Номер 323, страница 301 - гдз по алгебре 9 класс учебник Арефьева, Пирютко

Алгебра, 9 класс Учебник, авторы: Арефьева Ирина Глебовна, Пирютко Ольга Николаевна, издательство Народная асвета, Минск, 2019, голубого цвета

Авторы: Арефьева И. Г., Пирютко О. Н.

Тип: Учебник

Издательство: Народная асвета

Год издания: 2019 - 2026

Цвет обложки: голубой, синий с графиком

ISBN: 978-985-03-3077-2

Допущено Министерством образования Республики Беларусь

Популярные ГДЗ в 9 классе

Итоговое повторение. Текстовые задачи - номер 323, страница 301.

№323 (с. 301)
Условие. №323 (с. 301)
скриншот условия
Алгебра, 9 класс Учебник, авторы: Арефьева Ирина Глебовна, Пирютко Ольга Николаевна, издательство Народная асвета, Минск, 2019, голубого цвета, страница 301, номер 323, Условие

323. Две студенческие бригады могут выполнить задание, работая вместе, за 2 дня. За сколько дней может выполнить это задание каждая бригада, работая самостоятельно, если одной из них для выполнения $\frac{1}{3}$ задания необходимо на 3 дня меньше, чем другой для выполнения $\frac{2}{3}$ задания.

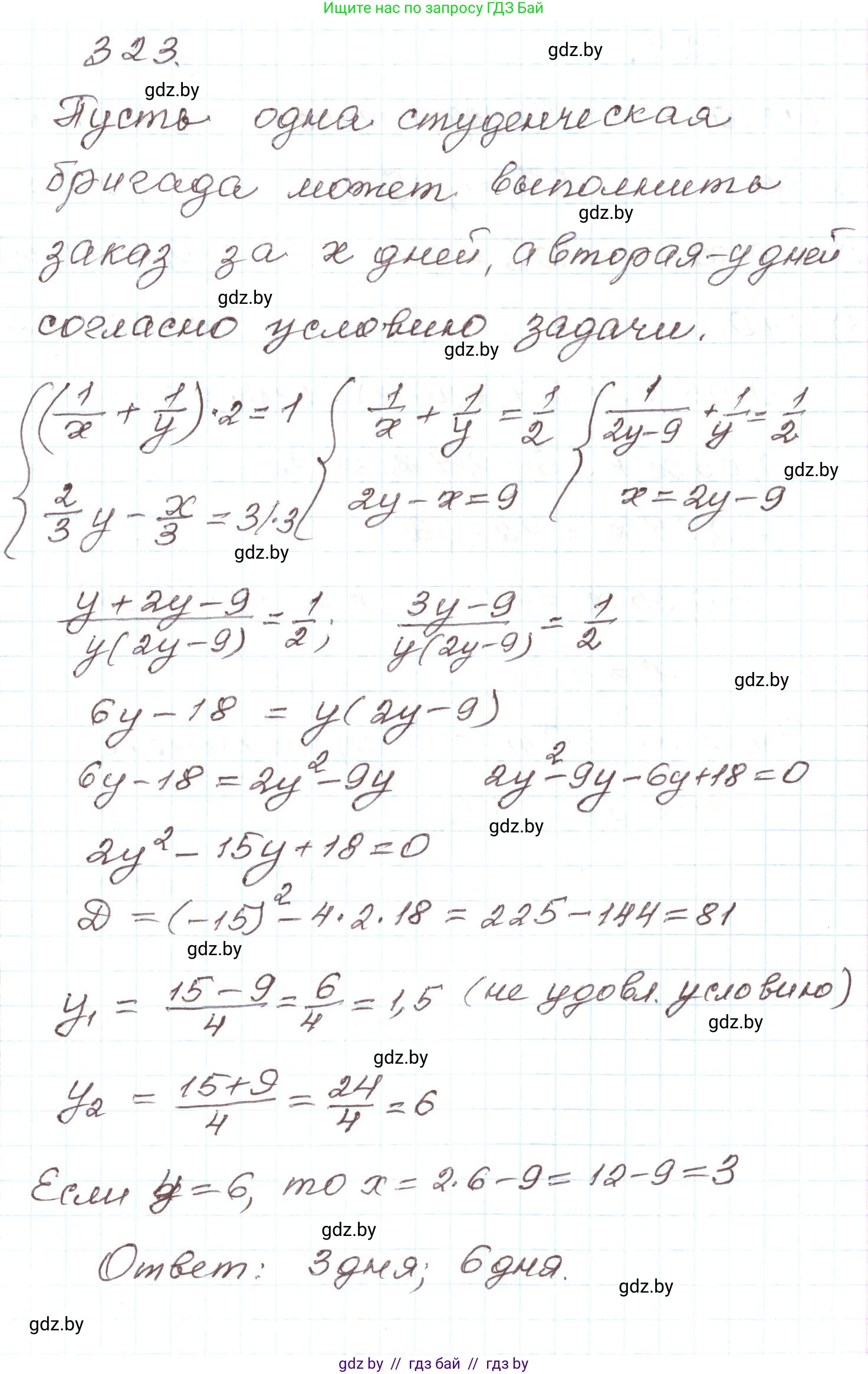
Решение. №323 (с. 301)
Алгебра, 9 класс Учебник, авторы: Арефьева Ирина Глебовна, Пирютко Ольга Николаевна, издательство Народная асвета, Минск, 2019, голубого цвета, страница 301, номер 323, Решение
Решение 2. №323 (с. 301)

Для решения задачи введем переменные и составим систему уравнений.

