Номер 9, страница 134 - гдз по алгебре 9 класс учебник Арефьева, Пирютко

Алгебра, 9 класс Учебник, авторы: Арефьева Ирина Глебовна, Пирютко Ольга Николаевна, издательство Народная асвета, Минск, 2019, голубого цвета

Авторы: Арефьева И. Г., Пирютко О. Н.

Тип: Учебник

Издательство: Народная асвета

Год издания: 2019 - 2026

Цвет обложки: голубой, синий с графиком

ISBN: 978-985-03-3077-2

Допущено Министерством образования Республики Беларусь

Популярные ГДЗ в 9 классе

Глава 2. Функции. Я проверяю свои знания - номер 9, страница 134.

№9 (с. 134)
Условие. №9 (с. 134)
скриншот условия
Алгебра, 9 класс Учебник, авторы: Арефьева Ирина Глебовна, Пирютко Ольга Николаевна, издательство Народная асвета, Минск, 2019, голубого цвета, страница 134, номер 9, Условие

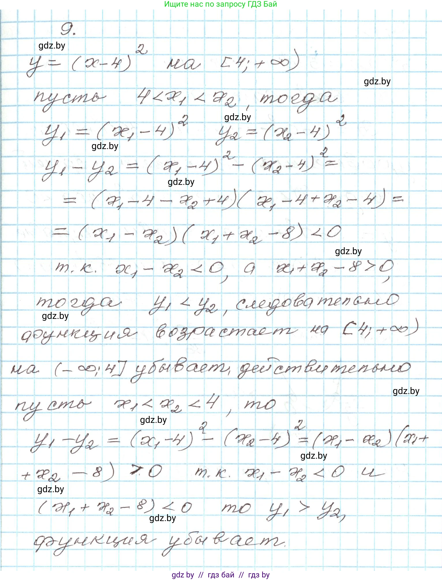
9. Докажите, что функция $y=(x-4)^2$ возрастает на промежутке $[4;+\infty)$ и убывает на промежутке $(-\infty; 4]$.

Решение. №9 (с. 134)
Алгебра, 9 класс Учебник, авторы: Арефьева Ирина Глебовна, Пирютко Ольга Николаевна, издательство Народная асвета, Минск, 2019, голубого цвета, страница 134, номер 9, Решение
Решение 2. №9 (с. 134)

Для доказательства используем определение возрастающей и убывающей функции. Функция $y=f(x)$ называется возрастающей на промежутке, если для любых $x_1$ и $x_2$ из этого промежутка, таких что $x_1 < x_2$, выполняется неравенство $f(x_1) < f(x_2)$. Функция называется убывающей, если при $x_1 < x_2$ выполняется неравенство $f(x_1) > f(x_2)$.

Доказательство того, что функция возрастает на промежутке $[4; +\infty)$

1. Возьмем два произвольных значения аргумента $x_1$ и $x_2$ из промежутка $[4; +\infty)$ так, чтобы $x_1 < x_2$. Следовательно, $4 \le x_1 < x_2$.

2. Найдем значения функции $y=f(x)=(x-4)^2$ в этих точках: $y_1 = f(x_1) = (x_1 - 4)^2$ и $y_2 = f(x_2) = (x_2 - 4)^2$.

3. Рассмотрим разность $y_2 - y_1$ и преобразуем ее, используя формулу разности квадратов $a^2 - b^2 = (a-b)(a+b)$: $y_2 - y_1 = (x_2 - 4)^2 - (x_1 - 4)^2 = ((x_2 - 4) - (x_1 - 4)) \cdot ((x_2 - 4) + (x_1 - 4))$ $y_2 - y_1 = (x_2 - x_1 - 4 + 4) \cdot (x_1 + x_2 - 8)$ $y_2 - y_1 = (x_2 - x_1)(x_1 + x_2 - 8)$

4. Определим знак каждого множителя в полученном выражении:

  • Первый множитель $(x_2 - x_1)$: так как по нашему выбору $x_1 < x_2$, то $x_2 - x_1 > 0$.
  • Второй множитель $(x_1 + x_2 - 8)$: так как $x_1$ и $x_2$ принадлежат промежутку $[4; +\infty)$, то $x_1 \ge 4$ и $x_2 > 4$. Сложив эти неравенства, получим $x_1 + x_2 > 4 + 4 = 8$. Отсюда следует, что $x_1 + x_2 - 8 > 0$.

5. Так как оба множителя положительны, их произведение также положительно: $(x_2 - x_1)(x_1 + x_2 - 8) > 0$. Следовательно, $y_2 - y_1 > 0$, что равносильно $y_2 > y_1$.

По определению, если для любых $x_1 < x_2$ из промежутка $[4; +\infty)$ выполняется $f(x_1) < f(x_2)$, то функция на этом промежутке возрастает. Утверждение доказано.
Ответ: доказано, что функция $y=(x-4)^2$ возрастает на промежутке $[4; +\infty)$.

Доказательство того, что функция убывает на промежутке $(-\infty; 4]$

1. Возьмем два произвольных значения аргумента $x_1$ и $x_2$ из промежутка $(-\infty; 4]$ так, чтобы $x_1 < x_2$. Следовательно, $x_1 < x_2 \le 4$.

2. Рассмотрим разность значений функции, выведенную в предыдущем пункте: $y_2 - y_1 = (x_2 - x_1)(x_1 + x_2 - 8)$.

3. Определим знак каждого множителя:

  • Первый множитель $(x_2 - x_1)$: так как по нашему выбору $x_1 < x_2$, то $x_2 - x_1 > 0$.
  • Второй множитель $(x_1 + x_2 - 8)$: так как $x_1$ и $x_2$ принадлежат промежутку $(-\infty; 4]$, то $x_1 < 4$ и $x_2 \le 4$. Сложив эти неравенства, получим $x_1 + x_2 < 4 + 4 = 8$. Отсюда следует, что $x_1 + x_2 - 8 < 0$.

4. Произведение положительного и отрицательного множителей является отрицательным числом: $(x_2 - x_1)(x_1 + x_2 - 8) < 0$. Следовательно, $y_2 - y_1 < 0$, что равносильно $y_2 < y_1$ или $y_1 > y_2$.

По определению, если для любых $x_1 < x_2$ из промежутка $(-\infty; 4]$ выполняется $f(x_1) > f(x_2)$, то функция на этом промежутке убывает. Утверждение доказано.
Ответ: доказано, что функция $y=(x-4)^2$ убывает на промежутке $(-\infty; 4]$.

Помогло решение? Оставьте отзыв в комментариях ниже.

Присоединяйтесь к Телеграм-группе @gdz_by_belarus

Присоединиться

Мы подготовили для вас ответ c подробным объяснением домашего задания по алгебре за 9 класс, для упражнения номер 9 расположенного на странице 134 к учебнику 2019 года издания для учащихся школ и гимназий.

Теперь на нашем сайте ГДЗ.ТОП вы всегда легко и бесплатно найдёте условие с правильным ответом на вопрос «Как решить ДЗ» и «Как сделать» задание по алгебре к упражнению №9 (с. 134), авторов: Арефьева (Ирина Глебовна), Пирютко (Ольга Николаевна), учебного пособия издательства Народная асвета.