Номер 115, страница 275 - гдз по алгебре 9 класс учебник Арефьева, Пирютко

Алгебра, 9 класс Учебник, авторы: Арефьева Ирина Глебовна, Пирютко Ольга Николаевна, издательство Народная асвета, Минск, 2019, голубого цвета

Авторы: Арефьева И. Г., Пирютко О. Н.

Тип: Учебник

Издательство: Народная асвета

Год издания: 2019 - 2026

Цвет обложки: голубой, синий с графиком

ISBN: 978-985-03-3077-2

Допущено Министерством образования Республики Беларусь

Популярные ГДЗ в 9 классе

Итоговое повторение. Выражения и их преобразования - номер 115, страница 275.

№115 (с. 275)
Условие. №115 (с. 275)
скриншот условия
Алгебра, 9 класс Учебник, авторы: Арефьева Ирина Глебовна, Пирютко Ольга Николаевна, издательство Народная асвета, Минск, 2019, голубого цвета, страница 275, номер 115, Условие

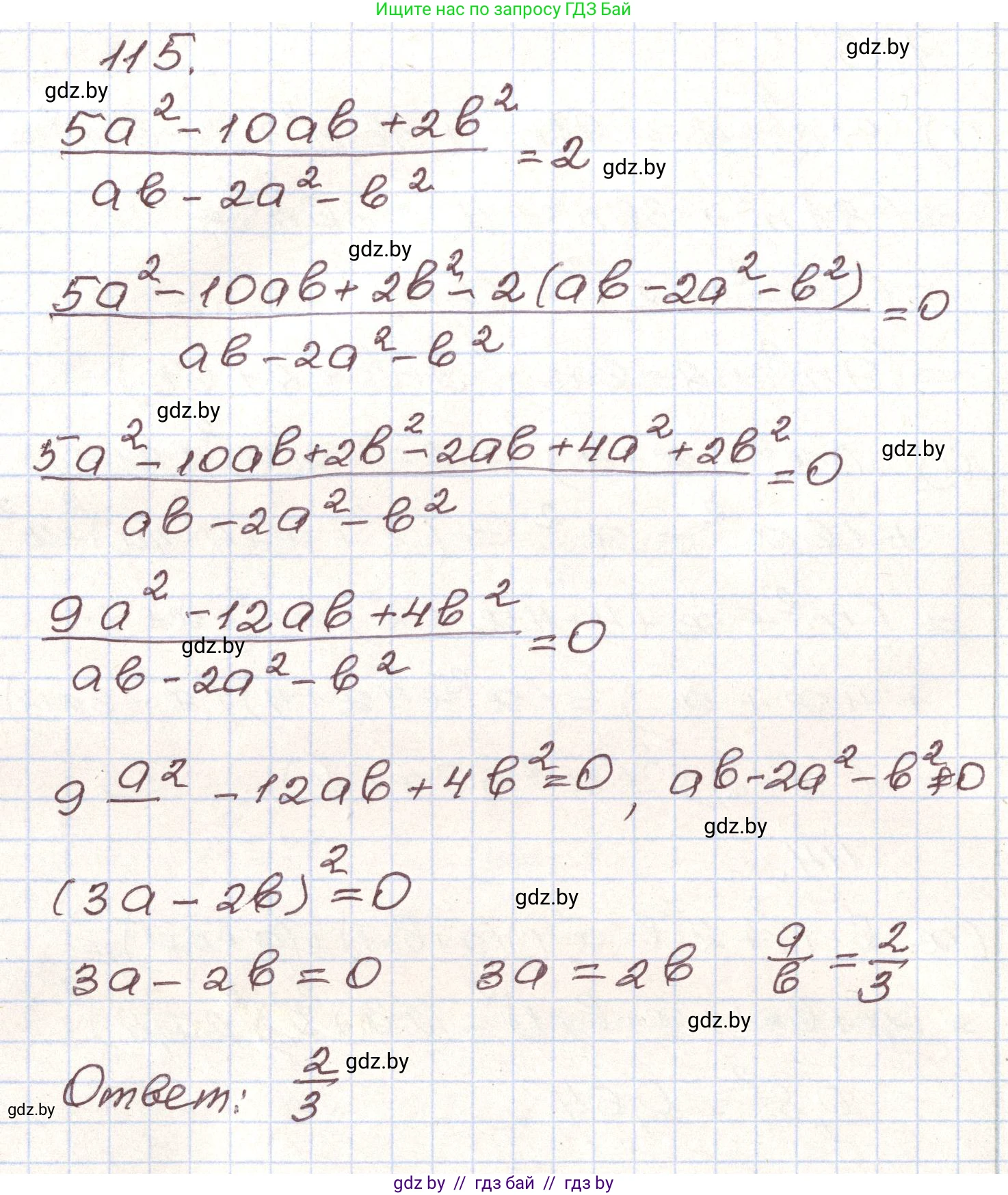
115*. Вычислите значение дроби $ \frac{a}{b} $, если $ \frac{5a^2 - 10ab + 2b^2}{ab - 2a^2 - b^2} = 2. $

