Номер 4.89, страница 222 - гдз по алгебре 9 класс учебник Арефьева, Пирютко

Алгебра, 9 класс Учебник, авторы: Арефьева Ирина Глебовна, Пирютко Ольга Николаевна, издательство Народная асвета, Минск, 2019, голубого цвета

Авторы: Арефьева И. Г., Пирютко О. Н.

Тип: Учебник

Издательство: Народная асвета

Год издания: 2019 - 2026

Цвет обложки: голубой, синий с графиком

ISBN: 978-985-03-3077-2

Допущено Министерством образования Республики Беларусь

Популярные ГДЗ в 9 классе

Глава 4. Прогрессии. Параграф 15. Арифметическая прогрессия - номер 4.89, страница 222.

№4.89 (с. 222)
Условие. №4.89 (с. 222)
скриншот условия
Алгебра, 9 класс Учебник, авторы: Арефьева Ирина Глебовна, Пирютко Ольга Николаевна, издательство Народная асвета, Минск, 2019, голубого цвета, страница 222, номер 4.89, Условие

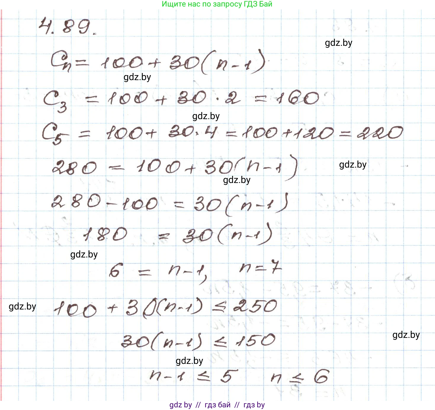
4.89. Турист планирует взять напрокат автомобиль. Стоимость проката включает оплату за первые сутки (100 р.) и оплату за каждые следующие сутки проката (30 р.).

Сколько нужно будет заплатить за автомобиль, взятый напрокат на 3 суток; на 5 суток?

На 3 суток: $100 + (3 - 1) \times 30$

На 5 суток: $100 + (5 - 1) \times 30$

Сколько суток пользовался автомобилем турист, заплативший за прокат 280 р.?

$1 + (280 - 100) / 30$

На сколько суток может взять автомобиль напрокат турист, рассчитывающий потратить на это не более 250 р.?

$100 + (D - 1) \times 30 \le 250$

Решение. №4.89 (с. 222)
Алгебра, 9 класс Учебник, авторы: Арефьева Ирина Глебовна, Пирютко Ольга Николаевна, издательство Народная асвета, Минск, 2019, голубого цвета, страница 222, номер 4.89, Решение
Решение 2. №4.89 (с. 222)

Сколько нужно будет заплатить за автомобиль, взятый напрокат на 3 суток;

Стоимость проката на 3 суток складывается из стоимости первых суток (100 р.) и стоимости последующих $3 - 1 = 2$ суток по 30 р. за каждые.

Общая стоимость рассчитывается по формуле:

$100 + 2 \times 30 = 100 + 60 = 160$ р.

Ответ: 160 р.

на 5 суток?

Стоимость проката на 5 суток складывается из стоимости первых суток (100 р.) и стоимости последующих $5 - 1 = 4$ суток по 30 р. за каждые.

Общая стоимость рассчитывается по формуле:

$100 + 4 \times 30 = 100 + 120 = 220$ р.

Ответ: 220 р.

Сколько суток пользовался автомобилем турист, заплативший за прокат 280 р.?

1. Сначала вычтем из общей суммы стоимость первых суток, чтобы узнать, сколько было заплачено за все последующие дни: $280 - 100 = 180$ р.

2. Теперь найдем количество этих последующих дней, разделив полученную сумму на стоимость одних суток (30 р.). Получаем неправильную дробь $\frac{180}{30}$. Выделим из нее целую часть: $\frac{180}{30} = 6$. Таким образом, количество последующих суток равно 6.

3. Общее количество суток проката равно сумме первых суток и всех последующих: $1 + 6 = 7$ суток.

Ответ: 7 суток.

На сколько суток может взять автомобиль напрокат турист, рассчитывающий потратить на это не более 250 р.?

1. Определим, какая сумма остается на оплату последующих суток после оплаты первого дня: $250 - 100 = 150$ р.

2. Найдем максимальное количество последующих суток, которое можно оплатить на оставшуюся сумму. Для этого разделим ее на стоимость одних суток (30 р.). Получаем неправильную дробь $\frac{150}{30}$. Так как оплата производится за полные сутки, нужно выделить целую часть из этой дроби: $\frac{150}{30} = 5$. Это означает, что турист может оплатить еще 5 полных суток.

3. Общее максимальное количество суток проката, которое может позволить себе турист: $1 \text{ (первые сутки)} + 5 \text{ (последующих)} = 6$ суток.

Ответ: 6 суток.

Помогло решение? Оставьте отзыв в комментариях ниже.

Присоединяйтесь к Телеграм-группе @gdz_by_belarus

Присоединиться

Мы подготовили для вас ответ c подробным объяснением домашего задания по алгебре за 9 класс, для упражнения номер 4.89 расположенного на странице 222 к учебнику 2019 года издания для учащихся школ и гимназий.

Теперь на нашем сайте ГДЗ.ТОП вы всегда легко и бесплатно найдёте условие с правильным ответом на вопрос «Как решить ДЗ» и «Как сделать» задание по алгебре к упражнению №4.89 (с. 222), авторов: Арефьева (Ирина Глебовна), Пирютко (Ольга Николаевна), учебного пособия издательства Народная асвета.