

$\frac{\sqrt{a}(\sqrt{a}+\sqrt{b}) - \sqrt{a}(\sqrt{a}-\sqrt{b})}{(\sqrt{a}-\sqrt{b})(\sqrt{a}+\sqrt{b})} = \frac{(a + \sqrt{ab}) - (a - \sqrt{ab})}{a-b} = \frac{a + \sqrt{ab} - a + \sqrt{ab}}{a-b} = \frac{2\sqrt{ab}}{a-b}$

2. Выполним умножение. Заметим, что $b-a = -(a-b)$:

$\frac{2\sqrt{ab}}{a-b} \cdot \frac{b-a}{2} = \frac{2\sqrt{ab}}{a-b} \cdot \frac{-(a-b)}{2}$

3. Сократим общие множители $2$ и $(a-b)$:

$\frac{\sqrt{ab}}{1} \cdot \frac{-1}{1} = -\sqrt{ab}$

Ответ: $-\sqrt{ab}$

в) Дано выражение: $(\frac{x-\sqrt{x}}{\sqrt{x}-1} - 2\sqrt{x} + 1) \cdot (1+\sqrt{x})$

1. Упростим выражение в первых скобках. Начнем с дроби, вынеся в числителе общий множитель $\sqrt{x}$:

$\frac{x-\sqrt{x}}{\sqrt{x}-1} = \frac{\sqrt{x}(\sqrt{x}-1)}{\sqrt{x}-1} = \sqrt{x}$ (при условии, что $x \neq 1$)

Теперь подставим упрощенную дробь обратно в выражение в скобках:

$(\sqrt{x} - 2\sqrt{x} + 1) = 1 - \sqrt{x}$

2. Выполним умножение, используя формулу разности квадратов $(a-b)(a+b) = a^2 - b^2$:

$(1 - \sqrt{x})(1 + \sqrt{x}) = 1^2 - (\sqrt{x})^2 = 1 - x$

Ответ: $1-x$

г) Дано выражение: $(\frac{\sqrt{a}+1}{\sqrt{a}-1} - \frac{4\sqrt{a}}{a-1}) : \frac{\sqrt{a}-1}{a+\sqrt{a}}$

1. Упростим выражение в скобках. Общий знаменатель $a-1 = (\sqrt{a}-1)(\sqrt{a}+1)$.

$\frac{(\sqrt{a}+1)(\sqrt{a}+1) - 4\sqrt{a}}{(\sqrt{a}-1)(\sqrt{a}+1)} = \frac{(\sqrt{a}+1)^2 - 4\sqrt{a}}{a-1}$

Раскроем квадрат суммы в числителе:

$\frac{a + 2\sqrt{a} + 1 - 4\sqrt{a}}{a-1} = \frac{a - 2\sqrt{a} + 1}{a-1}$

Числитель является полным квадратом разности: $a - 2\sqrt{a} + 1 = (\sqrt{a}-1)^2$.

Тогда выражение в скобках равно: $\frac{(\sqrt{a}-1)^2}{(\sqrt{a}-1)(\sqrt{a}+1)} = \frac{\sqrt{a}-1}{\sqrt{a}+1}$

2. Выполним деление:

$\frac{\sqrt{a}-1}{\sqrt{a}+1} : \frac{\sqrt{a}-1}{a+\sqrt{a}} = \frac{\sqrt{a}-1}{\sqrt{a}+1} \cdot \frac{a+\sqrt{a}}{\sqrt{a}-1}$

3. Сократим общий множитель $(\sqrt{a}-1)$ (при $a \neq 1$):

$\frac{a+\sqrt{a}}{\sqrt{a}+1}$

Вынесем в числителе общий множитель $\sqrt{a}$:

$\frac{\sqrt{a}(\sqrt{a}+1)}{\sqrt{a}+1} = \sqrt{a}$

Ответ: $\sqrt{a}$

Помогло решение? Оставьте отзыв в комментариях ниже.

Присоединяйтесь к Телеграм-группе @gdz_by_belarus

Присоединиться

Мы подготовили для вас ответ c подробным объяснением домашего задания по алгебре за 9 класс, для упражнения номер 1.255 расположенного на странице 70 к учебнику 2019 года издания для учащихся школ и гимназий.

Теперь на нашем сайте ГДЗ.ТОП вы всегда легко и бесплатно найдёте условие с правильным ответом на вопрос «Как решить ДЗ» и «Как сделать» задание по алгебре к упражнению №1.255 (с. 70), авторов: Арефьева (Ирина Глебовна), Пирютко (Ольга Николаевна), учебного пособия издательства Народная асвета.