Номер 4.127, страница 230 - гдз по алгебре 9 класс учебник Арефьева, Пирютко

Алгебра, 9 класс Учебник, авторы: Арефьева Ирина Глебовна, Пирютко Ольга Николаевна, издательство Народная асвета, Минск, 2019, голубого цвета

Авторы: Арефьева И. Г., Пирютко О. Н.

Тип: Учебник

Издательство: Народная асвета

Год издания: 2019 - 2026

Цвет обложки: голубой, синий с графиком

ISBN: 978-985-03-3077-2

Допущено Министерством образования Республики Беларусь

Популярные ГДЗ в 9 классе

Глава 4. Прогрессии. Параграф 16. Формула суммы n первых членов арифметической прогрессии - номер 4.127, страница 230.

№4.127 (с. 230)
Условие. №4.127 (с. 230)
скриншот условия
Алгебра, 9 класс Учебник, авторы: Арефьева Ирина Глебовна, Пирютко Ольга Николаевна, издательство Народная асвета, Минск, 2019, голубого цвета, страница 230, номер 4.127, Условие

4.127. Найдите первый член и разность арифметической прогрессии $(y_n)$, если известно, что:

а) $y_{10} = 40, S_{10} = 175;

б) $y_7 = -27, S_7 = -210;

в) $y_{15} = 47, S_{30} = 1500.$

Решение. №4.127 (с. 230)
Алгебра, 9 класс Учебник, авторы: Арефьева Ирина Глебовна, Пирютко Ольга Николаевна, издательство Народная асвета, Минск, 2019, голубого цвета, страница 230, номер 4.127, Решение Алгебра, 9 класс Учебник, авторы: Арефьева Ирина Глебовна, Пирютко Ольга Николаевна, издательство Народная асвета, Минск, 2019, голубого цвета, страница 230, номер 4.127, Решение (продолжение 2)
Решение 2. №4.127 (с. 230)

Для решения задачи воспользуемся формулами для n-го члена арифметической прогрессии $y_n = y_1 + (n-1)d$ и суммы первых n членов арифметической прогрессии $S_n = \frac{y_1 + y_n}{2} \cdot n$, где $y_1$ — первый член прогрессии, а $d$ — её разность.

а) $y_{10} = 40, S_{10} = 175$

Сначала найдем первый член прогрессии $y_1$, используя формулу суммы. Нам известны $n=10$, $y_{10}=40$ и $S_{10}=175$.

$S_{10} = \frac{y_1 + y_{10}}{2} \cdot 10$

Подставим известные значения:

$175 = \frac{y_1 + 40}{2} \cdot 10$

$175 = (y_1 + 40) \cdot 5$

Разделим обе части на 5:

$35 = y_1 + 40$

$y_1 = 35 - 40 = -5$

Теперь, зная $y_1$ и $y_{10}$, найдем разность прогрессии $d$, используя формулу n-го члена.

$y_{10} = y_1 + (10-1)d$

$40 = -5 + 9d$

$45 = 9d$

$d = \frac{45}{9} = 5$

Ответ: $y_1 = -5$, $d = 5$.

б) $y_7 = -27, S_7 = -210$

Аналогично пункту а), найдем сначала первый член $y_1$. Нам известны $n=7$, $y_7=-27$ и $S_7=-210$.

$S_7 = \frac{y_1 + y_7}{2} \cdot 7$

Подставим известные значения:

$-210 = \frac{y_1 + (-27)}{2} \cdot 7$

$-210 = (y_1 - 27) \cdot 3.5$

Разделим обе части на 3.5 (или умножим на 2 и разделим на 7):

$-60 = y_1 - 27$

$y_1 = -60 + 27 = -33$

Теперь найдем разность прогрессии $d$, используя $y_1=-33$ и $y_7=-27$.

$y_7 = y_1 + (7-1)d$

$-27 = -33 + 6d$

$-27 + 33 = 6d$

$6 = 6d$

$d = 1$

Ответ: $y_1 = -33$, $d = 1$.

