Номер 173, страница 280 - гдз по алгебре 9 класс учебник Арефьева, Пирютко

Алгебра, 9 класс Учебник, авторы: Арефьева Ирина Глебовна, Пирютко Ольга Николаевна, издательство Народная асвета, Минск, 2019, голубого цвета

Авторы: Арефьева И. Г., Пирютко О. Н.

Тип: Учебник

Издательство: Народная асвета

Год издания: 2019 - 2026

Цвет обложки: голубой, синий с графиком

ISBN: 978-985-03-3077-2

Допущено Министерством образования Республики Беларусь

Популярные ГДЗ в 9 классе

Итоговое повторение. Выражения и их преобразования - номер 173, страница 280.

№173 (с. 280)
Условие. №173 (с. 280)
скриншот условия
Алгебра, 9 класс Учебник, авторы: Арефьева Ирина Глебовна, Пирютко Ольга Николаевна, издательство Народная асвета, Минск, 2019, голубого цвета, страница 280, номер 173, Условие

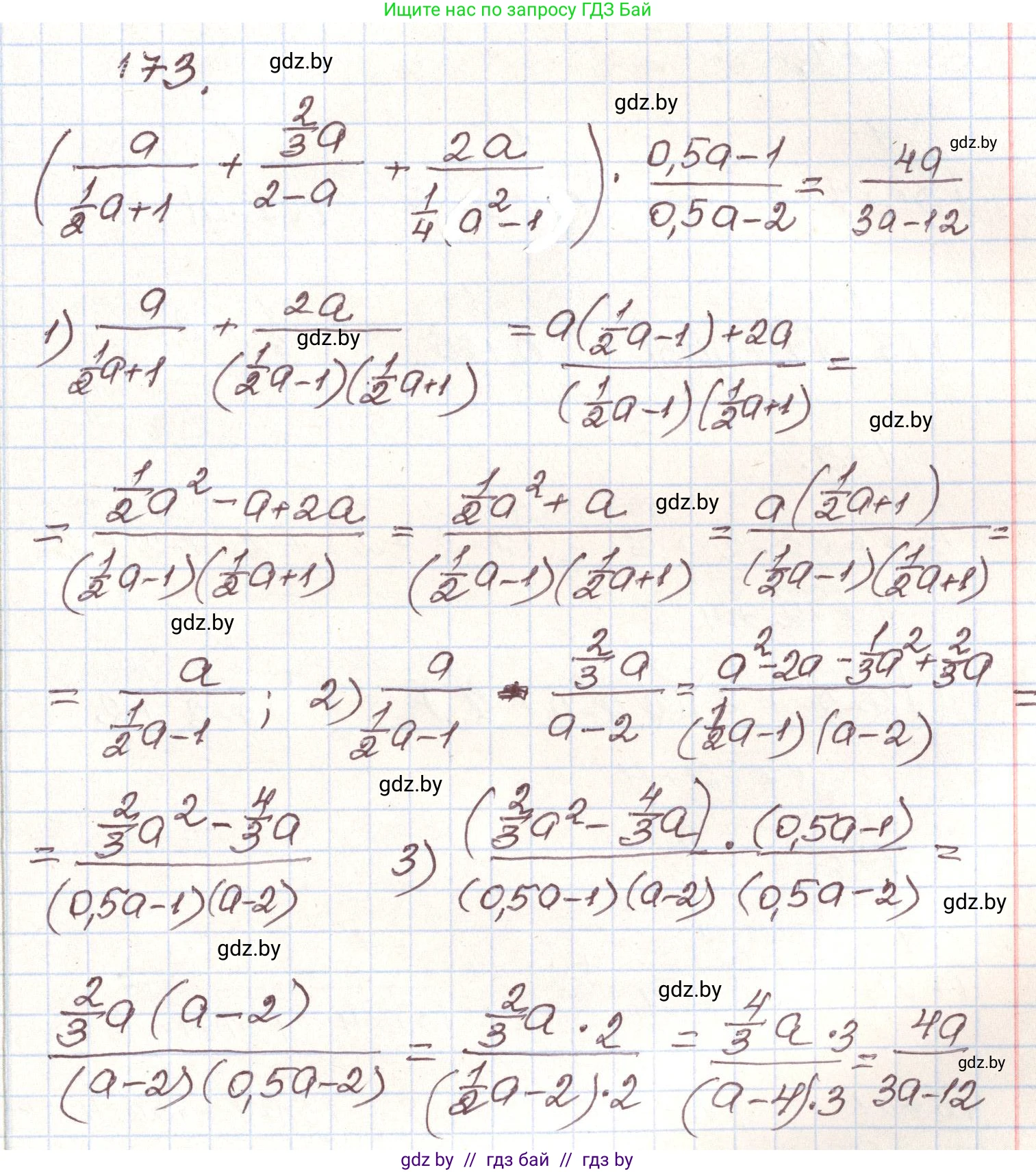
173*. Упростите выражение

$\left( \frac{a}{0.5a + 1} + \frac{\frac{2}{3}a}{2 - a} + \frac{2a}{\frac{1}{4}a^2 - 1} \right) \cdot \frac{0.5a - 1}{0.5a - 2}.$

Решение. №173 (с. 280)
Алгебра, 9 класс Учебник, авторы: Арефьева Ирина Глебовна, Пирютко Ольга Николаевна, издательство Народная асвета, Минск, 2019, голубого цвета, страница 280, номер 173, Решение
Решение 2. №173 (с. 280)

Для упрощения данного выражения выполним действия по шагам.

