Номер 43, страница 269 - гдз по алгебре 9 класс учебник Арефьева, Пирютко

Алгебра, 9 класс Учебник, авторы: Арефьева Ирина Глебовна, Пирютко Ольга Николаевна, издательство Народная асвета, Минск, 2019, голубого цвета

Авторы: Арефьева И. Г., Пирютко О. Н.

Тип: Учебник

Издательство: Народная асвета

Год издания: 2019 - 2026

Цвет обложки: голубой, синий с графиком

ISBN: 978-985-03-3077-2

Допущено Министерством образования Республики Беларусь

Популярные ГДЗ в 9 классе

Итоговое повторение. Числа и вычисления - номер 43, страница 269.

№43 (с. 269)
Условие. №43 (с. 269)
скриншот условия
Алгебра, 9 класс Учебник, авторы: Арефьева Ирина Глебовна, Пирютко Ольга Николаевна, издательство Народная асвета, Минск, 2019, голубого цвета, страница 269, номер 43, Условие

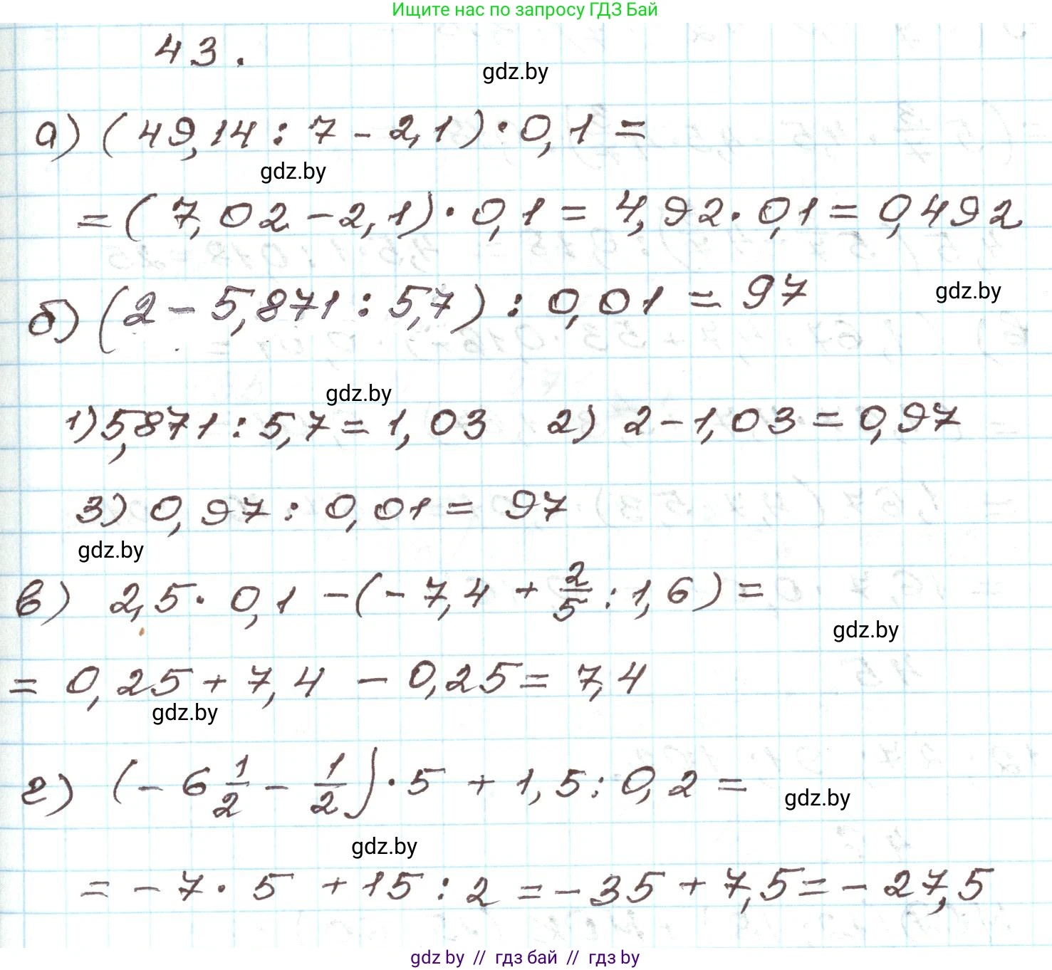
43. Выполните действия:

