Номер 2.35, страница 89 - гдз по алгебре 9 класс учебник Арефьева, Пирютко

Алгебра, 9 класс Учебник, авторы: Арефьева Ирина Глебовна, Пирютко Ольга Николаевна, издательство Народная асвета, Минск, 2019, голубого цвета

Авторы: Арефьева И. Г., Пирютко О. Н.

Тип: Учебник

Издательство: Народная асвета

Год издания: 2019 - 2026

Цвет обложки: голубой, синий с графиком

ISBN: 978-985-03-3077-2

Допущено Министерством образования Республики Беларусь

Популярные ГДЗ в 9 классе

Глава 2. Функции. Параграф 6. Функция числового аргумента. Область определения, множество значений. Способы задания функции - номер 2.35, страница 89.

№2.35 (с. 89)
Условие. №2.35 (с. 89)
скриншот условия
Алгебра, 9 класс Учебник, авторы: Арефьева Ирина Глебовна, Пирютко Ольга Николаевна, издательство Народная асвета, Минск, 2019, голубого цвета, страница 89, номер 2.35, Условие

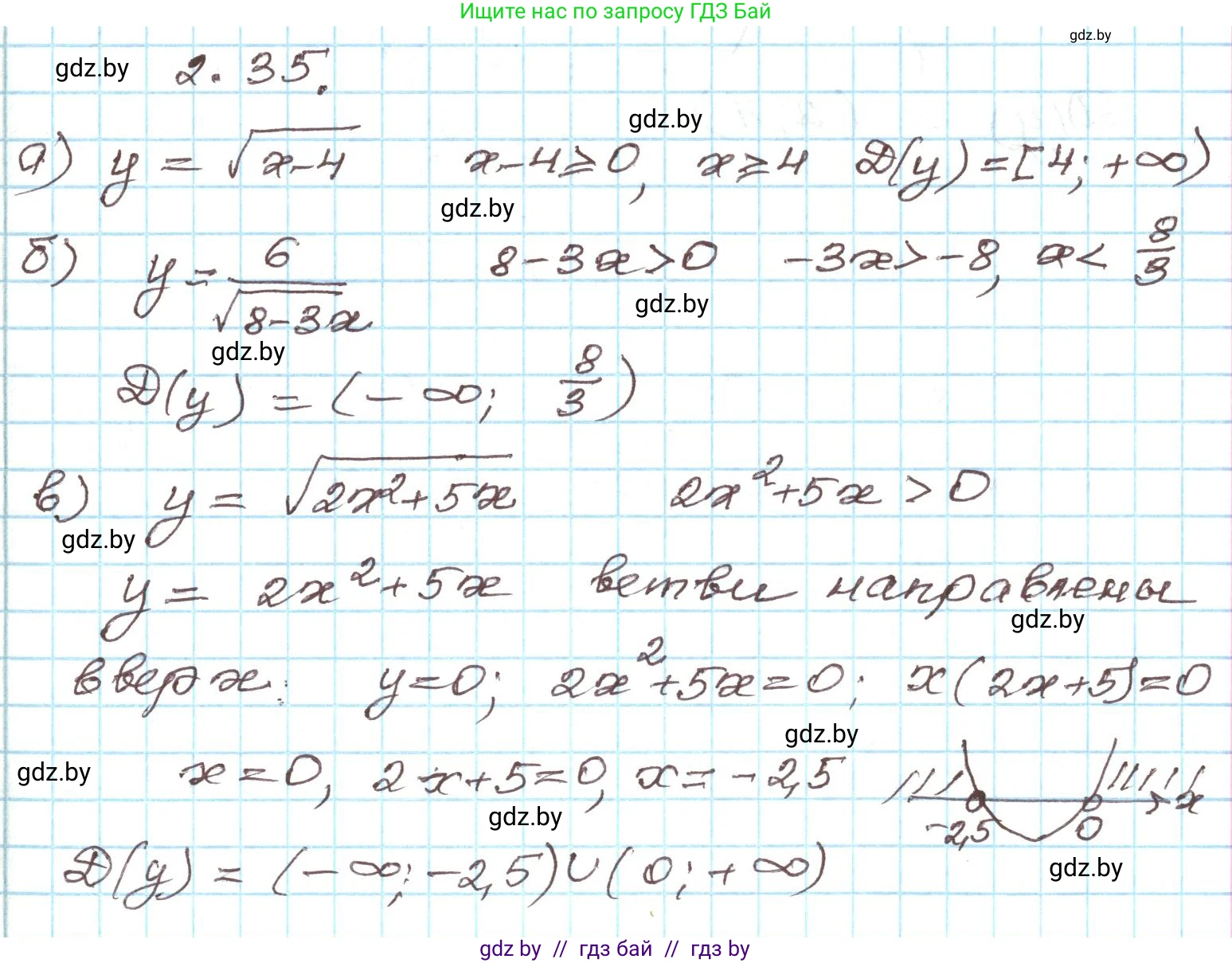
2.35. Найдите область определения функции:

a) $y = \sqrt{x - 4}$;

б) $y = \frac{6}{\sqrt{8 - 3x}}$;

в) $y = \sqrt{2x^2 + 5x}$;

г) $y = \frac{7}{\sqrt{6x - x^2 - 8}}$.

