Номер 22, страница 267 - гдз по алгебре 9 класс учебник Арефьева, Пирютко

Алгебра, 9 класс Учебник, авторы: Арефьева Ирина Глебовна, Пирютко Ольга Николаевна, издательство Народная асвета, Минск, 2019, голубого цвета

Авторы: Арефьева И. Г., Пирютко О. Н.

Тип: Учебник

Издательство: Народная асвета

Год издания: 2019 - 2026

Цвет обложки: голубой, синий с графиком

ISBN: 978-985-03-3077-2

Допущено Министерством образования Республики Беларусь

Популярные ГДЗ в 9 классе

Итоговое повторение. Числа и вычисления - номер 22, страница 267.

№22 (с. 267)
Условие. №22 (с. 267)
скриншот условия
Алгебра, 9 класс Учебник, авторы: Арефьева Ирина Глебовна, Пирютко Ольга Николаевна, издательство Народная асвета, Минск, 2019, голубого цвета, страница 267, номер 22, Условие

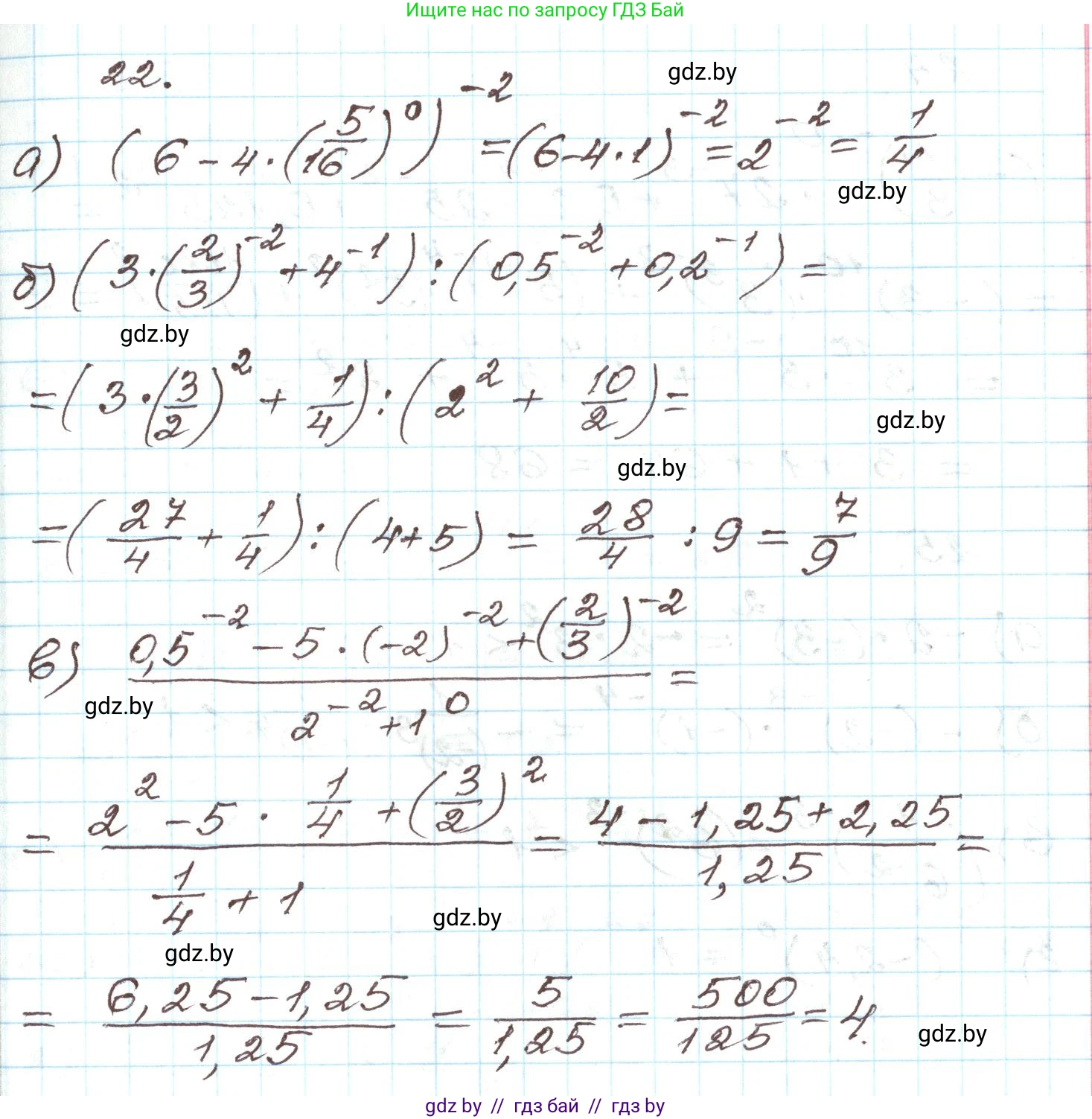
22. Используйте определение степени с целым показателем и найдите значение выражения:

а) $ (6-4 \cdot (\frac{5}{16})^0)^{-2}; $

б) $ (3 \cdot (\frac{2}{3})^{-2} + 4^{-1}) : (0,5^{-2} + 0,2^{-1}); $

В) $ \frac{0,5^{-2} - 5 \cdot (-2)^{-2} + (\frac{2}{3})^{-2}}{2^{-2} + 1^0}. $

Решение. №22 (с. 267)
Алгебра, 9 класс Учебник, авторы: Арефьева Ирина Глебовна, Пирютко Ольга Николаевна, издательство Народная асвета, Минск, 2019, голубого цвета, страница 267, номер 22, Решение
Решение 2. №22 (с. 267)

a) Для нахождения значения выражения $(6 - 4 \cdot (\frac{5}{16})^0)^{-2}$ выполним следующие действия по порядку:

  1. Сначала вычислим выражение в скобках. Любое число (кроме нуля), возведенное в нулевую степень, равно 1.
    $(\frac{5}{16})^0 = 1$
  2. Подставим полученное значение в выражение:
    $6 - 4 \cdot 1 = 6 - 4 = 2$
  3. Теперь возведем результат в степень -2. Степень с отрицательным целым показателем $a^{-n}$ определяется как $\frac{1}{a^n}$.
    $2^{-2} = \frac{1}{2^2} = \frac{1}{4}$

Таким образом, полное решение выглядит так:

$(6 - 4 \cdot (\frac{5}{16})^0)^{-2} = (6 - 4 \cdot 1)^{-2} = (2)^{-2} = \frac{1}{2^2} = \frac{1}{4}$

Ответ: a) $\frac{1}{4}$.

б) Для нахождения значения выражения $(3 \cdot (\frac{2}{3})^{-2} + 4^{-1}) : (0,5^{-2} + 0,2^{-1})$ решим его по частям.

  1. Вычислим значение первого выражения в скобках: $3 \cdot (\frac{2}{3})^{-2} + 4^{-1}$.
    Используем свойство $(\frac{a}{b})^{-n} = (\frac{b}{a})^n$:
    $(\frac{2}{3})^{-2} = (\frac{3}{2})^2 = \frac{3^2}{2^2} = \frac{9}{4}$.
    $3 \cdot \frac{9}{4} = \frac{27}{4}$.
    Используем определение $a^{-n} = \frac{1}{a^n}$:
    $4^{-1} = \frac{1}{4}$.
    Складываем полученные значения:
    $\frac{27}{4} + \frac{1}{4} = \frac{28}{4} = 7$.
  2. Вычислим значение второго выражения в скобках: $0,5^{-2} + 0,2^{-1}$.
    Представим десятичные дроби в виде обыкновенных: $0,5 = \frac{1}{2}$ и $0,2 = \frac{2}{10} = \frac{1}{5}$.
    $0,5^{-2} = (\frac{1}{2})^{-2} = (\frac{2}{1})^2 = 4$.
    $0,2^{-1} = (\frac{1}{5})^{-1} = (\frac{5}{1})^1 = 5$.
    Складываем полученные значения:
    $4 + 5 = 9$.
  3. Разделим результат первого действия на результат второго:
    $7 : 9 = \frac{7}{9}$.

Ответ: б) $\frac{7}{9}$.

в) Для нахождения значения выражения $\frac{0,5^{-2} - 5 \cdot (-2)^{-2} + (\frac{2}{3})^{-2}}{2^{-2} + 1^0}$ вычислим отдельно числитель и знаменатель.

1. Вычисление числителя: $0,5^{-2} - 5 \cdot (-2)^{-2} + (\frac{2}{3})^{-2}$

  • $0,5^{-2} = (\frac{1}{2})^{-2} = 2^2 = 4$.
  • $(-2)^{-2} = \frac{1}{(-2)^2} = \frac{1}{4}$.
  • $(\frac{2}{3})^{-2} = (\frac{3}{2})^2 = \frac{9}{4}$.
  • Подставляем значения в выражение для числителя:
    $4 - 5 \cdot \frac{1}{4} + \frac{9}{4} = 4 - \frac{5}{4} + \frac{9}{4} = \frac{16}{4} - \frac{5}{4} + \frac{9}{4} = \frac{16 - 5 + 9}{4} = \frac{20}{4} = 5$.

2. Вычисление знаменателя: $2^{-2} + 1^0$

  • $2^{-2} = \frac{1}{2^2} = \frac{1}{4}$.
  • $1^0 = 1$.
  • Складываем значения:
    $\frac{1}{4} + 1 = \frac{1}{4} + \frac{4}{4} = \frac{5}{4}$.

3. Деление числителя на знаменатель:

$\frac{5}{\frac{5}{4}} = 5 : \frac{5}{4} = 5 \cdot \frac{4}{5} = 4$.

Ответ: в) 4.

Помогло решение? Оставьте отзыв в комментариях ниже.

Присоединяйтесь к Телеграм-группе @gdz_by_belarus

Присоединиться

Мы подготовили для вас ответ c подробным объяснением домашего задания по алгебре за 9 класс, для упражнения номер 22 расположенного на странице 267 к учебнику 2019 года издания для учащихся школ и гимназий.

Теперь на нашем сайте ГДЗ.ТОП вы всегда легко и бесплатно найдёте условие с правильным ответом на вопрос «Как решить ДЗ» и «Как сделать» задание по алгебре к упражнению №22 (с. 267), авторов: Арефьева (Ирина Глебовна), Пирютко (Ольга Николаевна), учебного пособия издательства Народная асвета.