Номер 4.72, страница 220 - гдз по алгебре 9 класс учебник Арефьева, Пирютко

Алгебра, 9 класс Учебник, авторы: Арефьева Ирина Глебовна, Пирютко Ольга Николаевна, издательство Народная асвета, Минск, 2019, голубого цвета

Авторы: Арефьева И. Г., Пирютко О. Н.

Тип: Учебник

Издательство: Народная асвета

Год издания: 2019 - 2026

Цвет обложки: голубой, синий с графиком

ISBN: 978-985-03-3077-2

Допущено Министерством образования Республики Беларусь

Популярные ГДЗ в 9 классе

Глава 4. Прогрессии. Параграф 15. Арифметическая прогрессия - номер 4.72, страница 220.

№4.72 (с. 220)
Условие. №4.72 (с. 220)
скриншот условия
Алгебра, 9 класс Учебник, авторы: Арефьева Ирина Глебовна, Пирютко Ольга Николаевна, издательство Народная асвета, Минск, 2019, голубого цвета, страница 220, номер 4.72, Условие

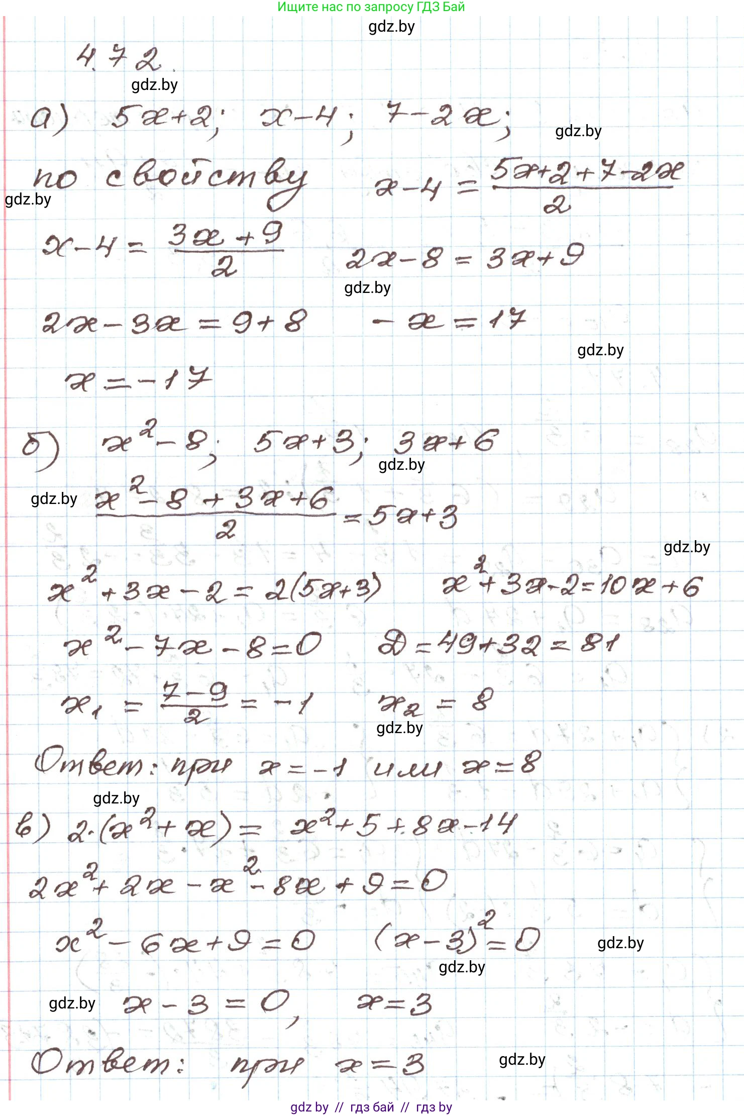
4.72. Найдите, при каком значении переменной значения выражений будут являться последовательными членами арифметической прогрессии:

а) $5x + 2$; $x - 4$ и $7 - 2x$;

б) $x^2 - 8$; $5x + 3$ и $3x + 6$;

в) $x^2 + 5$; $x^2 + x$ и $8x - 14$.

