Номер 1.73, страница 30 - гдз по алгебре 9 класс учебник Арефьева, Пирютко

Алгебра, 9 класс Учебник, авторы: Арефьева Ирина Глебовна, Пирютко Ольга Николаевна, издательство Народная асвета, Минск, 2019, голубого цвета

Авторы: Арефьева И. Г., Пирютко О. Н.

Тип: Учебник

Издательство: Народная асвета

Год издания: 2019 - 2026

Цвет обложки: голубой, синий с графиком

ISBN: 978-985-03-3077-2

Допущено Министерством образования Республики Беларусь

Популярные ГДЗ в 9 классе

Глава 1. Рациональные выражения. Параграф 2. Основное свойство рациональной дроби. Сокращение рациональных дробей - номер 1.73, страница 30.

№1.73 (с. 30)
Условие. №1.73 (с. 30)
скриншот условия
Алгебра, 9 класс Учебник, авторы: Арефьева Ирина Глебовна, Пирютко Ольга Николаевна, издательство Народная асвета, Минск, 2019, голубого цвета, страница 30, номер 1.73, Условие

1.73. Примените для разложения числителя и знаменателя дроби на множители способ группировки, если это необходимо, и сократите дробь:

а) $\frac{ab - a - 5b + 5}{6b - 6}$;

б) $\frac{ax + 7x - ay - 7y}{7y - 7x}$;

в) $\frac{3a + 4 + 3ab + 4b}{4b - 4 + 3ab - 3a}$;

г) $\frac{2 + c - 2c - c^2}{c^2 - 1}$;

д) $\frac{9 - n^2}{3m - bn + mn - 3b}$;

е) $\frac{x^2 - xy + 3y - 3x}{x^2 - 6x + 9}$.

Решение. №1.73 (с. 30)
Алгебра, 9 класс Учебник, авторы: Арефьева Ирина Глебовна, Пирютко Ольга Николаевна, издательство Народная асвета, Минск, 2019, голубого цвета, страница 30, номер 1.73, Решение Алгебра, 9 класс Учебник, авторы: Арефьева Ирина Глебовна, Пирютко Ольга Николаевна, издательство Народная асвета, Минск, 2019, голубого цвета, страница 30, номер 1.73, Решение (продолжение 2)
Решение 2. №1.73 (с. 30)

а) Дана дробь: $\frac{ab-a-5b+5}{6b-6}$
Разложим числитель на множители, используя метод группировки:
$ab-a-5b+5 = (ab-a) - (5b-5) = a(b-1) - 5(b-1) = (a-5)(b-1)$.
Разложим знаменатель на множители:
$6b-6 = 6(b-1)$.
Подставим разложения в дробь и сократим:
$\frac{(a-5)(b-1)}{6(b-1)} = \frac{a-5}{6}$ (при условии, что $b \neq 1$).
Ответ: $\frac{a-5}{6}$.


б) Дана дробь: $\frac{ax+7x-ay-7y}{7y-7x}$
Разложим числитель на множители, используя метод группировки:
$ax+7x-ay-7y = (ax+7x) - (ay+7y) = x(a+7) - y(a+7) = (x-y)(a+7)$.
Разложим знаменатель на множители:
$7y-7x = 7(y-x) = -7(x-y)$.
Подставим разложения в дробь и сократим:
$\frac{(x-y)(a+7)}{-7(x-y)} = -\frac{a+7}{7}$ (при условии, что $x \neq y$).
Выделим целую часть: $-\frac{a+7}{7} = -(\frac{a}{7} + \frac{7}{7}) = -\frac{a}{7} - 1$.
Ответ: $-\frac{a}{7} - \mathbf{1}$.


