Номер 4.36, страница 211 - гдз по алгебре 9 класс учебник Арефьева, Пирютко

Алгебра, 9 класс Учебник, авторы: Арефьева Ирина Глебовна, Пирютко Ольга Николаевна, издательство Народная асвета, Минск, 2019, голубого цвета

Авторы: Арефьева И. Г., Пирютко О. Н.

Тип: Учебник

Издательство: Народная асвета

Год издания: 2019 - 2026

Цвет обложки: голубой, синий с графиком

ISBN: 978-985-03-3077-2

Допущено Министерством образования Республики Беларусь

Популярные ГДЗ в 9 классе

Глава 4. Прогрессии. Параграф 14. Числовая последовательность - номер 4.36, страница 211.

№4.36 (с. 211)
Условие. №4.36 (с. 211)
скриншот условия
Алгебра, 9 класс Учебник, авторы: Арефьева Ирина Глебовна, Пирютко Ольга Николаевна, издательство Народная асвета, Минск, 2019, голубого цвета, страница 211, номер 4.36, Условие

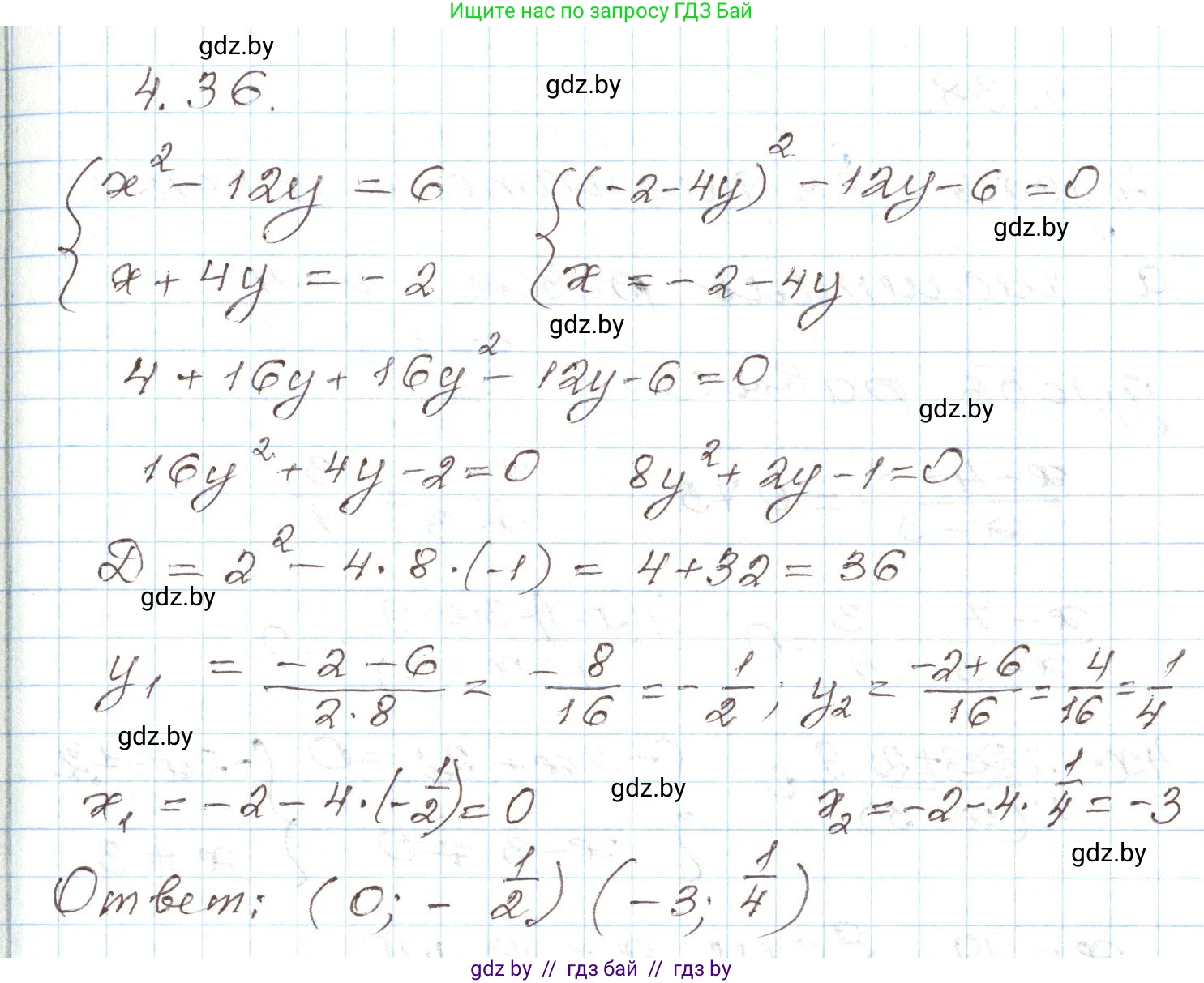
4.36. Решите систему уравнений $\begin{cases} x^2 - 12y = 6, \\ x + 4y = -2. \end{cases}$