Решение. №4.72 (с. 220)
Алгебра, 9 класс Учебник, авторы: Арефьева Ирина Глебовна, Пирютко Ольга Николаевна, издательство Народная асвета, Минск, 2019, голубого цвета, страница 220, номер 4.72, Решение
Решение 2. №4.72 (с. 220)

Для того чтобы три выражения являлись последовательными членами арифметической прогрессии, необходимо, чтобы средний член был равен среднему арифметическому двух крайних. Если обозначить выражения как $a_1$, $a_2$ и $a_3$, то должно выполняться характеристическое свойство арифметической прогрессии:

$a_2 = \frac{a_1 + a_3}{2}$ или, что то же самое, $2a_2 = a_1 + a_3$.

Применим это свойство для каждого из подпунктов.

а) $5x+2; x-4$ и $7-2x$

Обозначим члены прогрессии: $a_1 = 5x+2$, $a_2 = x-4$ и $a_3 = 7-2x$.
Составим уравнение, используя свойство арифметической прогрессии:$2 \cdot (x-4) = (5x+2) + (7-2x)$
Раскроем скобки и упростим выражение:$2x - 8 = 5x + 2 + 7 - 2x$
$2x - 8 = 3x + 9$
Перенесем слагаемые с переменной $x$ в одну сторону, а числовые слагаемые — в другую:$2x - 3x = 9 + 8$
$-x = 17$
$x = -17$
Проверим: при $x = -17$ выражения принимают значения $5(-17)+2 = -83$, $-17-4 = -21$, $7-2(-17)=41$. Это арифметическая прогрессия с разностью $d = -21 - (-83) = 62$.

Ответ: -17.

б) $x^2-8; 5x+3$ и $3x+6$

Обозначим члены прогрессии: $a_1 = x^2-8$, $a_2 = 5x+3$ и $a_3 = 3x+6$.
Составим уравнение:$2 \cdot (5x+3) = (x^2-8) + (3x+6)$
Раскроем скобки и упростим:$10x + 6 = x^2 - 8 + 3x + 6$
$10x + 6 = x^2 + 3x - 2$
Приведем уравнение к стандартному квадратному виду $ax^2+bx+c=0$:$x^2 + 3x - 10x - 2 - 6 = 0$
$x^2 - 7x - 8 = 0$
Решим полученное квадратное уравнение с помощью дискриминанта:$D = b^2 - 4ac = (-7)^2 - 4 \cdot 1 \cdot (-8) = 49 + 32 = 81$
$x_{1,2} = \frac{-b \pm \sqrt{D}}{2a} = \frac{7 \pm \sqrt{81}}{2 \cdot 1} = \frac{7 \pm 9}{2}$
$x_1 = \frac{7+9}{2} = \frac{16}{2} = 8$
$x_2 = \frac{7-9}{2} = \frac{-2}{2} = -1$
Оба значения являются решениями.

Ответ: -1; 8.

в) $x^2+5; x^2+x$ и $8x-14$

Обозначим члены прогрессии: $a_1 = x^2+5$, $a_2 = x^2+x$ и $a_3 = 8x-14$.
Составим уравнение:$2 \cdot (x^2+x) = (x^2+5) + (8x-14)$
Раскроем скобки и упростим:$2x^2 + 2x = x^2 + 5 + 8x - 14$
$2x^2 + 2x = x^2 + 8x - 9$
Приведем уравнение к стандартному квадратному виду:$2x^2 - x^2 + 2x - 8x + 9 = 0$
$x^2 - 6x + 9 = 0$
Это уравнение является полным квадратом разности:$(x-3)^2 = 0$
Следовательно, уравнение имеет один корень:$x - 3 = 0$
$x = 3$
Проверим: при $x=3$ выражения принимают значения $3^2+5=14$, $3^2+3=12$, $8(3)-14=10$. Это арифметическая прогрессия с разностью $d = -2$.

Ответ: 3.

Помогло решение? Оставьте отзыв в комментариях ниже.

Присоединяйтесь к Телеграм-группе @gdz_by_belarus

Присоединиться

Мы подготовили для вас ответ c подробным объяснением домашего задания по алгебре за 9 класс, для упражнения номер 4.72 расположенного на странице 220 к учебнику 2019 года издания для учащихся школ и гимназий.

Теперь на нашем сайте ГДЗ.ТОП вы всегда легко и бесплатно найдёте условие с правильным ответом на вопрос «Как решить ДЗ» и «Как сделать» задание по алгебре к упражнению №4.72 (с. 220), авторов: Арефьева (Ирина Глебовна), Пирютко (Ольга Николаевна), учебного пособия издательства Народная асвета.