Номер 1.32, страница 18 - гдз по алгебре 9 класс учебник Арефьева, Пирютко

Алгебра, 9 класс Учебник, авторы: Арефьева Ирина Глебовна, Пирютко Ольга Николаевна, издательство Народная асвета, Минск, 2019, голубого цвета

Авторы: Арефьева И. Г., Пирютко О. Н.

Тип: Учебник

Издательство: Народная асвета

Год издания: 2019 - 2026

Цвет обложки: голубой, синий с графиком

ISBN: 978-985-03-3077-2

Допущено Министерством образования Республики Беларусь

Популярные ГДЗ в 9 классе

Глава 1. Рациональные выражения. Параграф 2. Основное свойство рациональной дроби. Сокращение рациональных дробей - номер 1.32, страница 18.

№1.32 (с. 18)
Условие. №1.32 (с. 18)
скриншот условия
Алгебра, 9 класс Учебник, авторы: Арефьева Ирина Глебовна, Пирютко Ольга Николаевна, издательство Народная асвета, Минск, 2019, голубого цвета, страница 18, номер 1.32, Условие

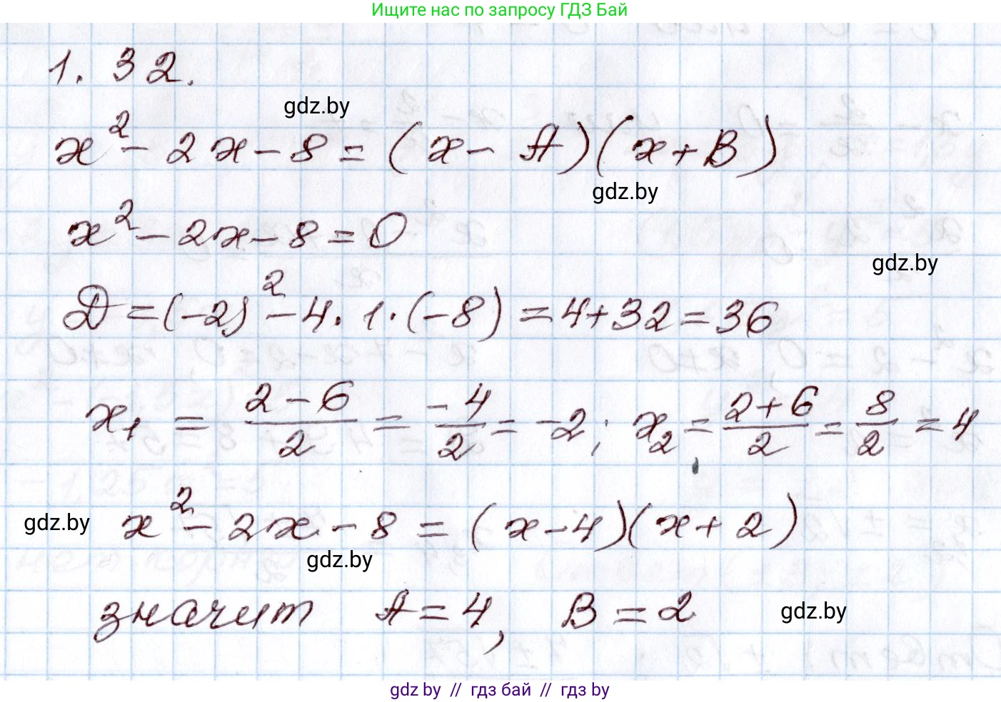
1.32. Найдите A и B, если равенство $x^2 - 2x - 8 = (x-A)(x+B)$ является тождеством.

Решение. №1.32 (с. 18)
Алгебра, 9 класс Учебник, авторы: Арефьева Ирина Глебовна, Пирютко Ольга Николаевна, издательство Народная асвета, Минск, 2019, голубого цвета, страница 18, номер 1.32, Решение
Решение 2. №1.32 (с. 18)

Для того чтобы равенство $x^2 - 2x - 8 = (x - A)(x + B)$ было тождеством, необходимо, чтобы многочлены в левой и правой частях были тождественно равны. Это означает, что они должны быть равны для любого значения $x$.

Для нахождения коэффициентов $A$ и $B$ раскроем скобки в правой части выражения: $$(x - A)(x + B) = x \cdot x + x \cdot B - A \cdot x - A \cdot B = x^2 + (B - A)x - AB$$

Теперь приравняем полученное выражение к левой части исходного равенства: $$x^2 - 2x - 8 = x^2 + (B - A)x - AB$$

Два многочлена равны, если равны их коэффициенты при одинаковых степенях переменной $x$. Составим систему уравнений, приравнивая соответствующие коэффициенты:

  • Коэффициенты при $x$: $-2 = B - A$
  • Свободные члены: $-8 = -AB$

Таким образом, мы получили систему уравнений: $$ \begin{cases} B - A = -2 \\ AB = 8 \end{cases} $$

Выразим переменную $B$ из первого уравнения: $$B = A - 2$$

Подставим это выражение для $B$ во второе уравнение системы: $$A(A - 2) = 8$$

Раскроем скобки и решим полученное квадратное уравнение относительно $A$: $$A^2 - 2A = 8$$ $$A^2 - 2A - 8 = 0$$

Корни этого уравнения можно найти по теореме Виета. Сумма корней равна $2$, а их произведение равно $-8$. Следовательно, корнями являются: $$A_1 = 4, \quad A_2 = -2$$

Теперь для каждого найденного значения $A$ найдем соответствующее значение $B$, используя формулу $B = A - 2$.

Случай 1: Если $A = 4$. $$B = 4 - 2 = 2$$ Таким образом, первая пара решений: $A = 4, B = 2$.

Случай 2: Если $A = -2$. $$B = -2 - 2 = -4$$ Таким образом, вторая пара решений: $A = -2, B = -4$.

Ответ: данное равенство является тождеством при двух парах значений A и B:
1) A = 4, B = 2;
2) A = -2, B = -4.

Помогло решение? Оставьте отзыв в комментариях ниже.

Присоединяйтесь к Телеграм-группе @gdz_by_belarus

Присоединиться

Мы подготовили для вас ответ c подробным объяснением домашего задания по алгебре за 9 класс, для упражнения номер 1.32 расположенного на странице 18 к учебнику 2019 года издания для учащихся школ и гимназий.

Теперь на нашем сайте ГДЗ.ТОП вы всегда легко и бесплатно найдёте условие с правильным ответом на вопрос «Как решить ДЗ» и «Как сделать» задание по алгебре к упражнению №1.32 (с. 18), авторов: Арефьева (Ирина Глебовна), Пирютко (Ольга Николаевна), учебного пособия издательства Народная асвета.