1. Сначала преобразуем знаменатели дробей в скобках и множитель, на который производится умножение. Для этого представим десятичные дроби в виде обыкновенных и применим формулу разности квадратов $a^2 - b^2 = (a-b)(a+b)$.

  • $0,5a+1 = \frac{1}{2}a+1 = \frac{a+2}{2}$
  • $\frac{1}{4}a^2-1 = (\frac{1}{2}a)^2-1^2 = (\frac{1}{2}a-1)(\frac{1}{2}a+1) = \frac{a-2}{2}\cdot\frac{a+2}{2} = \frac{(a-2)(a+2)}{4}$
  • $\frac{0,5a-1}{0,5a-2} = \frac{\frac{1}{2}a-1}{\frac{1}{2}a-2} = \frac{\frac{a-2}{2}}{\frac{a-4}{2}} = \frac{a-2}{a-4}$

2. Подставим преобразованные выражения обратно в исходное выражение и выполним действия в скобках. Сначала упростим получившиеся многоэтажные дроби:

$$ \left( \frac{a}{\frac{a+2}{2}} + \frac{\frac{2}{3}a}{2-a} + \frac{2a}{\frac{(a-2)(a+2)}{4}} \right) = \left( \frac{2a}{a+2} + \frac{2a}{3(2-a)} + \frac{8a}{(a-2)(a+2)} \right) $$

Приведем дроби к общему знаменателю. Для этого изменим знак в знаменателе второй дроби: $2-a = -(a-2)$. Это изменит знак перед дробью.

$$ \frac{2a}{a+2} - \frac{2a}{3(a-2)} + \frac{8a}{(a-2)(a+2)} $$

Общий знаменатель для дробей в скобках равен $3(a-2)(a+2)$. Приведем дроби к этому знаменателю:

$$ \frac{2a \cdot 3(a-2)}{3(a-2)(a+2)} - \frac{2a \cdot (a+2)}{3(a-2)(a+2)} + \frac{8a \cdot 3}{3(a-2)(a+2)} = \frac{6a(a-2) - 2a(a+2) + 24a}{3(a-2)(a+2)} $$

Раскроем скобки в числителе и приведем подобные слагаемые:

$$ \frac{6a^2 - 12a - (2a^2 + 4a) + 24a}{3(a-2)(a+2)} = \frac{6a^2 - 12a - 2a^2 - 4a + 24a}{3(a-2)(a+2)} = \frac{4a^2 + 8a}{3(a-2)(a+2)} $$

Вынесем общий множитель $4a$ в числителе за скобки и сократим дробь на $(a+2)$:

$$ \frac{4a(a+2)}{3(a-2)(a+2)} = \frac{4a}{3(a-2)} $$

3. Теперь умножим результат, полученный в скобках, на вторую дробь:

$$ \frac{4a}{3(a-2)} \cdot \frac{a-2}{a-4} = \frac{4a \cdot (a-2)}{3(a-2) \cdot (a-4)} $$

Сокращаем дробь на общий множитель $(a-2)$:

$$ \frac{4a}{3(a-4)} $$

Это и есть упрощенное выражение. Можно записать его как $\frac{4a}{3a-12}$.

4. Согласно требованию, необходимо выделить целую часть из полученной неправильной рациональной дроби (степень числителя равна степени знаменателя). Для этого выполним деление "уголком" числителя на знаменатель:

$$ \frac{4a}{3a-12} = \frac{\frac{4}{3}(3a-12) + 16}{3a-12} = \frac{\frac{4}{3}(3a-12)}{3a-12} + \frac{16}{3a-12} = \frac{4}{3} + \frac{16}{3(a-4)} $$

Представим неправильную дробь $\frac{4}{3}$ в виде смешанного числа, выделив целую часть: $\frac{4}{3} = 1\frac{1}{3}$.

Ответ: $1\frac{1}{3} + \frac{16}{3(a-4)}$

Помогло решение? Оставьте отзыв в комментариях ниже.

Присоединяйтесь к Телеграм-группе @gdz_by_belarus

Присоединиться

Мы подготовили для вас ответ c подробным объяснением домашего задания по алгебре за 9 класс, для упражнения номер 173 расположенного на странице 280 к учебнику 2019 года издания для учащихся школ и гимназий.

Теперь на нашем сайте ГДЗ.ТОП вы всегда легко и бесплатно найдёте условие с правильным ответом на вопрос «Как решить ДЗ» и «Как сделать» задание по алгебре к упражнению №173 (с. 280), авторов: Арефьева (Ирина Глебовна), Пирютко (Ольга Николаевна), учебного пособия издательства Народная асвета.