Решение. №115 (с. 275)
Алгебра, 9 класс Учебник, авторы: Арефьева Ирина Глебовна, Пирютко Ольга Николаевна, издательство Народная асвета, Минск, 2019, голубого цвета, страница 275, номер 115, Решение
Решение 2. №115 (с. 275)

Для нахождения значения дроби $\frac{a}{b}$ преобразуем данное в условии уравнение.

Исходное уравнение:

$$ \frac{5a^2 - 10ab + 2b^2}{ab - 2a^2 - b^2} = 2 $$

Чтобы избавиться от дроби, умножим обе части уравнения на знаменатель $ab - 2a^2 - b^2$, при условии, что он не равен нулю.

$$ 5a^2 - 10ab + 2b^2 = 2(ab - 2a^2 - b^2) $$

Раскроем скобки в правой части уравнения:

$$ 5a^2 - 10ab + 2b^2 = 2ab - 4a^2 - 2b^2 $$

Перенесем все слагаемые из правой части в левую, изменив их знаки на противоположные, и приведем подобные слагаемые:

$$ 5a^2 - 10ab + 2b^2 - 2ab + 4a^2 + 2b^2 = 0 $$

$$ (5a^2 + 4a^2) + (-10ab - 2ab) + (2b^2 + 2b^2) = 0 $$

$$ 9a^2 - 12ab + 4b^2 = 0 $$

Мы получили однородное уравнение второй степени. Левая часть этого уравнения является полным квадратом разности. Убедимся в этом, используя формулу $(x-y)^2 = x^2 - 2xy + y^2$.

В нашем случае $x = 3a$ и $y = 2b$:

$$ (3a)^2 - 2 \cdot (3a) \cdot (2b) + (2b)^2 = 9a^2 - 12ab + 4b^2 $$

Таким образом, наше уравнение можно свернуть в квадрат разности:

$$ (3a - 2b)^2 = 0 $$

Если квадрат выражения равен нулю, то и само выражение равно нулю:

$$ 3a - 2b = 0 $$

Перенесем $2b$ в правую часть:

$$ 3a = 2b $$

Чтобы найти искомое значение дроби $\frac{a}{b}$, разделим обе части равенства на $3b$ (это возможно, так как если $b=0$, то и $a=0$, а это привело бы к неопределенности в знаменателе исходной дроби).

$$ \frac{3a}{3b} = \frac{2b}{3b} $$

$$ \frac{a}{b} = \frac{2}{3} $$

Ответ: $\frac{2}{3}$.

Помогло решение? Оставьте отзыв в комментариях ниже.

Присоединяйтесь к Телеграм-группе @gdz_by_belarus

Присоединиться

Мы подготовили для вас ответ c подробным объяснением домашего задания по алгебре за 9 класс, для упражнения номер 115 расположенного на странице 275 к учебнику 2019 года издания для учащихся школ и гимназий.

Теперь на нашем сайте ГДЗ.ТОП вы всегда легко и бесплатно найдёте условие с правильным ответом на вопрос «Как решить ДЗ» и «Как сделать» задание по алгебре к упражнению №115 (с. 275), авторов: Арефьева (Ирина Глебовна), Пирютко (Ольга Николаевна), учебного пособия издательства Народная асвета.