Пусть $x$ — количество дней, за которое первая бригада может выполнить все задание, работая самостоятельно.
Пусть $y$ — количество дней, за которое вторая бригада может выполнить все задание, работая самостоятельно.

Тогда производительность первой бригады равна $\frac{1}{x}$ задания в день, а производительность второй — $\frac{1}{y}$ задания в день.

Из условия известно, что работая вместе, две бригады выполняют задание за 2 дня. Их совместная производительность равна $(\frac{1}{x} + \frac{1}{y})$. Составим первое уравнение:

$(\frac{1}{x} + \frac{1}{y}) \cdot 2 = 1$

Разделив обе части на 2, получим:

$\frac{1}{x} + \frac{1}{y} = \frac{1}{2}$

Теперь рассмотрим второе условие. Время, которое требуется первой бригаде для выполнения $\frac{1}{3}$ задания, составляет $\frac{1/3}{1/x} = \frac{x}{3}$ дней. Время, которое требуется второй бригаде для выполнения $\frac{2}{3}$ задания, составляет $\frac{2/3}{1/y} = \frac{2y}{3}$ дней.

По условию, "одной из них для выполнения $\frac{1}{3}$ задания необходимо на 3 дня меньше, чем другой для выполнения $\frac{2}{3}$ задания". Это приводит к двум возможным сценариям.

Сценарий 1: Время первой бригады на $\frac{1}{3}$ работы на 3 дня меньше, чем время второй на $\frac{2}{3}$ работы.

$\frac{x}{3} = \frac{2y}{3} - 3$

Умножим уравнение на 3, чтобы избавиться от дробей:

$x = 2y - 9$

Теперь у нас есть система из двух уравнений:

$\begin{cases} \frac{1}{x} + \frac{1}{y} = \frac{1}{2} \\x = 2y - 9 \end{cases}$

Подставим выражение для $x$ из второго уравнения в первое:

$\frac{1}{2y - 9} + \frac{1}{y} = \frac{1}{2}$

Приведем левую часть к общему знаменателю $y(2y-9)$:

$\frac{y + (2y - 9)}{y(2y - 9)} = \frac{1}{2}$

$\frac{3y - 9}{2y^2 - 9y} = \frac{1}{2}$

Используя свойство пропорции (перекрестное умножение), получаем:

$2(3y - 9) = 1(2y^2 - 9y)$

$6y - 18 = 2y^2 - 9y$

Перенесем все члены в одну сторону, чтобы получить квадратное уравнение:

$2y^2 - 9y - 6y + 18 = 0$

$2y^2 - 15y + 18 = 0$

Решим это уравнение с помощью дискриминанта $D = b^2 - 4ac$:

$D = (-15)^2 - 4 \cdot 2 \cdot 18 = 225 - 144 = 81$

Корни уравнения: $y = \frac{-b \pm \sqrt{D}}{2a}$

$y_1 = \frac{15 - \sqrt{81}}{2 \cdot 2} = \frac{15 - 9}{4} = \frac{6}{4} = 1.5$

$y_2 = \frac{15 + \sqrt{81}}{2 \cdot 2} = \frac{15 + 9}{4} = \frac{24}{4} = 6$

Теперь найдем соответствующие значения $x$ для каждого $y$:

  • Если $y_1 = 1.5$, то $x_1 = 2(1.5) - 9 = 3 - 9 = -6$. Этот корень не имеет физического смысла, так как время не может быть отрицательным.
  • Если $y_2 = 6$, то $x_2 = 2(6) - 9 = 12 - 9 = 3$. Этот корень подходит.

Таким образом, одна бригада выполняет работу за 3 дня, а другая — за 6 дней.

Сценарий 2: Время второй бригады на $\frac{1}{3}$ работы на 3 дня меньше, чем время первой на $\frac{2}{3}$ работы.

$\frac{y}{3} = \frac{2x}{3} - 3 \implies y = 2x - 9$

Подстановка в первое уравнение даст аналогичное квадратное уравнение для $x$, решением которого будут $x=3$ и $y=6$ (после отбрасывания отрицательного корня). Оба сценария приводят к одному и тому же набору временных интервалов.


Время выполнения задания первой бригадой: Ответ: 3 дня.

Время выполнения задания второй бригадой: Ответ: 6 дней.

Помогло решение? Оставьте отзыв в комментариях ниже.

Присоединяйтесь к Телеграм-группе @gdz_by_belarus

Присоединиться

Мы подготовили для вас ответ c подробным объяснением домашего задания по алгебре за 9 класс, для упражнения номер 323 расположенного на странице 301 к учебнику 2019 года издания для учащихся школ и гимназий.

Теперь на нашем сайте ГДЗ.ТОП вы всегда легко и бесплатно найдёте условие с правильным ответом на вопрос «Как решить ДЗ» и «Как сделать» задание по алгебре к упражнению №323 (с. 301), авторов: Арефьева (Ирина Глебовна), Пирютко (Ольга Николаевна), учебного пособия издательства Народная асвета.