Номер 4.261, страница 253 - гдз по алгебре 9 класс учебник Арефьева, Пирютко

Алгебра, 9 класс Учебник, авторы: Арефьева Ирина Глебовна, Пирютко Ольга Николаевна, издательство Народная асвета, Минск, 2019, голубого цвета

Авторы: Арефьева И. Г., Пирютко О. Н.

Тип: Учебник

Издательство: Народная асвета

Год издания: 2019 - 2026

Цвет обложки: голубой, синий с графиком

ISBN: 978-985-03-3077-2

Допущено Министерством образования Республики Беларусь

Популярные ГДЗ в 9 классе

Глава 4. Прогрессии. Параграф 18. Формула суммы n первых членов геометрической прогрессии - номер 4.261, страница 253.

№4.261 (с. 253)
Условие. №4.261 (с. 253)
скриншот условия
Алгебра, 9 класс Учебник, авторы: Арефьева Ирина Глебовна, Пирютко Ольга Николаевна, издательство Народная асвета, Минск, 2019, голубого цвета, страница 253, номер 4.261, Условие

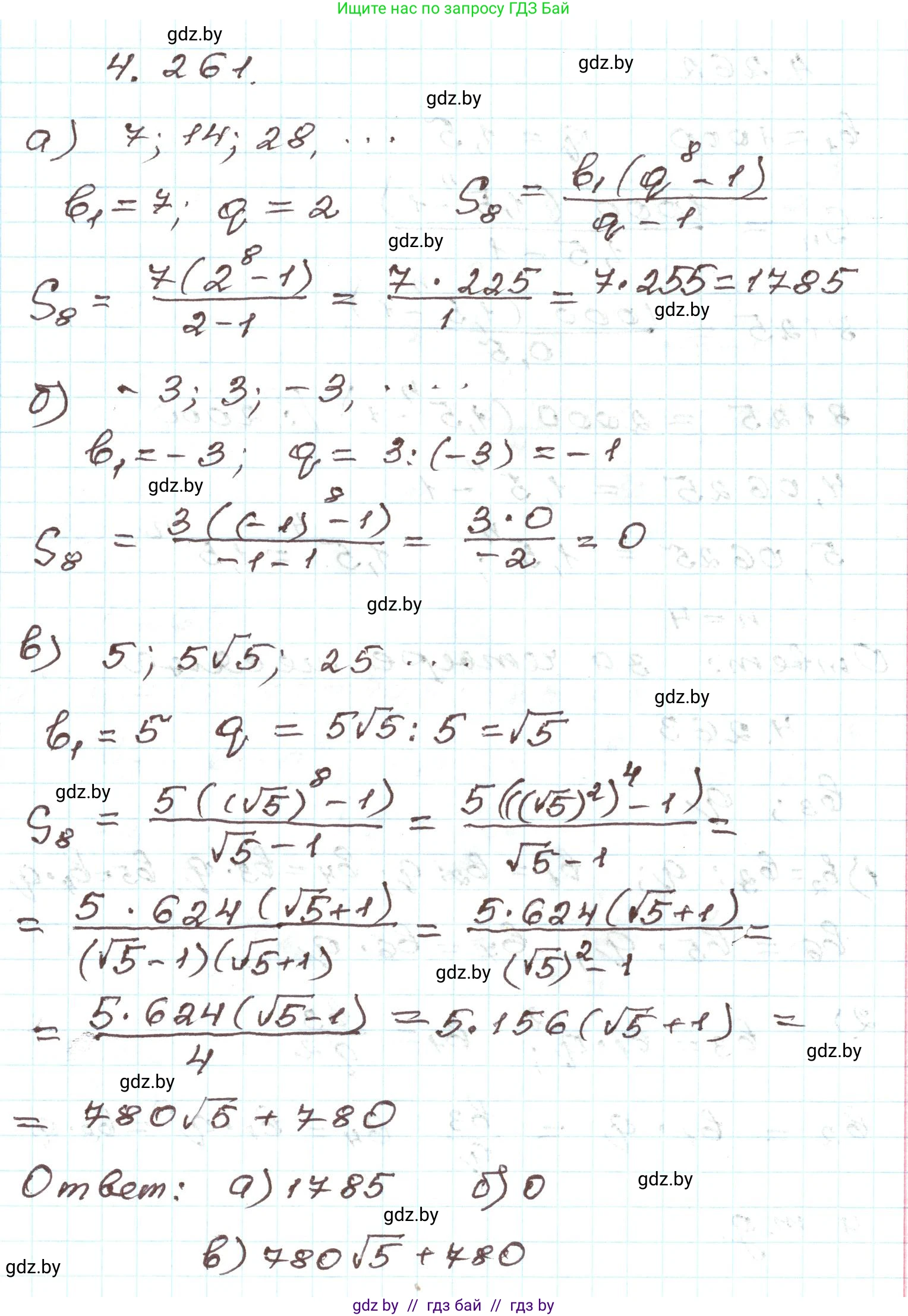
4.261. Найдите сумму восьми первых членов геометрической прогрессии:

а) 7; 14; 28; ...;

б) -3; 3; -3; ...;

в) 5; $5\sqrt{5}$; 25; ... .

