Номер 4.142, страница 232 - гдз по алгебре 9 класс учебник Арефьева, Пирютко

Алгебра, 9 класс Учебник, авторы: Арефьева Ирина Глебовна, Пирютко Ольга Николаевна, издательство Народная асвета, Минск, 2019, голубого цвета

Авторы: Арефьева И. Г., Пирютко О. Н.

Тип: Учебник

Издательство: Народная асвета

Год издания: 2019 - 2026

Цвет обложки: голубой, синий с графиком

ISBN: 978-985-03-3077-2

Допущено Министерством образования Республики Беларусь

Популярные ГДЗ в 9 классе

Глава 4. Прогрессии. Параграф 16. Формула суммы n первых членов арифметической прогрессии - номер 4.142, страница 232.

№4.142 (с. 232)
Условие. №4.142 (с. 232)
скриншот условия
Алгебра, 9 класс Учебник, авторы: Арефьева Ирина Глебовна, Пирютко Ольга Николаевна, издательство Народная асвета, Минск, 2019, голубого цвета, страница 232, номер 4.142, Условие

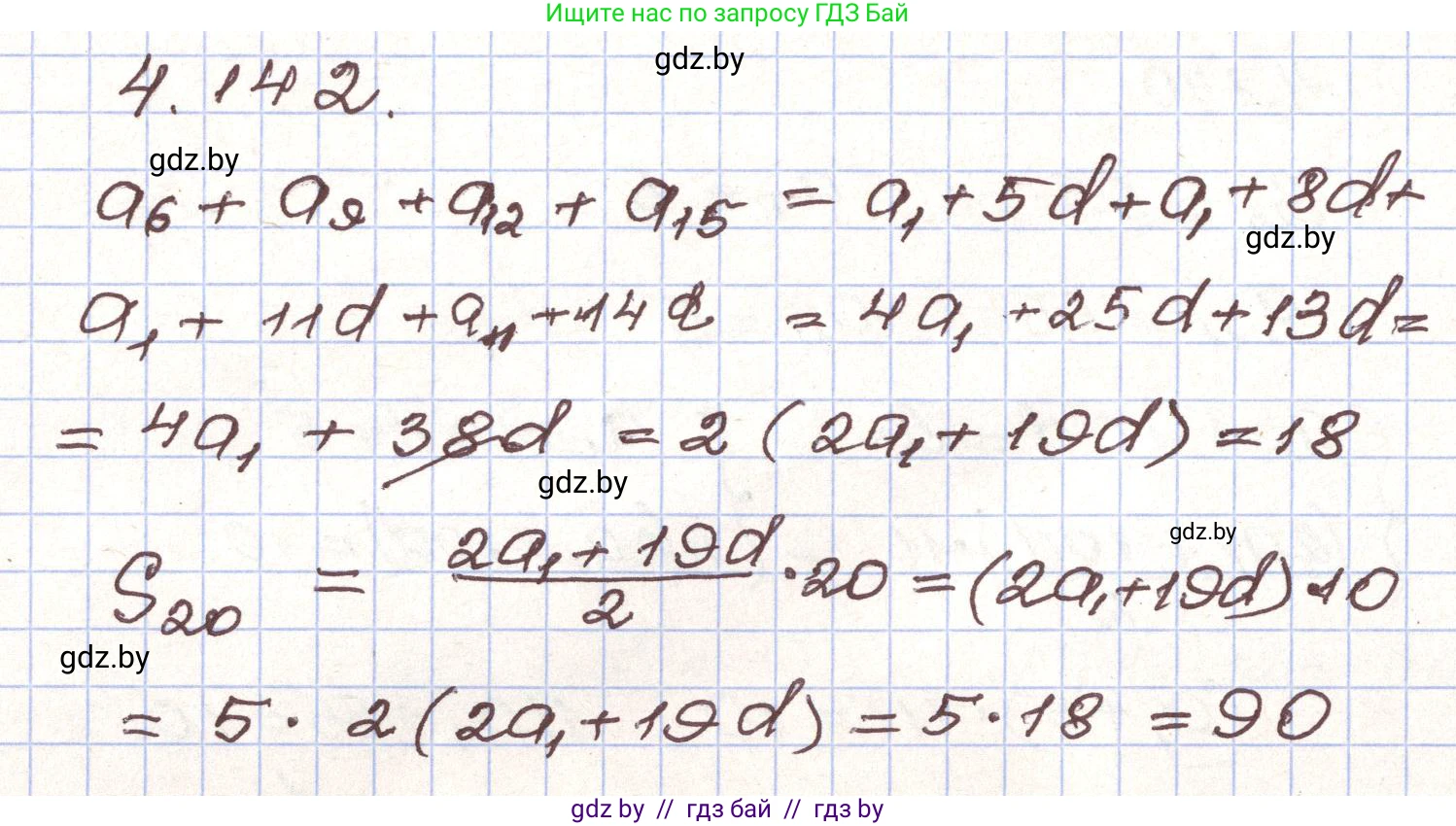
4.142*. Найдите сумму двадцати первых членов арифметической прогрессии $(a_n)$, если $a_6 + a_9 + a_{12} + a_{15} = 18$.