Решение. №4.36 (с. 211)
Алгебра, 9 класс Учебник, авторы: Арефьева Ирина Глебовна, Пирютко Ольга Николаевна, издательство Народная асвета, Минск, 2019, голубого цвета, страница 211, номер 4.36, Решение
Решение 2. №4.36 (с. 211)

Для решения данной системы уравнений, состоящей из одного квадратного и одного линейного уравнения, применим метод подстановки.

Исходная система:

$$\begin{cases}x^2 - 12y = 6, \\x + 4y = -2.\end{cases}$$

Шаг 1: Выражение одной переменной через другую

Из второго, линейного, уравнения $x + 4y = -2$ можно выразить одну переменную через другую. Заметим, что в первом уравнении присутствует член $-12y$, который кратен $4y$. Это позволяет избежать дробных выражений. Выразим $4y$ из второго уравнения:

$4y = -x - 2$

Шаг 2: Подстановка в первое уравнение

Теперь выразим $12y$ через $x$, умножив полученное выражение на 3:

$12y = 3 \cdot (4y) = 3(-x - 2) = -3x - 6$

Подставим это выражение для $12y$ в первое уравнение системы $x^2 - 12y = 6$:

$x^2 - (-3x - 6) = 6$

Раскроем скобки:

$x^2 + 3x + 6 = 6$

Шаг 3: Решение полученного уравнения относительно $x$

Перенесем свободный член из правой части в левую:

$x^2 + 3x + 6 - 6 = 0$

$x^2 + 3x = 0$

Это неполное квадратное уравнение. Решим его, вынеся общий множитель $x$ за скобки:

$x(x + 3) = 0$

Произведение равно нулю, если хотя бы один из множителей равен нулю. Отсюда получаем два возможных значения для $x$:

$x_1 = 0$

или

$x + 3 = 0 \implies x_2 = -3$

Шаг 4: Нахождение соответствующих значений $y$

Теперь для каждого найденного значения $x$ найдем соответствующее значение $y$, используя выражение $4y = -x - 2$.

Для $x_1 = 0$:

$4y_1 = -0 - 2$

$4y_1 = -2$

$y_1 = \frac{-2}{4} = -\frac{1}{2}$

Таким образом, первая пара решений: $(0, -\frac{1}{2})$

Для $x_2 = -3$:

$4y_2 = -(-3) - 2$

$4y_2 = 3 - 2$

$4y_2 = 1$

$y_2 = \frac{1}{4}$

Таким образом, вторая пара решений: $(-3, \frac{1}{4})$

Шаг 5: Проверка и запись ответа

Проверим найденные решения. Для $(0, -1/2)$:$0^2 - 12(-1/2) = 0 + 6 = 6$ (верно)$0 + 4(-1/2) = -2$ (верно)
Для $(-3, 1/4)$:$(-3)^2 - 12(1/4) = 9 - 3 = 6$ (верно)$-3 + 4(1/4) = -3 + 1 = -2$ (верно)

Оба решения верны. Запишем итоговый ответ.

  • Первое решение: Ответ: $(0, -\frac{1}{2})$
  • Второе решение: Ответ: $(-3, \frac{1}{4})$

Помогло решение? Оставьте отзыв в комментариях ниже.

Присоединяйтесь к Телеграм-группе @gdz_by_belarus

Присоединиться

Мы подготовили для вас ответ c подробным объяснением домашего задания по алгебре за 9 класс, для упражнения номер 4.36 расположенного на странице 211 к учебнику 2019 года издания для учащихся школ и гимназий.

Теперь на нашем сайте ГДЗ.ТОП вы всегда легко и бесплатно найдёте условие с правильным ответом на вопрос «Как решить ДЗ» и «Как сделать» задание по алгебре к упражнению №4.36 (с. 211), авторов: Арефьева (Ирина Глебовна), Пирютко (Ольга Николаевна), учебного пособия издательства Народная асвета.