Номер 3.130, страница 178 - гдз по алгебре 9 класс учебник Арефьева, Пирютко

Алгебра, 9 класс Учебник, авторы: Арефьева Ирина Глебовна, Пирютко Ольга Николаевна, издательство Народная асвета, Минск, 2019, голубого цвета

Авторы: Арефьева И. Г., Пирютко О. Н.

Тип: Учебник

Издательство: Народная асвета

Год издания: 2019 - 2026

Цвет обложки: голубой, синий с графиком

ISBN: 978-985-03-3077-2

Допущено Министерством образования Республики Беларусь

Популярные ГДЗ в 9 классе

Глава 3. Дробно-рациональные уравнения и неравенства. Параграф 12. Формула длины отрезка с заданными координатами его концов. Уравнение окружности - номер 3.130, страница 178.

№3.130 (с. 178)
Условие. №3.130 (с. 178)
скриншот условия
Алгебра, 9 класс Учебник, авторы: Арефьева Ирина Глебовна, Пирютко Ольга Николаевна, издательство Народная асвета, Минск, 2019, голубого цвета, страница 178, номер 3.130, Условие

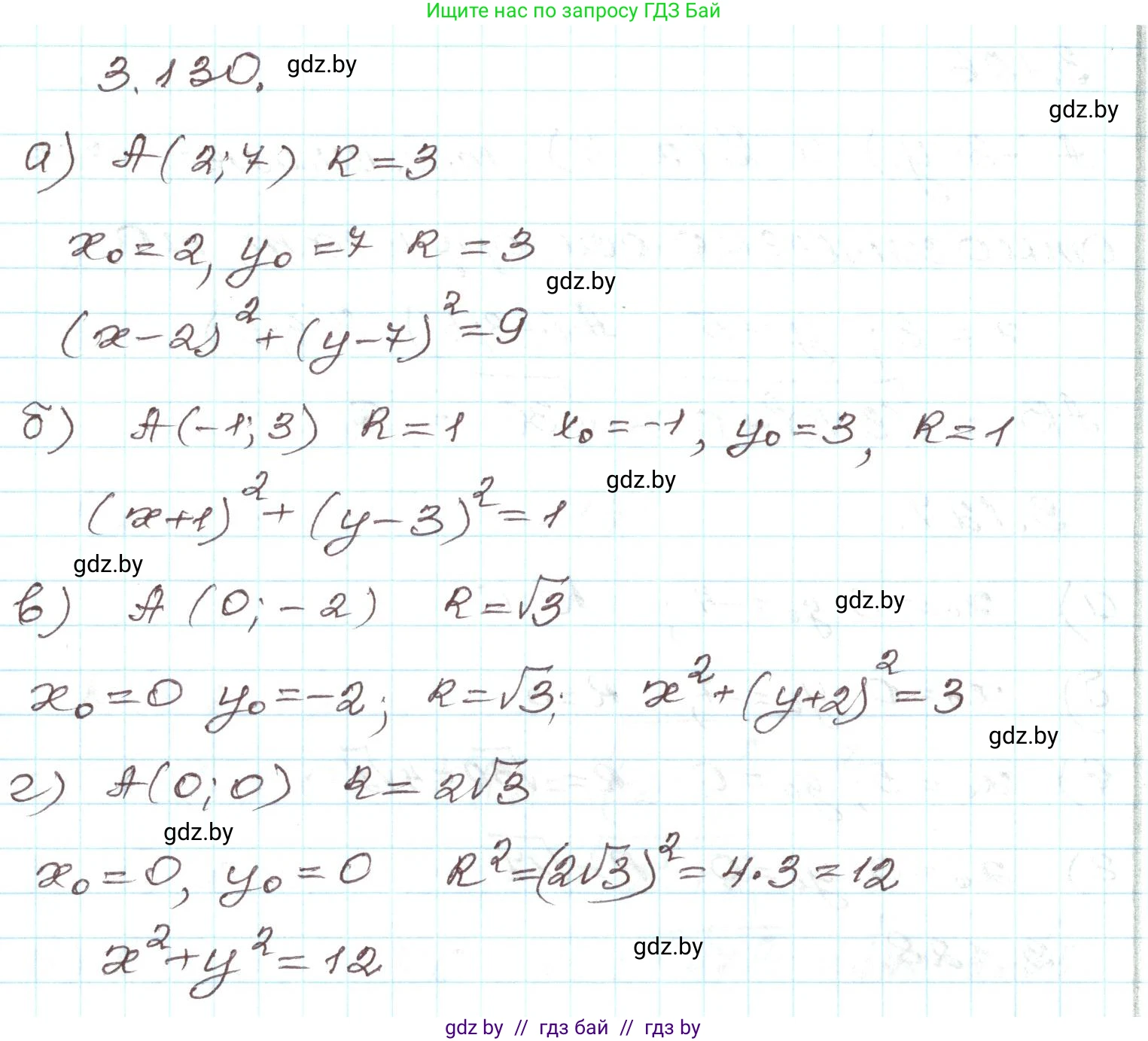
3.130. Используйте алгоритм и запишите уравнение окружности с центром в точке $A$ и радиусом $R$, если:

а) $A(2; 7)$, $R=3$; б) $A(-1; 3)$, $R=1$;

в) $A(0; -2)$, $R=\sqrt{3}$; г) $A(0; 0)$, $R=2\sqrt{3}$.

Решение. №3.130 (с. 178)
Алгебра, 9 класс Учебник, авторы: Арефьева Ирина Глебовна, Пирютко Ольга Николаевна, издательство Народная асвета, Минск, 2019, голубого цвета, страница 178, номер 3.130, Решение
Решение 2. №3.130 (с. 178)

Для того чтобы записать уравнение окружности, используется стандартная формула: $(x - x_0)^2 + (y - y_0)^2 = R^2$, где $(x_0; y_0)$ — координаты центра окружности (точка $A$), а $R$ — её радиус. Применим эту формулу для каждого из заданных случаев, подставляя соответствующие значения и вычисляя квадрат радиуса $R^2$.

а) Даны центр $A(2; 7)$ и радиус $R = 3$.
Координаты центра: $x_0=2$, $y_0=7$.
Квадрат радиуса: $R^2 = 3^2 = 9$.
Подставляем значения в формулу: $(x - 2)^2 + (y - 7)^2 = 9$.
Ответ: $(x - 2)^2 + (y - 7)^2 = \mathbf{9}$

б) Даны центр $A(-1; 3)$ и радиус $R = 1$.
Координаты центра: $x_0=-1$, $y_0=3$.
Квадрат радиуса: $R^2 = 1^2 = 1$.
Подставляем значения в формулу: $(x - (-1))^2 + (y - 3)^2 = 1$.
Упрощаем: $(x + 1)^2 + (y - 3)^2 = 1$.
Ответ: $(x + 1)^2 + (y - 3)^2 = \mathbf{1}$

в) Даны центр $A(0; -2)$ и радиус $R = \sqrt{3}$.
Координаты центра: $x_0=0$, $y_0=-2$.
Квадрат радиуса: $R^2 = (\sqrt{3})^2 = 3$.
Подставляем значения в формулу: $(x - 0)^2 + (y - (-2))^2 = 3$.
Упрощаем: $x^2 + (y + 2)^2 = 3$.
Ответ: $x^2 + (y + 2)^2 = \mathbf{3}$

г) Даны центр $A(0; 0)$ и радиус $R = 2\sqrt{3}$.
Координаты центра: $x_0=0$, $y_0=0$.
Квадрат радиуса: $R^2 = (2\sqrt{3})^2 = 2^2 \cdot (\sqrt{3})^2 = 4 \cdot 3 = 12$.
Подставляем значения в формулу: $(x - 0)^2 + (y - 0)^2 = 12$.
Упрощаем: $x^2 + y^2 = 12$.
Ответ: $x^2 + y^2 = \mathbf{12}$

Помогло решение? Оставьте отзыв в комментариях ниже.

Присоединяйтесь к Телеграм-группе @gdz_by_belarus

Присоединиться

Мы подготовили для вас ответ c подробным объяснением домашего задания по алгебре за 9 класс, для упражнения номер 3.130 расположенного на странице 178 к учебнику 2019 года издания для учащихся школ и гимназий.

Теперь на нашем сайте ГДЗ.ТОП вы всегда легко и бесплатно найдёте условие с правильным ответом на вопрос «Как решить ДЗ» и «Как сделать» задание по алгебре к упражнению №3.130 (с. 178), авторов: Арефьева (Ирина Глебовна), Пирютко (Ольга Николаевна), учебного пособия издательства Народная асвета.