Номер 4.8, страница 208 - гдз по алгебре 9 класс учебник Арефьева, Пирютко

Алгебра, 9 класс Учебник, авторы: Арефьева Ирина Глебовна, Пирютко Ольга Николаевна, издательство Народная асвета, Минск, 2019, голубого цвета

Авторы: Арефьева И. Г., Пирютко О. Н.

Тип: Учебник

Издательство: Народная асвета

Год издания: 2019 - 2026

Цвет обложки: голубой, синий с графиком

ISBN: 978-985-03-3077-2

Допущено Министерством образования Республики Беларусь

Популярные ГДЗ в 9 классе

Глава 4. Прогрессии. Параграф 14. Числовая последовательность - номер 4.8, страница 208.

№4.8 (с. 208)
Условие. №4.8 (с. 208)
скриншот условия
Алгебра, 9 класс Учебник, авторы: Арефьева Ирина Глебовна, Пирютко Ольга Николаевна, издательство Народная асвета, Минск, 2019, голубого цвета, страница 208, номер 4.8, Условие

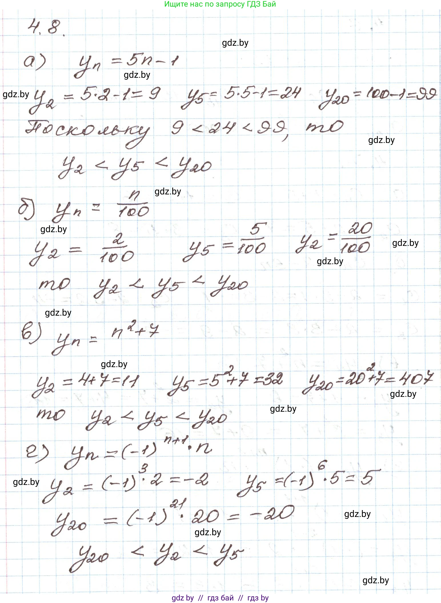
4.8. Сравните второй, пятый и двадцатый члены последовательности $(y_n)$, заданной формулой $n$-го члена:

а) $y_n = 5n - 1;$

б) $y_n = \frac{n}{100};$

в) $y_n = n^2 + 7;$

г) $y_n = (-1)^{n+1} \cdot n.$

Решение. №4.8 (с. 208)
Алгебра, 9 класс Учебник, авторы: Арефьева Ирина Глебовна, Пирютко Ольга Николаевна, издательство Народная асвета, Минск, 2019, голубого цвета, страница 208, номер 4.8, Решение
Решение 2. №4.8 (с. 208)

Чтобы сравнить второй, пятый и двадцатый члены последовательности, необходимо вычислить их значения, подставив в формулу $n$-го члена соответствующие номера $n=2$, $n=5$ и $n=20$.

а) Для последовательности, заданной формулой $y_n = 5n - 1$:

  • Второй член ($n=2$): $y_2 = 5 \cdot 2 - 1 = 10 - 1 = 9$
  • Пятый член ($n=5$): $y_5 = 5 \cdot 5 - 1 = 25 - 1 = 24$
  • Двадцатый член ($n=20$): $y_{20} = 5 \cdot 20 - 1 = 100 - 1 = 99$

Сравниваем полученные значения: $9 < 24 < 99$.
Следовательно, $y_2 < y_5 < y_{20}$.

Ответ: $y_2 < y_5 < y_{20}$.

б) Для последовательности, заданной формулой $y_n = \frac{n}{100}$:

  • Второй член ($n=2$): $y_2 = \frac{2}{100} = 0,02$
  • Пятый член ($n=5$): $y_5 = \frac{5}{100} = 0,05$
  • Двадцатый член ($n=20$): $y_{20} = \frac{20}{100} = \frac{1}{5} = 0,2$

Сравниваем полученные значения: $0,02 < 0,05 < 0,2$.
Следовательно, $y_2 < y_5 < y_{20}$.

Ответ: $y_2 < y_5 < y_{20}$.

в) Для последовательности, заданной формулой $y_n = n^2 + 7$:

  • Второй член ($n=2$): $y_2 = 2^2 + 7 = 4 + 7 = 11$
  • Пятый член ($n=5$): $y_5 = 5^2 + 7 = 25 + 7 = 32$
  • Двадцатый член ($n=20$): $y_{20} = 20^2 + 7 = 400 + 7 = 407$

Сравниваем полученные значения: $11 < 32 < 407$.
Следовательно, $y_2 < y_5 < y_{20}$.

Ответ: $y_2 < y_5 < y_{20}$.

г) Для последовательности, заданной формулой $y_n = (-1)^{n+1} \cdot n$:

  • Второй член ($n=2$): $y_2 = (-1)^{2+1} \cdot 2 = (-1)^3 \cdot 2 = -1 \cdot 2 = -2$
  • Пятый член ($n=5$): $y_5 = (-1)^{5+1} \cdot 5 = (-1)^6 \cdot 5 = 1 \cdot 5 = 5$
  • Двадцатый член ($n=20$): $y_{20} = (-1)^{20+1} \cdot 20 = (-1)^{21} \cdot 20 = -1 \cdot 20 = -20$

Сравниваем полученные значения: $-20 < -2 < 5$.
Следовательно, $y_{20} < y_2 < y_5$.

Ответ: $y_{20} < y_2 < y_5$.

Помогло решение? Оставьте отзыв в комментариях ниже.

Присоединяйтесь к Телеграм-группе @gdz_by_belarus

Присоединиться

Мы подготовили для вас ответ c подробным объяснением домашего задания по алгебре за 9 класс, для упражнения номер 4.8 расположенного на странице 208 к учебнику 2019 года издания для учащихся школ и гимназий.

Теперь на нашем сайте ГДЗ.ТОП вы всегда легко и бесплатно найдёте условие с правильным ответом на вопрос «Как решить ДЗ» и «Как сделать» задание по алгебре к упражнению №4.8 (с. 208), авторов: Арефьева (Ирина Глебовна), Пирютко (Ольга Николаевна), учебного пособия издательства Народная асвета.