в) Дана дробь: $\frac{3a+4+3ab+4b}{4b-4+3ab-3a}$
Разложим числитель на множители, используя метод группировки:
$3a+4+3ab+4b = (3a+4) + (3ab+4b) = (3a+4) + b(3a+4) = (3a+4)(1+b)$.
Разложим знаменатель на множители, используя метод группировки:
$4b-4+3ab-3a = (4b-4) + (3ab-3a) = 4(b-1) + 3a(b-1) = (4+3a)(b-1)$.
Подставим разложения в дробь и сократим:
$\frac{(3a+4)(1+b)}{(3a+4)(b-1)} = \frac{1+b}{b-1}$ (при условии, что $a \neq -\frac{4}{3}$).
Выделим целую часть: $\frac{b+1}{b-1} = \frac{b-1+2}{b-1} = \frac{b-1}{b-1} + \frac{2}{b-1} = 1 + \frac{2}{b-1}$.
Ответ: $\mathbf{1} + \frac{2}{b-1}$.


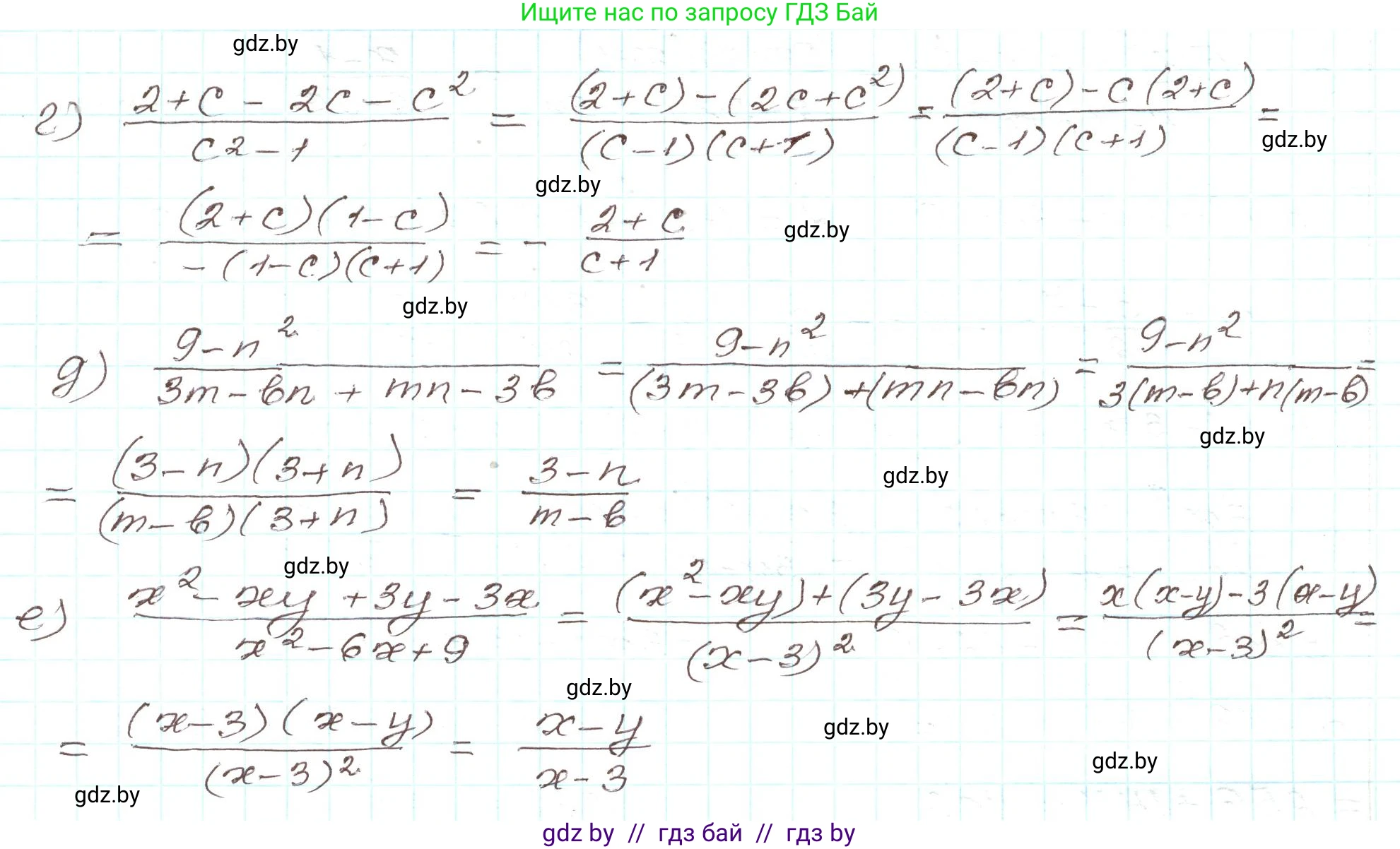
г) Дана дробь: $\frac{2+c-2c-c^2}{c^2-1}$
Разложим числитель на множители, используя метод группировки:
$2+c-2c-c^2 = (2-2c) + (c-c^2) = 2(1-c) + c(1-c) = (2+c)(1-c)$.
Разложим знаменатель по формуле разности квадратов:
$c^2-1 = (c-1)(c+1)$.
Подставим разложения в дробь и сократим:
$\frac{(2+c)(1-c)}{(c-1)(c+1)} = \frac{-(2+c)(c-1)}{(c-1)(c+1)} = -\frac{c+2}{c+1}$ (при условии, что $c \neq 1$).
Выделим целую часть: $-\frac{c+2}{c+1} = -\frac{(c+1)+1}{c+1} = -(1 + \frac{1}{c+1}) = -1 - \frac{1}{c+1}$.
Ответ: $-\mathbf{1} - \frac{1}{c+1}$.


