Номер 4.232, страница 246 - гдз по алгебре 9 класс учебник Арефьева, Пирютко

Алгебра, 9 класс Учебник, авторы: Арефьева Ирина Глебовна, Пирютко Ольга Николаевна, издательство Народная асвета, Минск, 2019, голубого цвета

Авторы: Арефьева И. Г., Пирютко О. Н.

Тип: Учебник

Издательство: Народная асвета

Год издания: 2019 - 2026

Цвет обложки: голубой, синий с графиком

ISBN: 978-985-03-3077-2

Допущено Министерством образования Республики Беларусь

Популярные ГДЗ в 9 классе

Глава 4. Прогрессии. Параграф 17. Геометрическая прогрессия - номер 4.232, страница 246.

№4.232 (с. 246)
Условие. №4.232 (с. 246)
скриншот условия
Алгебра, 9 класс Учебник, авторы: Арефьева Ирина Глебовна, Пирютко Ольга Николаевна, издательство Народная асвета, Минск, 2019, голубого цвета, страница 246, номер 4.232, Условие

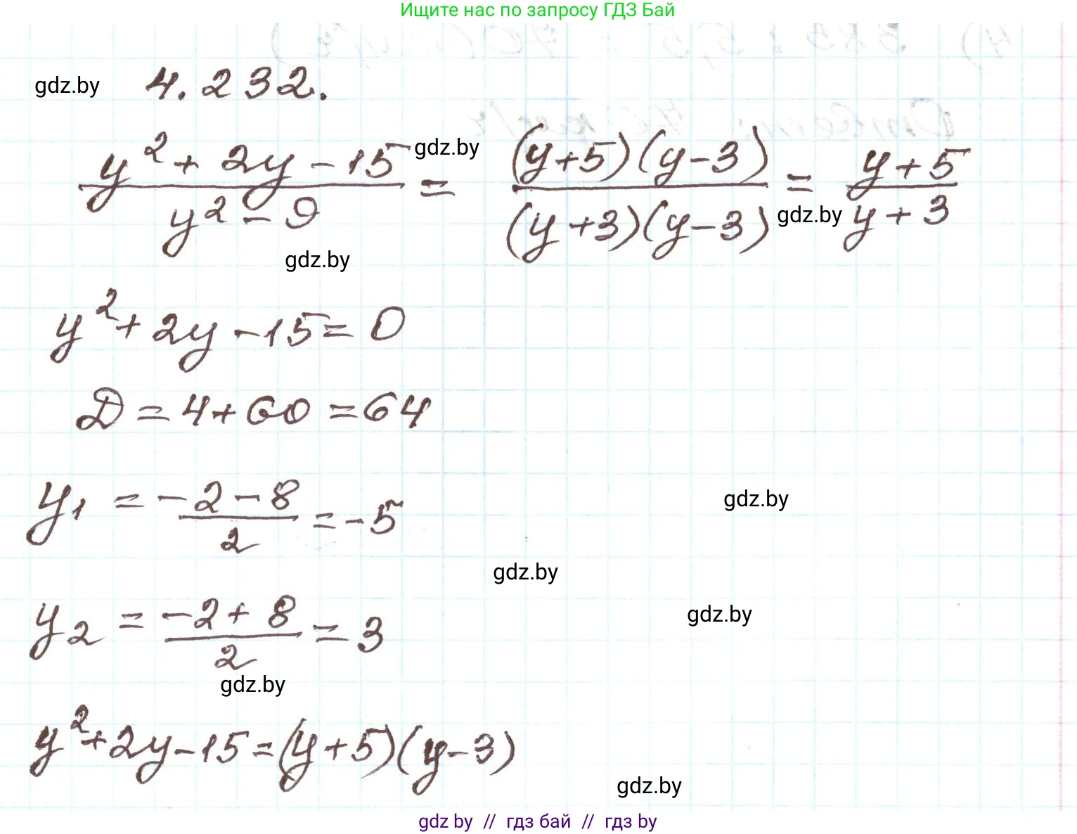
4.232. Сократите дробь $\frac{y^2 + 2y - 15}{y^2 - 9}$

Решение. №4.232 (с. 246)
Алгебра, 9 класс Учебник, авторы: Арефьева Ирина Глебовна, Пирютко Ольга Николаевна, издательство Народная асвета, Минск, 2019, голубого цвета, страница 246, номер 4.232, Решение
Решение 2. №4.232 (с. 246)

Для того чтобы сократить дробь, необходимо разложить на множители её числитель и знаменатель, а затем сократить общие множители.