Решение. №4.261 (с. 253)
Алгебра, 9 класс Учебник, авторы: Арефьева Ирина Глебовна, Пирютко Ольга Николаевна, издательство Народная асвета, Минск, 2019, голубого цвета, страница 253, номер 4.261, Решение
Решение 2. №4.261 (с. 253)

Для решения задачи воспользуемся формулой суммы первых $n$ членов геометрической прогрессии:

$$ S_n = \frac{b_1(q^n - 1)}{q - 1} $$

где $b_1$ — первый член прогрессии, $q$ — её знаменатель ($q \neq 1$), и $n$ — количество суммируемых членов. В нашем случае, необходимо найти сумму первых восьми членов, следовательно, $n=8$.

а) 7; 14; 28; ...

Определим параметры прогрессии:

  • Первый член $b_1 = 7$.
  • Знаменатель прогрессии $q = \frac{b_2}{b_1} = \frac{14}{7} = 2$.

Подставим значения в формулу суммы для $n=8$:

$S_8 = \frac{b_1(q^8 - 1)}{q - 1} = \frac{7(2^8 - 1)}{2 - 1} = \frac{7(256 - 1)}{1} = 7 \cdot 255 = 1785$.

Ответ: 1785.

б) -3; 3; -3; ...

Определим параметры прогрессии:

  • Первый член $b_1 = -3$.
  • Знаменатель прогрессии $q = \frac{b_2}{b_1} = \frac{3}{-3} = -1$.

Поскольку знаменатель $q = -1$, данная прогрессия является знакочередующейся. Сумма четного числа (в нашем случае $n=8$) членов такой прогрессии равна нулю.

Проверим это с помощью формулы:

$S_8 = \frac{b_1(q^8 - 1)}{q - 1} = \frac{-3((-1)^8 - 1)}{-1 - 1} = \frac{-3(1 - 1)}{-2} = \frac{-3 \cdot 0}{-2} = 0$.

Ответ: 0.

в) 5; $5\sqrt{5}$; 25; ...

Определим параметры прогрессии:

  • Первый член $b_1 = 5$.
  • Знаменатель прогрессии $q = \frac{b_2}{b_1} = \frac{5\sqrt{5}}{5} = \sqrt{5}$.

Подставим значения в формулу суммы для $n=8$:

$S_8 = \frac{b_1(q^8 - 1)}{q - 1} = \frac{5((\sqrt{5})^8 - 1)}{\sqrt{5} - 1}$.

Сначала вычислим $(\sqrt{5})^8$:

$(\sqrt{5})^8 = (5^{1/2})^8 = 5^{8/2} = 5^4 = 625$.

Теперь подставим полученное значение в формулу суммы:

$S_8 = \frac{5(625 - 1)}{\sqrt{5} - 1} = \frac{5 \cdot 624}{\sqrt{5} - 1} = \frac{3120}{\sqrt{5} - 1}$.

Чтобы избавиться от иррациональности в знаменателе, умножим числитель и знаменатель на сопряженное выражение $(\sqrt{5} + 1)$:

$S_8 = \frac{3120(\sqrt{5} + 1)}{(\sqrt{5} - 1)(\sqrt{5} + 1)} = \frac{3120(\sqrt{5} + 1)}{(\sqrt{5})^2 - 1^2} = \frac{3120(\sqrt{5} + 1)}{5 - 1} = \frac{3120(\sqrt{5} + 1)}{4}$.

Сократим дробь:

$S_8 = 780(\sqrt{5} + 1)$.

Ответ: $780(\sqrt{5} + 1)$.

Помогло решение? Оставьте отзыв в комментариях ниже.

Присоединяйтесь к Телеграм-группе @gdz_by_belarus

Присоединиться

Мы подготовили для вас ответ c подробным объяснением домашего задания по алгебре за 9 класс, для упражнения номер 4.261 расположенного на странице 253 к учебнику 2019 года издания для учащихся школ и гимназий.

Теперь на нашем сайте ГДЗ.ТОП вы всегда легко и бесплатно найдёте условие с правильным ответом на вопрос «Как решить ДЗ» и «Как сделать» задание по алгебре к упражнению №4.261 (с. 253), авторов: Арефьева (Ирина Глебовна), Пирютко (Ольга Николаевна), учебного пособия издательства Народная асвета.