Номер 162, страница 279 - гдз по алгебре 9 класс учебник Арефьева, Пирютко

Алгебра, 9 класс Учебник, авторы: Арефьева Ирина Глебовна, Пирютко Ольга Николаевна, издательство Народная асвета, Минск, 2019, голубого цвета

Авторы: Арефьева И. Г., Пирютко О. Н.

Тип: Учебник

Издательство: Народная асвета

Год издания: 2019 - 2026

Цвет обложки: голубой, синий с графиком

ISBN: 978-985-03-3077-2

Допущено Министерством образования Республики Беларусь

Популярные ГДЗ в 9 классе

Итоговое повторение. Выражения и их преобразования - номер 162, страница 279.

№162 (с. 279)
Условие. №162 (с. 279)
скриншот условия
Алгебра, 9 класс Учебник, авторы: Арефьева Ирина Глебовна, Пирютко Ольга Николаевна, издательство Народная асвета, Минск, 2019, голубого цвета, страница 279, номер 162, Условие

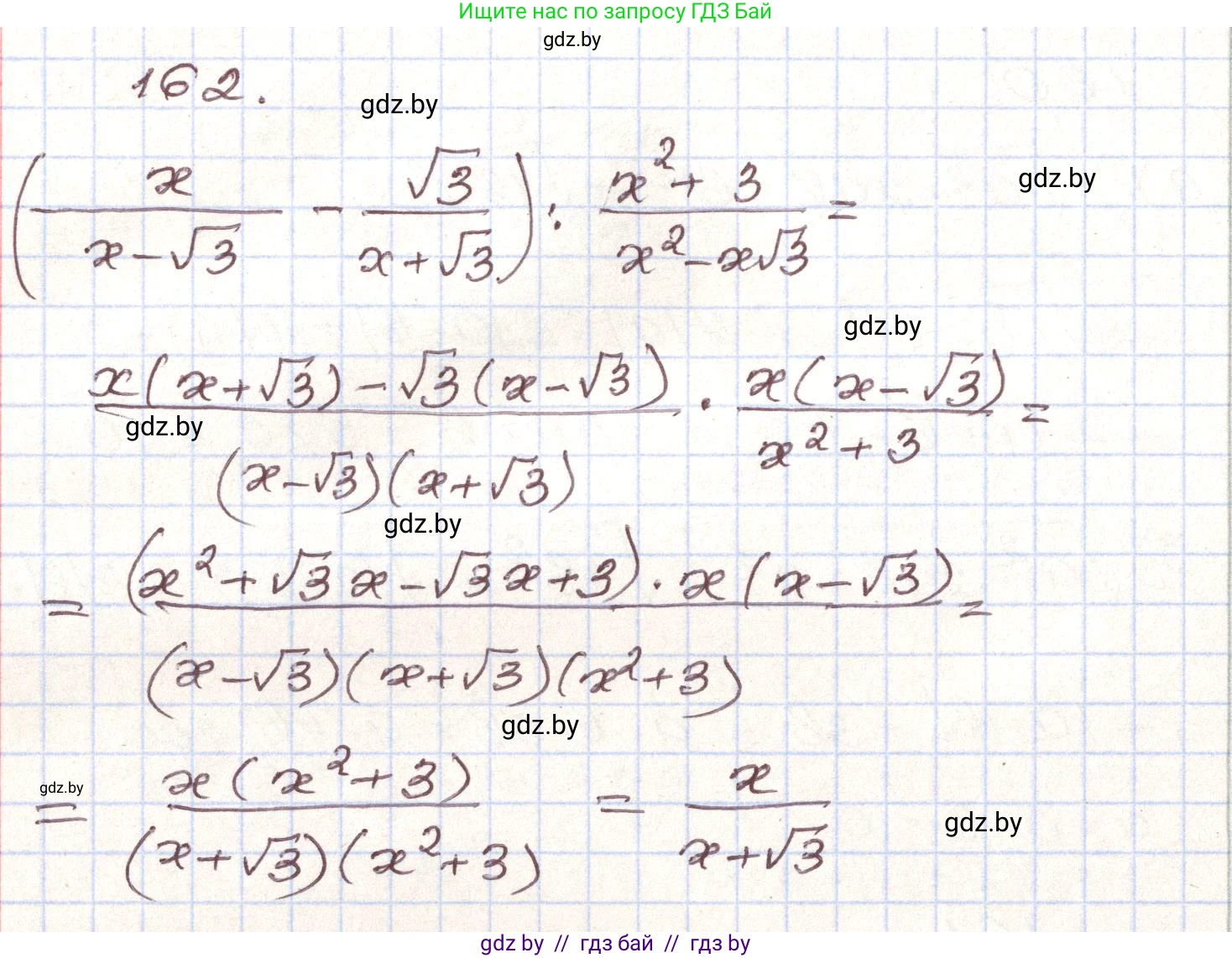
162*. Упростите выражение $\left(\frac{x}{x-\sqrt{3}} - \frac{\sqrt{3}}{x+\sqrt{3}}\right) : \frac{x^2+3}{x^2-x\sqrt{3}}$