д) Дана дробь: $\frac{9-n^2}{3m-bn+mn-3b}$
Разложим числитель по формуле разности квадратов:
$9-n^2 = (3-n)(3+n)$.
Разложим знаменатель на множители, используя метод группировки (предварительно сгруппировав слагаемые):
$3m-bn+mn-3b = (3m-3b) + (mn-bn) = 3(m-b) + n(m-b) = (3+n)(m-b)$.
Подставим разложения в дробь и сократим:
$\frac{(3-n)(3+n)}{(3+n)(m-b)} = \frac{3-n}{m-b}$ (при условии, что $n \neq -3$).
Ответ: $\frac{3-n}{m-b}$.


е) Дана дробь: $\frac{x^2-xy+3y-3x}{x^2-6x+9}$
Разложим числитель на множители, используя метод группировки (предварительно сгруппировав слагаемые):
$x^2-xy+3y-3x = (x^2-3x) - (xy-3y) = x(x-3) - y(x-3) = (x-3)(x-y)$.
Разложим знаменатель по формуле квадрата разности:
$x^2-6x+9 = (x-3)^2$.
Подставим разложения в дробь и сократим:
$\frac{(x-3)(x-y)}{(x-3)^2} = \frac{x-y}{x-3}$ (при условии, что $x \neq 3$).
Выделим целую часть: $\frac{x-y}{x-3} = \frac{(x-3)+3-y}{x-3} = \frac{x-3}{x-3} + \frac{3-y}{x-3} = 1 + \frac{3-y}{x-3}$.
Ответ: $\mathbf{1} + \frac{3-y}{x-3}$.

Помогло решение? Оставьте отзыв в комментариях ниже.

Присоединяйтесь к Телеграм-группе @gdz_by_belarus

Присоединиться

Мы подготовили для вас ответ c подробным объяснением домашего задания по алгебре за 9 класс, для упражнения номер 1.73 расположенного на странице 30 к учебнику 2019 года издания для учащихся школ и гимназий.

Теперь на нашем сайте ГДЗ.ТОП вы всегда легко и бесплатно найдёте условие с правильным ответом на вопрос «Как решить ДЗ» и «Как сделать» задание по алгебре к упражнению №1.73 (с. 30), авторов: Арефьева (Ирина Глебовна), Пирютко (Ольга Николаевна), учебного пособия издательства Народная асвета.