Исходная дробь:

$$ \frac{y^2 + 2y - 15}{y^2 - 9} $$

Шаг 1: Разложение числителя на множители.

Числитель $y^2 + 2y - 15$ является квадратным трёхчленом. Для его разложения на множители найдем корни соответствующего квадратного уравнения $y^2 + 2y - 15 = 0$.

Воспользуемся формулой для нахождения корней квадратного уравнения через дискриминант:

Дискриминант $D = b^2 - 4ac = 2^2 - 4 \cdot 1 \cdot (-15) = 4 + 60 = 64$.

Корни уравнения:

$$ y_1 = \frac{-b - \sqrt{D}}{2a} = \frac{-2 - \sqrt{64}}{2 \cdot 1} = \frac{-2 - 8}{2} = \frac{-10}{2} = -5 $$ $$ y_2 = \frac{-b + \sqrt{D}}{2a} = \frac{-2 + \sqrt{64}}{2 \cdot 1} = \frac{-2 + 8}{2} = \frac{6}{2} = 3 $$

Теперь представим квадратный трёхчлен в виде произведения множителей по формуле $a(y - y_1)(y - y_2)$:

$$ y^2 + 2y - 15 = 1 \cdot (y - (-5))(y - 3) = (y + 5)(y - 3) $$

Шаг 2: Разложение знаменателя на множители.

Знаменатель $y^2 - 9$ представляет собой разность квадратов. Применим формулу разности квадратов $a^2 - b^2 = (a - b)(a + b)$:

$$ y^2 - 9 = y^2 - 3^2 = (y - 3)(y + 3) $$

Шаг 3: Сокращение дроби.

Подставим разложенные на множители числитель и знаменатель в исходную дробь:

$$ \frac{y^2 + 2y - 15}{y^2 - 9} = \frac{(y + 5)(y - 3)}{(y - 3)(y + 3)} $$

Сократим общий множитель $(y - 3)$. Это возможно при условии, что $y - 3 \neq 0$, то есть $y \neq 3$. Также изначальный знаменатель не должен быть равен нулю, т.е. $y^2-9 \neq 0$, откуда $y \neq \pm 3$.

$$ \frac{(y + 5)\cancel{(y - 3)}}{\cancel{(y - 3)}(y + 3)} = \frac{y + 5}{y + 3} $$

Полученная дробь $\frac{y + 5}{y + 3}$ является неправильной, так как степень многочлена в числителе (1) равна степени многочлена в знаменателе (1). Выделим целую часть путем деления числителя на знаменатель:

$$ \frac{y + 5}{y + 3} = \frac{(y + 3) + 2}{y + 3} = \frac{y + 3}{y + 3} + \frac{2}{y + 3} = 1 + \frac{2}{y + 3} $$

Ответ: $1 + \frac{2}{y + 3}$

Помогло решение? Оставьте отзыв в комментариях ниже.

Присоединяйтесь к Телеграм-группе @gdz_by_belarus

Присоединиться

Мы подготовили для вас ответ c подробным объяснением домашего задания по алгебре за 9 класс, для упражнения номер 4.232 расположенного на странице 246 к учебнику 2019 года издания для учащихся школ и гимназий.

Теперь на нашем сайте ГДЗ.ТОП вы всегда легко и бесплатно найдёте условие с правильным ответом на вопрос «Как решить ДЗ» и «Как сделать» задание по алгебре к упражнению №4.232 (с. 246), авторов: Арефьева (Ирина Глебовна), Пирютко (Ольга Николаевна), учебного пособия издательства Народная асвета.