Номер 2.125, страница 118 - гдз по алгебре 9 класс учебник Арефьева, Пирютко

Алгебра, 9 класс Учебник, авторы: Арефьева Ирина Глебовна, Пирютко Ольга Николаевна, издательство Народная асвета, Минск, 2019, голубого цвета

Авторы: Арефьева И. Г., Пирютко О. Н.

Тип: Учебник

Издательство: Народная асвета

Год издания: 2019 - 2026

Цвет обложки: голубой, синий с графиком

ISBN: 978-985-03-3077-2

Допущено Министерством образования Республики Беларусь

Популярные ГДЗ в 9 классе

Глава 2. Функции. Параграф 8. Четные и нечетные функции - номер 2.125, страница 118.

№2.125 (с. 118)
Условие. №2.125 (с. 118)
скриншот условия
Алгебра, 9 класс Учебник, авторы: Арефьева Ирина Глебовна, Пирютко Ольга Николаевна, издательство Народная асвета, Минск, 2019, голубого цвета, страница 118, номер 2.125, Условие

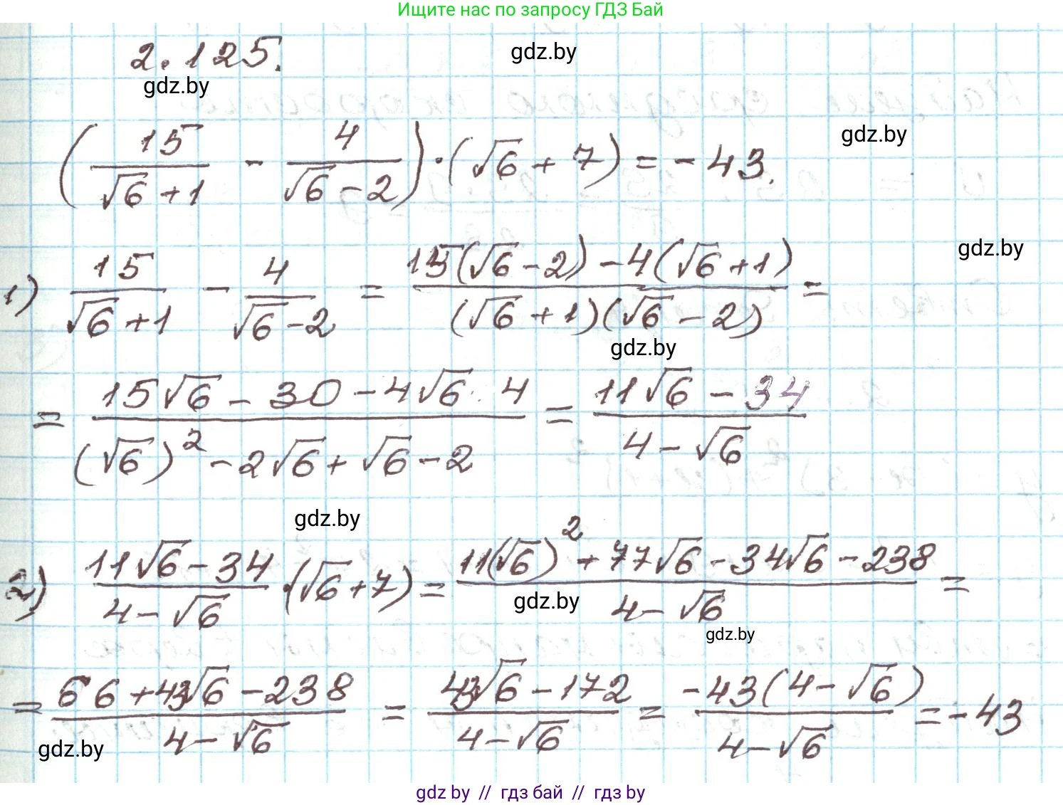
2.125. Найдите значение выражения

$(\frac{15}{\sqrt{6}+1} - \frac{4}{\sqrt{6}-2}) \cdot (\sqrt{6}+7).$

Решение. №2.125 (с. 118)
Алгебра, 9 класс Учебник, авторы: Арефьева Ирина Глебовна, Пирютко Ольга Николаевна, издательство Народная асвета, Минск, 2019, голубого цвета, страница 118, номер 2.125, Решение
Решение 2. №2.125 (с. 118)

Для нахождения значения выражения выполним преобразования по действиям.

1. Сначала упростим выражение в первых скобках. Для этого избавимся от иррациональности в знаменателе каждой дроби, умножив числитель и знаменатель на сопряженное к знаменателю выражение.

Для первой дроби $\frac{15}{\sqrt{6}+1}$ сопряженное выражение к знаменателю равно $(\sqrt{6}-1)$:$$ \frac{15}{\sqrt{6}+1} = \frac{15 \cdot (\sqrt{6}-1)}{(\sqrt{6}+1) \cdot (\sqrt{6}-1)} = \frac{15(\sqrt{6}-1)}{(\sqrt{6})^2 - 1^2} = \frac{15(\sqrt{6}-1)}{6-1} = \frac{15(\sqrt{6}-1)}{5} = 3(\sqrt{6}-1) = 3\sqrt{6}-3 $$

Для второй дроби $\frac{4}{\sqrt{6}-2}$ сопряженное выражение к знаменателю равно $(\sqrt{6}+2)$:$$ \frac{4}{\sqrt{6}-2} = \frac{4 \cdot (\sqrt{6}+2)}{(\sqrt{6}-2) \cdot (\sqrt{6}+2)} = \frac{4(\sqrt{6}+2)}{(\sqrt{6})^2 - 2^2} = \frac{4(\sqrt{6}+2)}{6-4} = \frac{4(\sqrt{6}+2)}{2} = 2(\sqrt{6}+2) = 2\sqrt{6}+4 $$

2. Теперь подставим полученные упрощенные выражения в первые скобки и выполним вычитание:$$ (3\sqrt{6}-3) - (2\sqrt{6}+4) = 3\sqrt{6}-3 - 2\sqrt{6}-4 = (3\sqrt{6}-2\sqrt{6}) + (-3-4) = \sqrt{6}-7 $$

3. Наконец, умножим результат из пункта 2 на выражение во второй скобке. Для этого воспользуемся формулой разности квадратов $(a-b)(a+b)=a^2-b^2$:$$ (\sqrt{6}-7) \cdot (\sqrt{6}+7) = (\sqrt{6})^2 - 7^2 = 6 - 49 = -43 $$

2.125. Ответ: -43

Помогло решение? Оставьте отзыв в комментариях ниже.

Присоединяйтесь к Телеграм-группе @gdz_by_belarus

Присоединиться

Мы подготовили для вас ответ c подробным объяснением домашего задания по алгебре за 9 класс, для упражнения номер 2.125 расположенного на странице 118 к учебнику 2019 года издания для учащихся школ и гимназий.

Теперь на нашем сайте ГДЗ.ТОП вы всегда легко и бесплатно найдёте условие с правильным ответом на вопрос «Как решить ДЗ» и «Как сделать» задание по алгебре к упражнению №2.125 (с. 118), авторов: Арефьева (Ирина Глебовна), Пирютко (Ольга Николаевна), учебного пособия издательства Народная асвета.