а) $(49,14 : 7 - 2,1) \cdot 0,1;$

б) $(2 - 5,871 : 5,7) : 0,01;$

в) $2,5 \cdot 0,1 - (-7,4 + \frac{2}{5} : 1,6);$

г) $(-6\frac{1}{2} - \frac{1}{2}) \cdot 5 + 1,5 : 0,2.$

Решение. №43 (с. 269)
Алгебра, 9 класс Учебник, авторы: Арефьева Ирина Глебовна, Пирютко Ольга Николаевна, издательство Народная асвета, Минск, 2019, голубого цвета, страница 269, номер 43, Решение
Решение 2. №43 (с. 269)

а) Выполним действия в выражении $(49,14 : 7 - 2,1) \cdot 0,1$ по порядку:

  1. Сначала выполняем деление в скобках:
    $49,14 : 7 = 7,02$
  2. Затем выполняем вычитание в скобках:
    $7,02 - 2,1 = 4,92$
  3. В конце выполняем умножение:
    $4,92 \cdot 0,1 = 0,492$

Ответ: 0,492.

б) Выполним действия в выражении $(2 - 5,871 : 5,7) : 0,01$ по порядку:

  1. Сначала выполняем деление в скобках. Для удобства умножим делимое и делитель на 10, чтобы избавиться от дроби в делителе:
    $5,871 : 5,7 = 58,71 : 57 = 1,03$
  2. Затем выполняем вычитание в скобках:
    $2 - 1,03 = 0,97$
  3. В конце выполняем деление на 0,01. Это эквивалентно умножению на 100:
    $0,97 : 0,01 = 97$

Ответ: 97.

в) Выполним действия в выражении $2,5 \cdot 0,1 - (-7,4 + \frac{2}{5} : 1,6)$ по порядку. Сначала действия в скобках, затем умножение и вычитание.

  1. Начнем с выражения в скобках. Переведем обыкновенную дробь в десятичную: $\frac{2}{5} = 0,4$.
    1. Выполним деление в скобках:
      $0,4 : 1,6 = 4 : 16 = 0,25$
    2. Выполним сложение в скобках:
      $-7,4 + 0,25 = -7,15$
  2. Теперь выполним умножение вне скобок:
    $2,5 \cdot 0,1 = 0,25$
  3. Выполним конечное вычитание:
    $0,25 - (-7,15) = 0,25 + 7,15 = 7,4$

Ответ: 7,4.

г) Выполним действия в выражении $(-6\frac{1}{2} - \frac{1}{2}) \cdot 5 + 1,5 : 0,2$ по порядку: сначала действия в скобках, затем умножение и деление, и в конце сложение.

  1. Выполним вычитание в скобках:
    $-6\frac{1}{2} - \frac{1}{2} = - (6 + \frac{1}{2}) - \frac{1}{2} = -6 - 1 = -7$
  2. Выполним умножение:
    $-7 \cdot 5 = -35$
  3. Выполним деление:
    $1,5 : 0,2 = 15 : 2 = 7,5$
  4. Выполним сложение:
    $-35 + 7,5 = -27,5$

Полученное число $-27,5$ является десятичной дробью. Мы можем представить его в виде неправильной дроби $-\frac{55}{2}$ или смешанного числа $-27\frac{1}{2}$. Выделим целую часть.

Ответ: $-\mathbf{27}\frac{1}{2}$.

Помогло решение? Оставьте отзыв в комментариях ниже.

Присоединяйтесь к Телеграм-группе @gdz_by_belarus

Присоединиться

Мы подготовили для вас ответ c подробным объяснением домашего задания по алгебре за 9 класс, для упражнения номер 43 расположенного на странице 269 к учебнику 2019 года издания для учащихся школ и гимназий.

Теперь на нашем сайте ГДЗ.ТОП вы всегда легко и бесплатно найдёте условие с правильным ответом на вопрос «Как решить ДЗ» и «Как сделать» задание по алгебре к упражнению №43 (с. 269), авторов: Арефьева (Ирина Глебовна), Пирютко (Ольга Николаевна), учебного пособия издательства Народная асвета.