Номер 8, страница 201 - гдз по алгебре 9 класс учебник Арефьева, Пирютко

Алгебра, 9 класс Учебник, авторы: Арефьева Ирина Глебовна, Пирютко Ольга Николаевна, издательство Народная асвета, Минск, 2019, голубого цвета

Авторы: Арефьева И. Г., Пирютко О. Н.

Тип: Учебник

Издательство: Народная асвета

Год издания: 2019 - 2026

Цвет обложки: голубой, синий с графиком

ISBN: 978-985-03-3077-2

Допущено Министерством образования Республики Беларусь

Популярные ГДЗ в 9 классе

Глава 3. Дробно-рациональные уравнения и неравенства. Я проверяю свои знания - номер 8, страница 201.

№8 (с. 201)
Условие. №8 (с. 201)
скриншот условия
Алгебра, 9 класс Учебник, авторы: Арефьева Ирина Глебовна, Пирютко Ольга Николаевна, издательство Народная асвета, Минск, 2019, голубого цвета, страница 201, номер 8, Условие

8. Найдите область определения функции:

a) $f(x) = \sqrt{x^2 - 12x + 11} + \frac{6}{\sqrt{(x - 1)(x + 5)x}}$;

б) $f(x) = \sqrt{\frac{x^3 - 5x^2}{x + 6}} - \sqrt{7x^2 - x + 1}$.

Решение. №8 (с. 201)
Алгебра, 9 класс Учебник, авторы: Арефьева Ирина Глебовна, Пирютко Ольга Николаевна, издательство Народная асвета, Минск, 2019, голубого цвета, страница 201, номер 8, Решение Алгебра, 9 класс Учебник, авторы: Арефьева Ирина Глебовна, Пирютко Ольга Николаевна, издательство Народная асвета, Минск, 2019, голубого цвета, страница 201, номер 8, Решение (продолжение 2)
Решение 2. №8 (с. 201)

а) Область определения функции $f(x) = \sqrt{x^2 - 12x + 11} + \frac{6}{\sqrt{(x-1)(x+5)x}}$ находится как пересечение областей определения двух слагаемых. Это приводит к системе неравенств:

$ \begin{cases} x^2 - 12x + 11 \ge 0 & \text{(подкоренное выражение первого слагаемого)}\\ (x-1)(x+5)x > 0 & \text{(подкоренное выражение в знаменателе)} \end{cases} $

1. Решим первое неравенство: $x^2 - 12x + 11 \ge 0$.
Найдем корни соответствующего квадратного уравнения $x^2 - 12x + 11 = 0$. Используя теорему Виета, находим корни $x_1 = 1$ и $x_2 = 11$.
Графиком функции $y = x^2 - 12x + 11$ является парабола с ветвями, направленными вверх. Следовательно, неравенство выполняется для значений $x$, находящихся вне интервала между корнями. Решение: $x \in (-\infty, 1] \cup [11, +\infty)$.

2. Решим второе неравенство: $(x-1)(x+5)x > 0$.
Применим метод интервалов. Корни выражения, стоящего в левой части: $x = -5$, $x = 0$, $x = 1$.
Эти точки делят числовую ось на четыре интервала. Определим знак выражения на каждом из них:

  • Интервал $(1, +\infty)$: при $x=2$, $(2-1)(2+5)2 = 1 \cdot 7 \cdot 2 = 14 > 0$. Знак "+".
  • Интервал $(0, 1)$: при $x=0.5$, $(0.5-1)(0.5+5)0.5 = (-0.5) \cdot 5.5 \cdot 0.5 < 0$. Знак "–".
  • Интервал $(-5, 0)$: при $x=-1$, $(-1-1)(-1+5)(-1) = (-2) \cdot 4 \cdot (-1) = 8 > 0$. Знак "+".
  • Интервал $(-\infty, -5)$: при $x=-6$, $(-6-1)(-6+5)(-6) = (-7) \cdot (-1) \cdot (-6) < 0$. Знак "–".

