Номер 4.52, страница 218 - гдз по алгебре 9 класс учебник Арефьева, Пирютко

Алгебра, 9 класс Учебник, авторы: Арефьева Ирина Глебовна, Пирютко Ольга Николаевна, издательство Народная асвета, Минск, 2019, голубого цвета

Авторы: Арефьева И. Г., Пирютко О. Н.

Тип: Учебник

Издательство: Народная асвета

Год издания: 2019 - 2026

Цвет обложки: голубой, синий с графиком

ISBN: 978-985-03-3077-2

Допущено Министерством образования Республики Беларусь

Популярные ГДЗ в 9 классе

Глава 4. Прогрессии. Параграф 15. Арифметическая прогрессия - номер 4.52, страница 218.

№4.52 (с. 218)
Условие. №4.52 (с. 218)
скриншот условия
Алгебра, 9 класс Учебник, авторы: Арефьева Ирина Глебовна, Пирютко Ольга Николаевна, издательство Народная асвета, Минск, 2019, голубого цвета, страница 218, номер 4.52, Условие

4.52. Запишите формулу n-го члена и найдите $a_{10}$, $a_{21}$ и $a_{201}$ для арифметической прогрессии $(a_n)$:

а) -26; -21; -16; ...

б) 7,8; 7,1; 6,4; ...

в) $-\sqrt{2}$; $-\sqrt{2}$; $-\sqrt{2}$; ...

г) $\frac{1}{3}$; $\frac{2}{3}$; 1; ...

Решение. №4.52 (с. 218)
Алгебра, 9 класс Учебник, авторы: Арефьева Ирина Глебовна, Пирютко Ольга Николаевна, издательство Народная асвета, Минск, 2019, голубого цвета, страница 218, номер 4.52, Решение Алгебра, 9 класс Учебник, авторы: Арефьева Ирина Глебовна, Пирютко Ольга Николаевна, издательство Народная асвета, Минск, 2019, голубого цвета, страница 218, номер 4.52, Решение (продолжение 2)
Решение 2. №4.52 (с. 218)

Для решения задачи используется формула $n$-го члена арифметической прогрессии: $a_n = a_1 + (n-1)d$, где $a_1$ — первый член прогрессии, а $d$ — её разность.

а) Для арифметической прогрессии $-26; -21; -16; \dots$
Первый член $a_1 = -26$.
Разность прогрессии $d = a_2 - a_1 = -21 - (-26) = 5$.
Формула $n$-го члена имеет вид:
$a_n = -26 + (n-1) \cdot 5 = -26 + 5n - 5 = 5n - 31$.
Теперь найдем значения $a_{10}$, $a_{21}$ и $a_{201}$:
$a_{10} = 5 \cdot 10 - 31 = 50 - 31 = 19$.
$a_{21} = 5 \cdot 21 - 31 = 105 - 31 = 74$.
$a_{201} = 5 \cdot 201 - 31 = 1005 - 31 = 974$.
Ответ: формула $n$-го члена $a_n = 5n - 31$; $a_{10} = 19$, $a_{21} = 74$, $a_{201} = 974$.

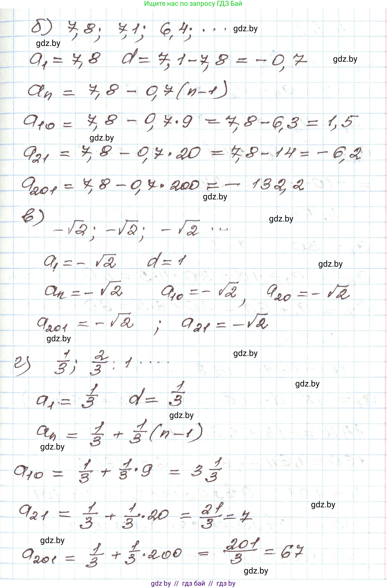
б) Для арифметической прогрессии $7,8; 7,1; 6,4; \dots$
Первый член $a_1 = 7,8$.
Разность прогрессии $d = a_2 - a_1 = 7,1 - 7,8 = -0,7$.
Формула $n$-го члена имеет вид:
$a_n = 7,8 + (n-1) \cdot (-0,7) = 7,8 - 0,7n + 0,7 = 8,5 - 0,7n$.
Теперь найдем значения $a_{10}$, $a_{21}$ и $a_{201}$:
$a_{10} = 8,5 - 0,7 \cdot 10 = 8,5 - 7 = 1,5$.
$a_{21} = 8,5 - 0,7 \cdot 21 = 8,5 - 14,7 = -6,2$.
$a_{201} = 8,5 - 0,7 \cdot 201 = 8,5 - 140,7 = -132,2$.
Ответ: формула $n$-го члена $a_n = 8,5 - 0,7n$; $a_{10} = 1,5$, $a_{21} = -6,2$, $a_{201} = -132,2$.

в) Для арифметической прогрессии $-\sqrt{2}; -\sqrt{2}; -\sqrt{2}; \dots$
Первый член $a_1 = -\sqrt{2}$.
Разность прогрессии $d = a_2 - a_1 = -\sqrt{2} - (-\sqrt{2}) = 0$.
Так как разность равна нулю, это стационарная последовательность.
Формула $n$-го члена имеет вид: $a_n = -\sqrt{2}$.
Все члены этой прогрессии равны первому члену:
$a_{10} = -\sqrt{2}$.
$a_{21} = -\sqrt{2}$.
$a_{201} = -\sqrt{2}$.
Ответ: формула $n$-го члена $a_n = -\sqrt{2}$; $a_{10} = -\sqrt{2}$, $a_{21} = -\sqrt{2}$, $a_{201} = -\sqrt{2}$.

г) Для арифметической прогрессии $\frac{1}{3}; \frac{2}{3}; 1; \dots$
Первый член $a_1 = \frac{1}{3}$.
Разность прогрессии $d = a_2 - a_1 = \frac{2}{3} - \frac{1}{3} = \frac{1}{3}$.
Формула $n$-го члена имеет вид:
$a_n = \frac{1}{3} + (n-1) \cdot \frac{1}{3} = \frac{1 + n - 1}{3} = \frac{n}{3}$.
Теперь найдем значения $a_{10}$, $a_{21}$ и $a_{201}$:
$a_{10} = \frac{10}{3} = 3\frac{1}{3}$.
$a_{21} = \frac{21}{3} = 7$.
$a_{201} = \frac{201}{3} = 67$.
Ответ: формула $n$-го члена $a_n = \frac{n}{3}$; $a_{10} = \mathbf{3}\frac{1}{3}$, $a_{21} = 7$, $a_{201} = 67$.

Помогло решение? Оставьте отзыв в комментариях ниже.

Присоединяйтесь к Телеграм-группе @gdz_by_belarus

Присоединиться

Мы подготовили для вас ответ c подробным объяснением домашего задания по алгебре за 9 класс, для упражнения номер 4.52 расположенного на странице 218 к учебнику 2019 года издания для учащихся школ и гимназий.

Теперь на нашем сайте ГДЗ.ТОП вы всегда легко и бесплатно найдёте условие с правильным ответом на вопрос «Как решить ДЗ» и «Как сделать» задание по алгебре к упражнению №4.52 (с. 218), авторов: Арефьева (Ирина Глебовна), Пирютко (Ольга Николаевна), учебного пособия издательства Народная асвета.