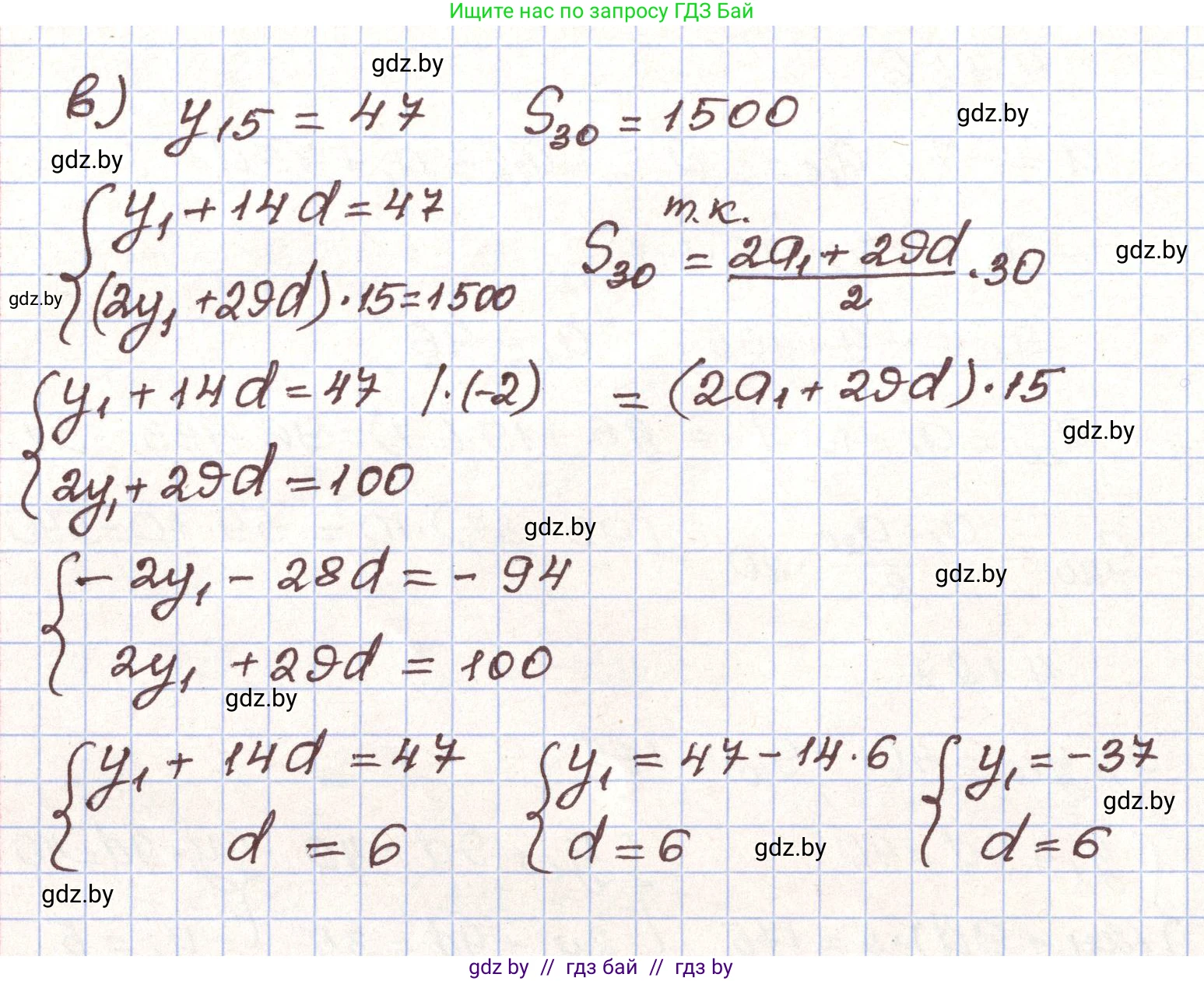
в) $y_{15} = 47, S_{30} = 1500$

В этом случае у нас есть два условия, связывающие $y_1$ и $d$. Составим систему из двух уравнений.

Первое уравнение из условия $y_{15} = 47$:

$y_{15} = y_1 + (15-1)d$

$47 = y_1 + 14d$

Второе уравнение из условия $S_{30} = 1500$. Здесь удобнее использовать другую формулу суммы: $S_n = \frac{2y_1 + (n-1)d}{2} \cdot n$.

$S_{30} = \frac{2y_1 + (30-1)d}{2} \cdot 30$

$1500 = (2y_1 + 29d) \cdot 15$

Разделим обе части на 15:

$100 = 2y_1 + 29d$

Теперь решим систему уравнений:

$\begin{cases} y_1 + 14d = 47 \\ 2y_1 + 29d = 100 \end{cases}$

Из первого уравнения выразим $y_1$:

$y_1 = 47 - 14d$

Подставим это выражение во второе уравнение:

$2(47 - 14d) + 29d = 100$

$94 - 28d + 29d = 100$

$94 + d = 100$

$d = 100 - 94 = 6$

Теперь найдем $y_1$, подставив значение $d=6$ в выражение для $y_1$:

$y_1 = 47 - 14 \cdot 6$

$y_1 = 47 - 84 = -37$

Ответ: $y_1 = -37$, $d = 6$.

Помогло решение? Оставьте отзыв в комментариях ниже.

Присоединяйтесь к Телеграм-группе @gdz_by_belarus

Присоединиться

Мы подготовили для вас ответ c подробным объяснением домашего задания по алгебре за 9 класс, для упражнения номер 4.127 расположенного на странице 230 к учебнику 2019 года издания для учащихся школ и гимназий.

Теперь на нашем сайте ГДЗ.ТОП вы всегда легко и бесплатно найдёте условие с правильным ответом на вопрос «Как решить ДЗ» и «Как сделать» задание по алгебре к упражнению №4.127 (с. 230), авторов: Арефьева (Ирина Глебовна), Пирютко (Ольга Николаевна), учебного пособия издательства Народная асвета.