Решение. №162 (с. 279)
Алгебра, 9 класс Учебник, авторы: Арефьева Ирина Глебовна, Пирютко Ольга Николаевна, издательство Народная асвета, Минск, 2019, голубого цвета, страница 279, номер 162, Решение
Решение 2. №162 (с. 279)

Для упрощения выражения выполним действия по порядку. Сначала преобразуем выражение в скобках, затем выполним деление.

1. Преобразование выражения в скобках.

Приведем дроби к общему знаменателю. Общий знаменатель для дробей $\frac{x}{x-\sqrt{3}}$ и $\frac{\sqrt{3}}{x+\sqrt{3}}$ равен $(x-\sqrt{3})(x+\sqrt{3})$. Используя формулу разности квадратов $(a-b)(a+b) = a^2 - b^2$, получаем:

$$(x-\sqrt{3})(x+\sqrt{3}) = x^2 - (\sqrt{3})^2 = x^2 - 3$$

Теперь выполним вычитание дробей:

$$\frac{x}{x-\sqrt{3}} - \frac{\sqrt{3}}{x+\sqrt{3}} = \frac{x(x+\sqrt{3}) - \sqrt{3}(x-\sqrt{3})}{(x-\sqrt{3})(x+\sqrt{3})}$$

Раскроем скобки в числителе:

$$\frac{x^2 + x\sqrt{3} - x\sqrt{3} + (\sqrt{3})^2}{x^2-3} = \frac{x^2 + 3}{x^2-3}$$

2. Выполнение деления.

Теперь исходное выражение можно записать в виде:

$$\frac{x^2+3}{x^2-3} : \frac{x^2+3}{x^2-x\sqrt{3}}$$

Чтобы разделить одну дробь на другую, нужно первую дробь умножить на дробь, обратную второй:

$$\frac{x^2+3}{x^2-3} \cdot \frac{x^2-x\sqrt{3}}{x^2+3}$$

Сократим общий множитель $(x^2+3)$:

$$\frac{x^2-x\sqrt{3}}{x^2-3}$$

Разложим на множители числитель и знаменатель полученной дроби. В числителе вынесем $x$ за скобки, а в знаменателе применим формулу разности квадратов:

$$\frac{x(x-\sqrt{3})}{(x-\sqrt{3})(x+\sqrt{3})}$$

Сократим общий множитель $(x-\sqrt{3})$:

$$\frac{x}{x+\sqrt{3}}$$

Ответ: $$\frac{x}{x+\sqrt{3}}$$

Помогло решение? Оставьте отзыв в комментариях ниже.

Присоединяйтесь к Телеграм-группе @gdz_by_belarus

Присоединиться

Мы подготовили для вас ответ c подробным объяснением домашего задания по алгебре за 9 класс, для упражнения номер 162 расположенного на странице 279 к учебнику 2019 года издания для учащихся школ и гимназий.

Теперь на нашем сайте ГДЗ.ТОП вы всегда легко и бесплатно найдёте условие с правильным ответом на вопрос «Как решить ДЗ» и «Как сделать» задание по алгебре к упражнению №162 (с. 279), авторов: Арефьева (Ирина Глебовна), Пирютко (Ольга Николаевна), учебного пособия издательства Народная асвета.