Номер 2.68, страница 101 - гдз по алгебре 9 класс учебник Арефьева, Пирютко

Алгебра, 9 класс Учебник, авторы: Арефьева Ирина Глебовна, Пирютко Ольга Николаевна, издательство Народная асвета, Минск, 2019, голубого цвета

Авторы: Арефьева И. Г., Пирютко О. Н.

Тип: Учебник

Издательство: Народная асвета

Год издания: 2019 - 2026

Цвет обложки: голубой, синий с графиком

ISBN: 978-985-03-3077-2

Допущено Министерством образования Республики Беларусь

Популярные ГДЗ в 9 классе

Глава 2. Функции. Параграф 7. Свойства функции - номер 2.68, страница 101.

№2.68 (с. 101)
Условие. №2.68 (с. 101)
скриншот условия
Алгебра, 9 класс Учебник, авторы: Арефьева Ирина Глебовна, Пирютко Ольга Николаевна, издательство Народная асвета, Минск, 2019, голубого цвета, страница 101, номер 2.68, Условие

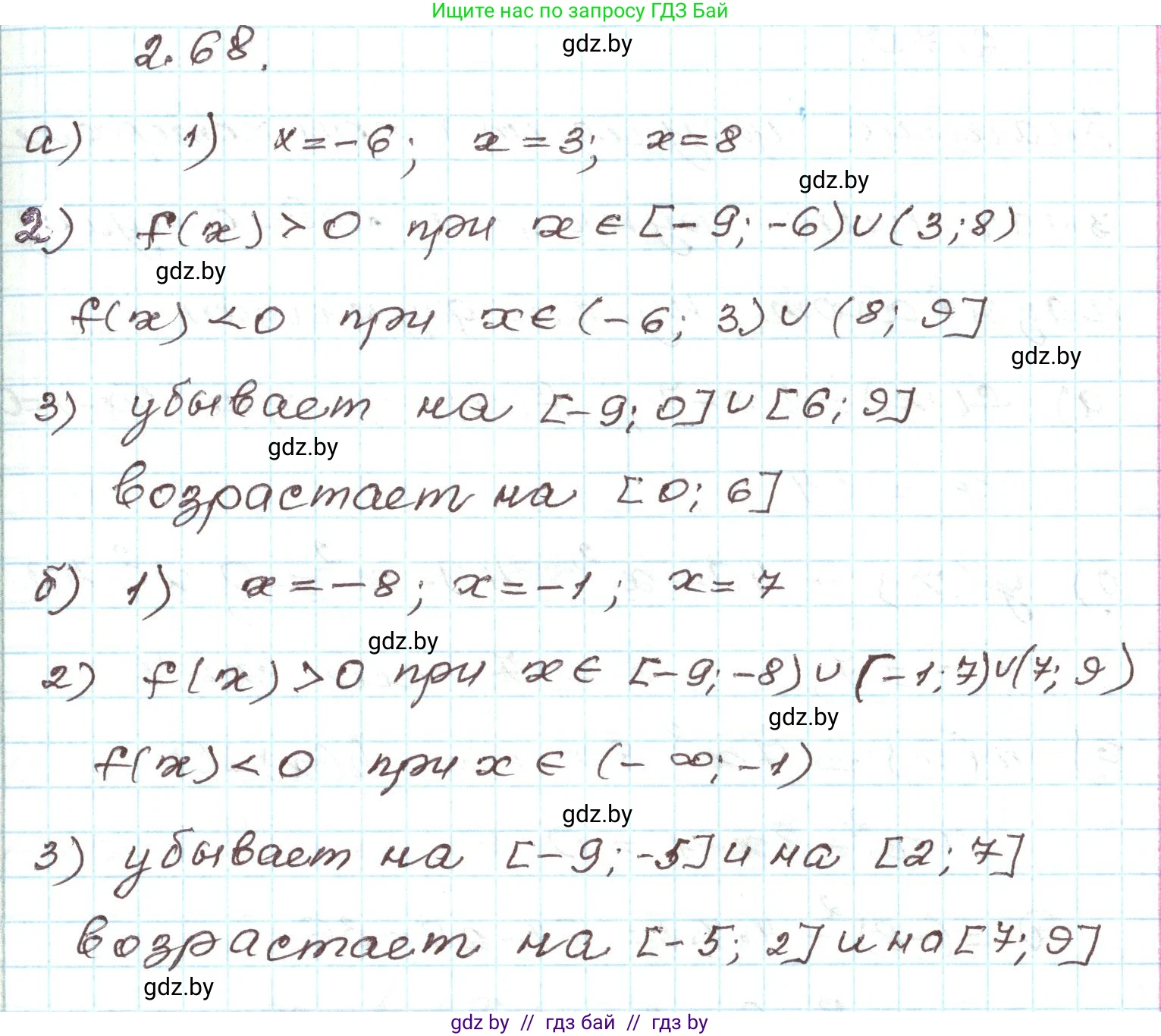
2.68. Функция $y = f(x)$ задана графически (рис. 24). Найдите:

1) нули функции;

2) промежутки знакопостоянства функции;

3) промежутки монотонности функции.

a) $y = f(x)$

б) $y = f(x)$

Рис. 24

Решение. №2.68 (с. 101)
Алгебра, 9 класс Учебник, авторы: Арефьева Ирина Глебовна, Пирютко Ольга Николаевна, издательство Народная асвета, Минск, 2019, голубого цвета, страница 101, номер 2.68, Решение
Решение 2. №2.68 (с. 101)

a)

1) нули функции; Ответ: $x = -5$, $x = 2$, $x = 8$.

2) промежутки знакопостоянства функции; Ответ: $y > 0$ при $x \in [-9, -5) \cup (2, 8)$; $y < 0$ при $x \in (-5, 2) \cup (8, 9]$.

3) промежутки монотонности функции. Ответ: функция возрастает на промежутке $[-2, 6]$; функция убывает на промежутках $[-9, -2]$ и $[6, 9]$.

б)

1) нули функции; Ответ: $x = -8$, $x = -2$.

2) промежутки знакопостоянства функции; Ответ: $y > 0$ при $x \in [-9, -8) \cup (-2, 9]$; $y < 0$ при $x \in (-8, -2)$.

3) промежутки монотонности функции. Ответ: функция возрастает на промежутках $[-5, 2]$ и $[7, 9]$; функция убывает на промежутках $[-9, -5]$ и $[2, 7]$.

Помогло решение? Оставьте отзыв в комментариях ниже.

Присоединяйтесь к Телеграм-группе @gdz_by_belarus

Присоединиться

Мы подготовили для вас ответ c подробным объяснением домашего задания по алгебре за 9 класс, для упражнения номер 2.68 расположенного на странице 101 к учебнику 2019 года издания для учащихся школ и гимназий.

Теперь на нашем сайте ГДЗ.ТОП вы всегда легко и бесплатно найдёте условие с правильным ответом на вопрос «Как решить ДЗ» и «Как сделать» задание по алгебре к упражнению №2.68 (с. 101), авторов: Арефьева (Ирина Глебовна), Пирютко (Ольга Николаевна), учебного пособия издательства Народная асвета.