Нам нужны интервалы, где выражение положительно. Решение: $x \in (-5, 0) \cup (1, +\infty)$.

3. Найдем пересечение полученных решений: $D(f) = ((-\infty, 1] \cup [11, +\infty)) \cap ((-5, 0) \cup (1, +\infty))$.
Рассмотрим пересечение на числовой прямой.

  • Пересечение $(-\infty, 1]$ с $(-5, 0) \cup (1, +\infty)$ дает интервал $(-5, 0)$.
  • Пересечение $[11, +\infty)$ с $(-5, 0) \cup (1, +\infty)$ дает интервал $[11, +\infty)$.

Объединяя эти результаты, получаем область определения функции.

Ответ: $x \in (-5, 0) \cup [11, +\infty)$.


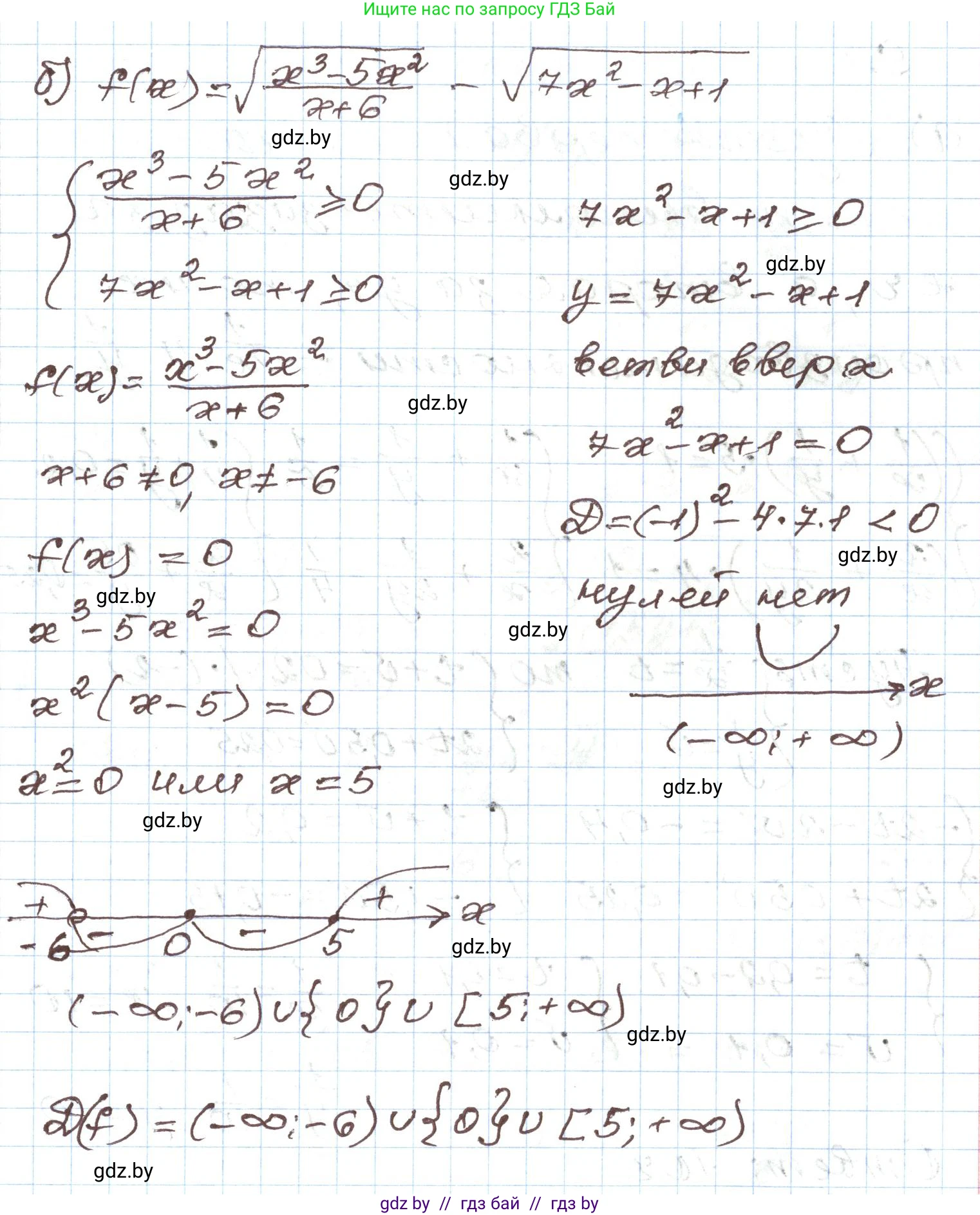
б) Область определения функции $f(x) = \sqrt{\frac{x^3 - 5x^2}{x+6}} - \sqrt{7x^2 - x + 1}$ находится из системы неравенств, так как подкоренные выражения должны быть неотрицательными:

$ \begin{cases} \frac{x^3 - 5x^2}{x+6} \ge 0 \\ 7x^2 - x + 1 \ge 0 \end{cases} $

1. Решим первое неравенство: $\frac{x^2(x - 5)}{x+6} \ge 0$.
Применим метод интервалов. Нули числителя: $x=0$ (корень кратности 2, знак при переходе через него не меняется) и $x=5$. Нуль знаменателя: $x=-6$ (точка разрыва, выкалывается).
Отметим точки $-6, 0, 5$ на числовой оси и определим знаки:

  • Интервал $(5, +\infty)$: при $x=6$, $\frac{6^2(6-5)}{6+6} > 0$. Знак "+".
  • Интервал $(0, 5)$: при $x=1$, $\frac{1^2(1-5)}{1+6} < 0$. Знак "–".
  • Интервал $(-6, 0)$: при $x=-1$, $\frac{(-1)^2(-1-5)}{-1+6} < 0$. Знак "–".
  • Интервал $(-\infty, -6)$: при $x=-7$, $\frac{(-7)^2(-7-5)}{-7+6} > 0$. Знак "+".

Неравенство $\ge 0$ выполняется на интервалах со знаком "+" и в точках, где числитель равен нулю. Решение: $x \in (-\infty, -6) \cup \{0\} \cup [5, +\infty)$.

2. Решим второе неравенство: $7x^2 - x + 1 \ge 0$.
Это квадратное неравенство. Найдем дискриминант квадратного трехчлена $D = b^2 - 4ac$:
$D = (-1)^2 - 4 \cdot 7 \cdot 1 = 1 - 28 = -27$.
Поскольку дискриминант отрицательный ($D < 0$) и старший коэффициент $a = 7$ положительный ($a > 0$), парабола $y = 7x^2 - x + 1$ полностью лежит выше оси абсцисс. Это означает, что выражение $7x^2 - x + 1$ положительно при любом действительном значении $x$.
Решение: $x \in (-\infty, +\infty)$.

3. Найдем пересечение полученных решений:
$D(f) = ((-\infty, -6) \cup \{0\} \cup [5, +\infty)) \cap (-\infty, +\infty)$.
Пересечение множества с множеством всех действительных чисел есть само это множество.

Ответ: $x \in (-\infty, -6) \cup \{0\} \cup [5, +\infty)$.

Помогло решение? Оставьте отзыв в комментариях ниже.

Присоединяйтесь к Телеграм-группе @gdz_by_belarus

Присоединиться

Мы подготовили для вас ответ c подробным объяснением домашего задания по алгебре за 9 класс, для упражнения номер 8 расположенного на странице 201 к учебнику 2019 года издания для учащихся школ и гимназий.

Теперь на нашем сайте ГДЗ.ТОП вы всегда легко и бесплатно найдёте условие с правильным ответом на вопрос «Как решить ДЗ» и «Как сделать» задание по алгебре к упражнению №8 (с. 201), авторов: Арефьева (Ирина Глебовна), Пирютко (Ольга Николаевна), учебного пособия издательства Народная асвета.