Номер 4, страница 265 - гдз по алгебре 9 класс учебник Арефьева, Пирютко

Алгебра, 9 класс Учебник, авторы: Арефьева Ирина Глебовна, Пирютко Ольга Николаевна, издательство Народная асвета, Минск, 2019, голубого цвета

Авторы: Арефьева И. Г., Пирютко О. Н.

Тип: Учебник

Издательство: Народная асвета

Год издания: 2019 - 2026

Цвет обложки: голубой, синий с графиком

ISBN: 978-985-03-3077-2

Допущено Министерством образования Республики Беларусь

Популярные ГДЗ в 9 классе

Итоговое повторение. Числа и вычисления - номер 4, страница 265.

№4 (с. 265)
Условие. №4 (с. 265)
скриншот условия
Алгебра, 9 класс Учебник, авторы: Арефьева Ирина Глебовна, Пирютко Ольга Николаевна, издательство Народная асвета, Минск, 2019, голубого цвета, страница 265, номер 4, Условие

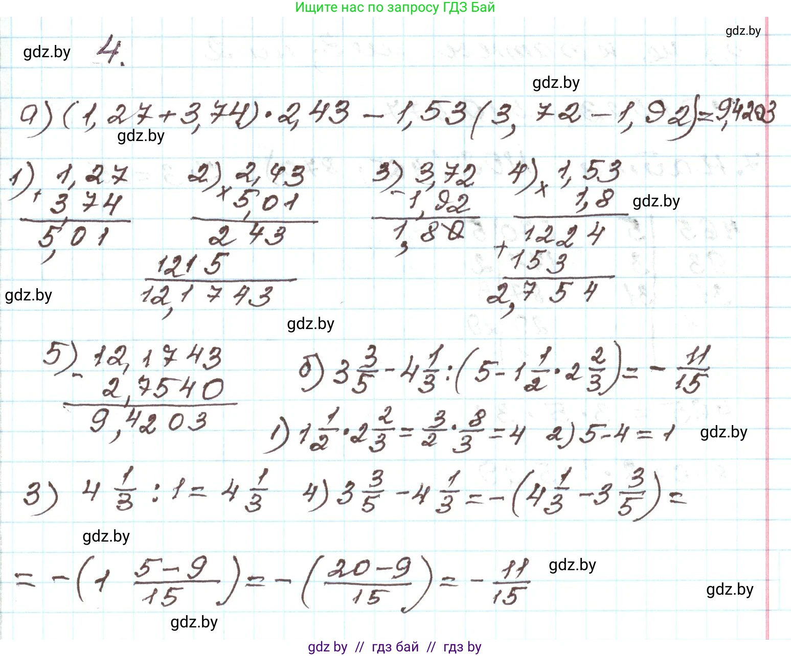
4. Установите порядок действий и найдите значение выражения:

a) $(1,27 + 3,74) \cdot 2,43 - 1,53 : (3,72 - 1,92);$

б) $3\frac{3}{5} - 4\frac{1}{3} : (5 - 1\frac{1}{2} \cdot 2\frac{2}{3}).$

Решение. №4 (с. 265)
Алгебра, 9 класс Учебник, авторы: Арефьева Ирина Глебовна, Пирютко Ольга Николаевна, издательство Народная асвета, Минск, 2019, голубого цвета, страница 265, номер 4, Решение
Решение 2. №4 (с. 265)

а) $(1,27 + 3,74) \cdot 2,43 - 1,53 : (3,72 - 1,92)$

Решим выражение по действиям, соблюдая их правильный порядок: сначала выполняются действия в скобках, затем умножение и деление в порядке их следования, и в конце — сложение и вычитание.

  1. Выполним сложение в первых скобках:
    $1,27 + 3,74 = 5,01$
  2. Выполним вычитание во вторых скобках:
    $3,72 - 1,92 = 1,8$
  3. Теперь выполним умножение:
    $5,01 \cdot 2,43 = 12,1743$
  4. Выполним деление:
    $1,53 : 1,8 = 0,85$
  5. И, наконец, выполним вычитание:
    $12,1743 - 0,85 = 11,3243$

Ответ: $11,3243$.

б) $3\frac{3}{5} - 4\frac{1}{3} : (5 - 1\frac{1}{2} \cdot 2\frac{2}{3})$

Решим выражение по действиям. Сначала выполним операции в скобках (умножение, а затем вычитание), после этого — деление, и в самом конце — вычитание. Для удобства вычислений преобразуем смешанные числа в неправильные дроби.

  1. Выполним умножение в скобках:
    $1\frac{1}{2} \cdot 2\frac{2}{3} = \frac{3}{2} \cdot \frac{8}{3} = \frac{3 \cdot 8}{2 \cdot 3} = 4$
  2. Выполним вычитание в скобках:
    $5 - 4 = 1$
  3. Выполним деление:
    $4\frac{1}{3} : 1 = \frac{13}{3}$
  4. Выполним итоговое вычитание:
    $3\frac{3}{5} - \frac{13}{3} = \frac{18}{5} - \frac{13}{3} = \frac{18 \cdot 3}{15} - \frac{13 \cdot 5}{15} = \frac{54 - 65}{15} = -\frac{11}{15}$

Ответ: $-\frac{11}{15}$.

Помогло решение? Оставьте отзыв в комментариях ниже.

Присоединяйтесь к Телеграм-группе @gdz_by_belarus

Присоединиться

Мы подготовили для вас ответ c подробным объяснением домашего задания по алгебре за 9 класс, для упражнения номер 4 расположенного на странице 265 к учебнику 2019 года издания для учащихся школ и гимназий.

Теперь на нашем сайте ГДЗ.ТОП вы всегда легко и бесплатно найдёте условие с правильным ответом на вопрос «Как решить ДЗ» и «Как сделать» задание по алгебре к упражнению №4 (с. 265), авторов: Арефьева (Ирина Глебовна), Пирютко (Ольга Николаевна), учебного пособия издательства Народная асвета.