Решение. №2.35 (с. 89)
Алгебра, 9 класс Учебник, авторы: Арефьева Ирина Глебовна, Пирютко Ольга Николаевна, издательство Народная асвета, Минск, 2019, голубого цвета, страница 89, номер 2.35, Решение Алгебра, 9 класс Учебник, авторы: Арефьева Ирина Глебовна, Пирютко Ольга Николаевна, издательство Народная асвета, Минск, 2019, голубого цвета, страница 89, номер 2.35, Решение (продолжение 2)
Решение 2. №2.35 (с. 89)

Область определения функции – это множество всех значений аргумента $x$, при которых функция имеет смысл (определена).

а) $y = \sqrt{x - 4}$

Функция определена, когда подкоренное выражение неотрицательно, то есть больше или равно нулю.

Решим неравенство:

$x - 4 \ge 0$

$x \ge 4$

Таким образом, область определения функции – это все числа, большие или равные 4.

Ответ: $x \in [4; +\infty)$.

б) $y = \frac{6}{\sqrt{8 - 3x}}$

Функция определена, когда выполняются два условия:

  1. Подкоренное выражение должно быть неотрицательным: $8 - 3x \ge 0$.
  2. Знаменатель дроби не должен быть равен нулю: $\sqrt{8 - 3x} \ne 0$, что эквивалентно $8 - 3x \ne 0$.

Объединяя эти два условия, получаем, что подкоренное выражение в знаменателе должно быть строго больше нуля.

Решим неравенство:

$8 - 3x > 0$

$-3x > -8$

При делении на отрицательное число (-3) знак неравенства меняется на противоположный:

$x < \frac{8}{3}$

Преобразуем неправильную дробь $\frac{8}{3}$ в смешанное число: $\frac{8}{3} = 2\frac{2}{3}$.

Ответ: $x \in (-\infty; \mathbf{2}\frac{2}{3})$.

в) $y = \sqrt{2x^2 + 5x}$

Функция определена, когда подкоренное выражение неотрицательно.

Решим квадратное неравенство:

$2x^2 + 5x \ge 0$

Найдем корни соответствующего уравнения $2x^2 + 5x = 0$, вынеся $x$ за скобки:

$x(2x + 5) = 0$

Корни: $x_1 = 0$ и $2x+5=0 \Rightarrow x_2 = -\frac{5}{2}$.

Графиком функции $y = 2x^2 + 5x$ является парабола, ветви которой направлены вверх (коэффициент при $x^2$ положителен). Следовательно, выражение $2x^2 + 5x$ принимает неотрицательные значения при $x$ левее меньшего корня и правее большего корня (включая сами корни).

$x \le -\frac{5}{2}$ или $x \ge 0$.

Преобразуем неправильную дробь $-\frac{5}{2}$ в смешанное число: $-\frac{5}{2} = -2\frac{1}{2}$.

Ответ: $x \in (-\infty; -\mathbf{2}\frac{1}{2}] \cup [0; +\infty)$.

г) $y = \frac{7}{\sqrt{6x - x^2 - 8}}$

Подкоренное выражение, находящееся в знаменателе, должно быть строго больше нуля.

Решим неравенство:

$6x - x^2 - 8 > 0$

Умножим обе части на -1, чтобы коэффициент при $x^2$ стал положительным, и изменим знак неравенства на противоположный:

$x^2 - 6x + 8 < 0$

Найдем корни уравнения $x^2 - 6x + 8 = 0$. По теореме Виета, сумма корней равна 6, а произведение равно 8. Корни: $x_1 = 2$ и $x_2 = 4$.

Графиком функции $y = x^2 - 6x + 8$ является парабола, ветви которой направлены вверх. Следовательно, выражение $x^2 - 6x + 8$ принимает отрицательные значения между корнями.

$2 < x < 4$

Ответ: $x \in (2; 4)$.

Помогло решение? Оставьте отзыв в комментариях ниже.

Присоединяйтесь к Телеграм-группе @gdz_by_belarus

Присоединиться

Мы подготовили для вас ответ c подробным объяснением домашего задания по алгебре за 9 класс, для упражнения номер 2.35 расположенного на странице 89 к учебнику 2019 года издания для учащихся школ и гимназий.

Теперь на нашем сайте ГДЗ.ТОП вы всегда легко и бесплатно найдёте условие с правильным ответом на вопрос «Как решить ДЗ» и «Как сделать» задание по алгебре к упражнению №2.35 (с. 89), авторов: Арефьева (Ирина Глебовна), Пирютко (Ольга Николаевна), учебного пособия издательства Народная асвета.