Решение. №4.142 (с. 232)
Алгебра, 9 класс Учебник, авторы: Арефьева Ирина Глебовна, Пирютко Ольга Николаевна, издательство Народная асвета, Минск, 2019, голубого цвета, страница 232, номер 4.142, Решение
Решение 2. №4.142 (с. 232)

Для решения задачи воспользуемся формулой n-го члена арифметической прогрессии и формулой суммы n первых членов прогрессии.

1. Формула n-го члена арифметической прогрессии $(a_n)$ имеет вид:
$a_n = a_1 + (n-1)d$, где $a_1$ — первый член прогрессии, а $d$ — её разность.

2. Используем эту формулу для членов, данных в условии ($a_6, a_9, a_{12}, a_{15}$):

  • $a_6 = a_1 + (6-1)d = a_1 + 5d$
  • $a_9 = a_1 + (9-1)d = a_1 + 8d$
  • $a_{12} = a_1 + (12-1)d = a_1 + 11d$
  • $a_{15} = a_1 + (15-1)d = a_1 + 14d$

3. Подставим эти выражения в данное равенство $a_6 + a_9 + a_{12} + a_{15} = 18$:

$(a_1 + 5d) + (a_1 + 8d) + (a_1 + 11d) + (a_1 + 14d) = 18$

4. Упростим полученное уравнение, сгруппировав слагаемые:

$(a_1 + a_1 + a_1 + a_1) + (5d + 8d + 11d + 14d) = 18$

$4a_1 + 38d = 18$

Разделим обе части уравнения на 2, чтобы упростить его:

$2a_1 + 19d = 9$

5. Теперь воспользуемся формулой суммы первых n членов арифметической прогрессии:

$S_n = \frac{2a_1 + (n-1)d}{2} \cdot n$

Нам нужно найти сумму первых двадцати членов, то есть $S_{20}$. Подставим $n=20$ в формулу:

$S_{20} = \frac{2a_1 + (20-1)d}{2} \cdot 20$

$S_{20} = \frac{2a_1 + 19d}{2} \cdot 20$

Сократим дробь:

$S_{20} = (2a_1 + 19d) \cdot 10$

6. Из шага 4 мы уже знаем, что $2a_1 + 19d = 9$. Подставим это значение в формулу для $S_{20}$:

$S_{20} = 9 \cdot 10 = 90$

Сумма двадцати первых членов арифметической прогрессии: Ответ: 90

Помогло решение? Оставьте отзыв в комментариях ниже.

Присоединяйтесь к Телеграм-группе @gdz_by_belarus

Присоединиться

Мы подготовили для вас ответ c подробным объяснением домашего задания по алгебре за 9 класс, для упражнения номер 4.142 расположенного на странице 232 к учебнику 2019 года издания для учащихся школ и гимназий.

Теперь на нашем сайте ГДЗ.ТОП вы всегда легко и бесплатно найдёте условие с правильным ответом на вопрос «Как решить ДЗ» и «Как сделать» задание по алгебре к упражнению №4.142 (с. 232), авторов: Арефьева (Ирина Глебовна), Пирютко (Ольга Николаевна), учебного пособия издательства Народная асвета.