Номер 2.82, страница 103 - гдз по алгебре 9 класс учебник Арефьева, Пирютко

Алгебра, 9 класс Учебник, авторы: Арефьева Ирина Глебовна, Пирютко Ольга Николаевна, издательство Народная асвета, Минск, 2019, голубого цвета

Авторы: Арефьева И. Г., Пирютко О. Н.

Тип: Учебник

Издательство: Народная асвета

Год издания: 2019 - 2026

Цвет обложки: голубой, синий с графиком

ISBN: 978-985-03-3077-2

Допущено Министерством образования Республики Беларусь

Популярные ГДЗ в 9 классе

Глава 2. Функции. Параграф 7. Свойства функции - номер 2.82, страница 103.

№2.82 (с. 103)
Условие. №2.82 (с. 103)
скриншот условия
Алгебра, 9 класс Учебник, авторы: Арефьева Ирина Глебовна, Пирютко Ольга Николаевна, издательство Народная асвета, Минск, 2019, голубого цвета, страница 103, номер 2.82, Условие

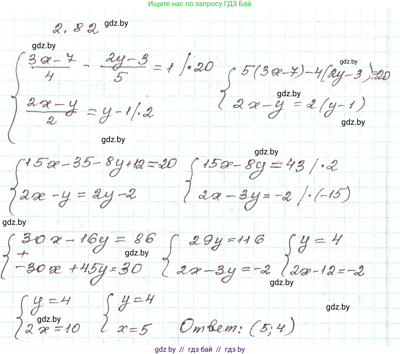
2.82. Решите систему линейных уравнений

$\begin{cases}\frac{3x - 7}{4} - \frac{2y - 3}{5} = 1, \\ \frac{2x - y}{2} = y - 1.\end{cases}$

Решение. №2.82 (с. 103)
Алгебра, 9 класс Учебник, авторы: Арефьева Ирина Глебовна, Пирютко Ольга Николаевна, издательство Народная асвета, Минск, 2019, голубого цвета, страница 103, номер 2.82, Решение
Решение 2. №2.82 (с. 103)

Для решения данной системы уравнений, мы сначала упростим каждое из них, чтобы избавиться от дробей и привести к стандартному виду $ax + by = c$.

1. Упрощение первого уравнения

Исходное уравнение: $ \frac{3x-7}{4} - \frac{2y-3}{5} = 1 $.

Умножим обе части уравнения на наименьшее общее кратное знаменателей 4 и 5, то есть на 20:

$$ 20 \cdot \left( \frac{3x-7}{4} \right) - 20 \cdot \left( \frac{2y-3}{5} \right) = 20 \cdot 1 $$

$$ 5(3x-7) - 4(2y-3) = 20 $$

Раскроем скобки и приведем подобные слагаемые:

$$ 15x - 35 - 8y + 12 = 20 $$

$$ 15x - 8y - 23 = 20 $$

$$ 15x - 8y = 43 $$

2. Упрощение второго уравнения

Исходное уравнение: $ \frac{2x-y}{2} = y-1 $.

Умножим обе части на 2:

$$ 2x-y = 2(y-1) $$

$$ 2x-y = 2y-2 $$

Перенесем все члены с переменными в левую часть, а постоянные члены - в правую:

$$ 2x - y - 2y = -2 $$

$$ 2x - 3y = -2 $$

3. Решение полученной системы уравнений

Теперь мы имеем упрощенную систему:

$$ \begin{cases} 15x - 8y = 43 \\ 2x - 3y = -2 \end{cases} $$

Решим эту систему методом исключения. Умножим первое уравнение на 3, а второе на -8, чтобы коэффициенты при переменной $y$ стали противоположными:

$$ \begin{cases} 3 \cdot (15x - 8y) = 3 \cdot 43 \\ -8 \cdot (2x - 3y) = -8 \cdot (-2) \end{cases} \implies \begin{cases} 45x - 24y = 129 \\ -16x + 24y = 16 \end{cases} $$

Сложим полученные уравнения:

$$ (45x - 24y) + (-16x + 24y) = 129 + 16 $$

$$ 29x = 145 $$

Отсюда находим $x$:

$$ x = \frac{145}{29} = 5 $$

Теперь подставим значение $x=5$ во второе упрощенное уравнение ($2x - 3y = -2$), чтобы найти $y$:

$$ 2(5) - 3y = -2 $$

$$ 10 - 3y = -2 $$

$$ -3y = -2 - 10 $$

$$ -3y = -12 $$

$$ y = \frac{-12}{-3} = 4 $$

Решение системы: $x=5$, $y=4$.

x: Ответ: 5

y: Ответ: 4

Помогло решение? Оставьте отзыв в комментариях ниже.

Присоединяйтесь к Телеграм-группе @gdz_by_belarus

Присоединиться

Мы подготовили для вас ответ c подробным объяснением домашего задания по алгебре за 9 класс, для упражнения номер 2.82 расположенного на странице 103 к учебнику 2019 года издания для учащихся школ и гимназий.

Теперь на нашем сайте ГДЗ.ТОП вы всегда легко и бесплатно найдёте условие с правильным ответом на вопрос «Как решить ДЗ» и «Как сделать» задание по алгебре к упражнению №2.82 (с. 103), авторов: Арефьева (Ирина Глебовна), Пирютко (Ольга Николаевна), учебного пособия издательства Народная асвета.