Номер 57, страница 271 - гдз по алгебре 9 класс учебник Арефьева, Пирютко

Алгебра, 9 класс Учебник, авторы: Арефьева Ирина Глебовна, Пирютко Ольга Николаевна, издательство Народная асвета, Минск, 2019, голубого цвета

Авторы: Арефьева И. Г., Пирютко О. Н.

Тип: Учебник

Издательство: Народная асвета

Год издания: 2019 - 2026

Цвет обложки: голубой, синий с графиком

ISBN: 978-985-03-3077-2

Допущено Министерством образования Республики Беларусь

Популярные ГДЗ в 9 классе

Итоговое повторение. Числа и вычисления - номер 57, страница 271.

№57 (с. 271)
Условие. №57 (с. 271)
скриншот условия
Алгебра, 9 класс Учебник, авторы: Арефьева Ирина Глебовна, Пирютко Ольга Николаевна, издательство Народная асвета, Минск, 2019, голубого цвета, страница 271, номер 57, Условие

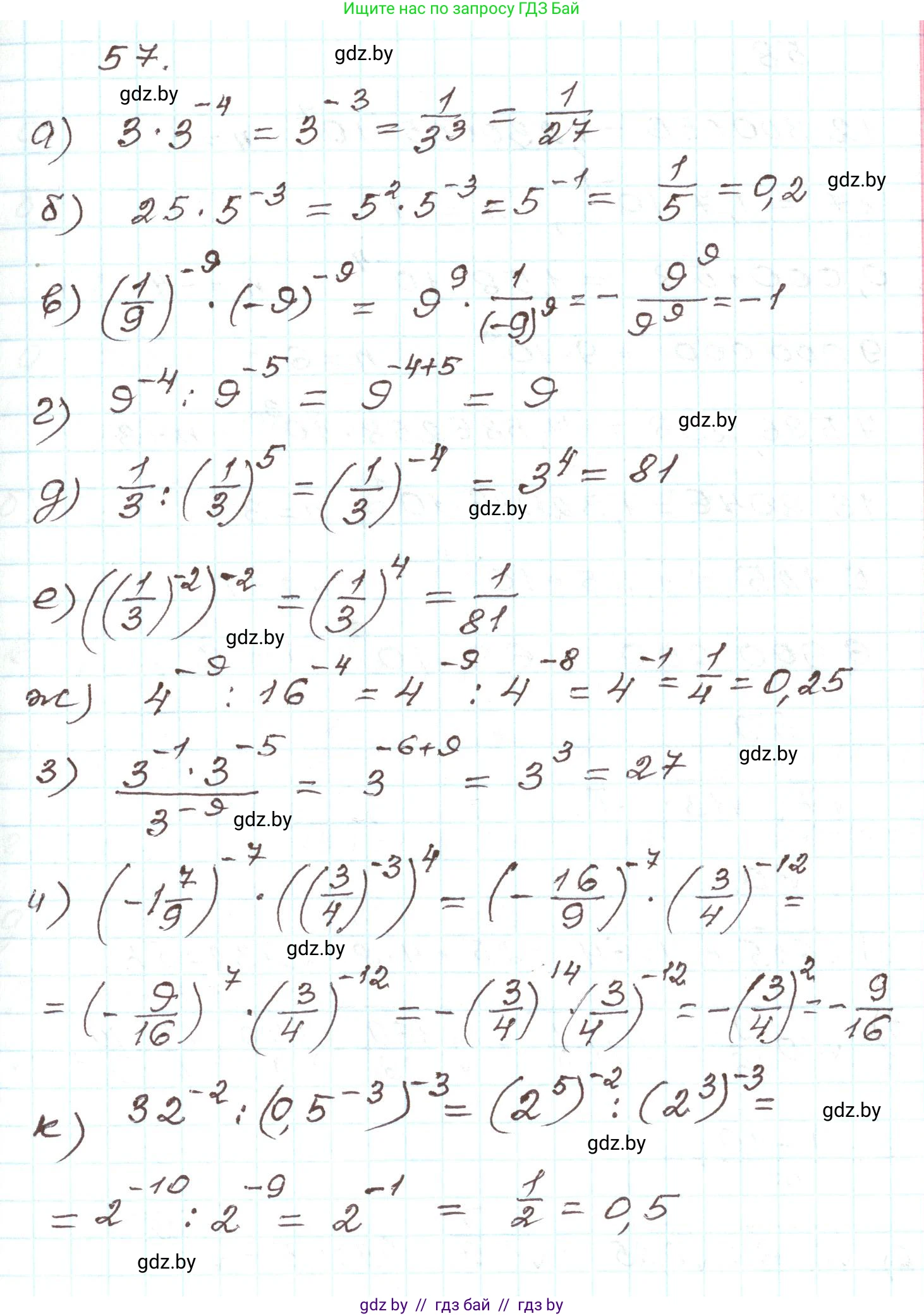
57. Используйте свойства степени с целым показателем и найдите значение выражения:

а) $3 \cdot 3^{-4}$;

б) $25 \cdot 5^{-3}$;

в) $\left(\frac{1}{9}\right)^{-9} \cdot(-9)^{-9}$;

г) $9^{-4}: 9^{-5}$;

д) $\frac{1}{3}:\left(\frac{1}{3}\right)^{5}$;

е) $\left(\left(\frac{1}{3}\right)^{-2}\right)^{-2}$;

ж) $4^{-9}: 16^{-4}$;

з) $\frac{3^{-1} \cdot 3^{-5}}{3^{-9}}$;

и) $\left(-1 \frac{7}{9}\right)^{-7} \cdot\left(\left(\frac{3}{4}\right)^{-3}\right)^{4}$;

к) $32^{-2}:\left(0,5^{-3}\right)^{-3}$.

Решение. №57 (с. 271)
Алгебра, 9 класс Учебник, авторы: Арефьева Ирина Глебовна, Пирютко Ольга Николаевна, издательство Народная асвета, Минск, 2019, голубого цвета, страница 271, номер 57, Решение
Решение 2. №57 (с. 271)

а) Применяем свойство умножения степеней с одинаковым основанием $a^m \cdot a^n = a^{m+n}$. Число 3 можно представить как $3^1$. $$3 \cdot 3^{-4} = 3^1 \cdot 3^{-4} = 3^{1+(-4)} = 3^{-3}$$ Далее, по определению степени с отрицательным показателем $a^{-n} = \frac{1}{a^n}$: $$3^{-3} = \frac{1}{3^3} = \frac{1}{27}$$ Ответ: $\frac{1}{27}$.

б) Представим число 25 как степень числа 5: $25 = 5^2$. Затем воспользуемся свойством умножения степеней с одинаковым основанием $a^m \cdot a^n = a^{m+n}$. $$25 \cdot 5^{-3} = 5^2 \cdot 5^{-3} = 5^{2+(-3)} = 5^{-1}$$ По определению степени с отрицательным показателем: $$5^{-1} = \frac{1}{5}$$ Ответ: $\frac{1}{5}$.

в) Используем свойство умножения степеней с одинаковым показателем $a^n \cdot b^n = (a \cdot b)^n$. $$(\frac{1}{9})^{-9} \cdot (-9)^{-9} = \left(\frac{1}{9} \cdot (-9)\right)^{-9} = (-1)^{-9}$$ По определению степени с отрицательным показателем, $a^{-n} = \frac{1}{a^n}$: $$(-1)^{-9} = \frac{1}{(-1)^9} = \frac{1}{-1} = -1$$ Ответ: -1.

г) Применяем свойство деления степеней с одинаковым основанием $a^m : a^n = a^{m-n}$. $$9^{-4} : 9^{-5} = 9^{-4 - (-5)} = 9^{-4+5} = 9^1 = 9$$ Ответ: 9.

д) Представим число $\frac{1}{3}$ как $(\frac{1}{3})^1$ и воспользуемся свойством деления степеней с одинаковым основанием $a^m : a^n = a^{m-n}$. $$\frac{1}{3} : \left(\frac{1}{3}\right)^5 = \left(\frac{1}{3}\right)^1 : \left(\frac{1}{3}\right)^5 = \left(\frac{1}{3}\right)^{1-5} = \left(\frac{1}{3}\right)^{-4}$$ Используем свойство $(\frac{a}{b})^{-n} = (\frac{b}{a})^n$: $$\left(\frac{1}{3}\right)^{-4} = 3^4 = 81$$ Ответ: 81.

е) Используем свойство возведения степени в степень $(a^m)^n = a^{m \cdot n}$. $$\left(\left(\frac{1}{3}\right)^{-2}\right)^{-2} = \left(\frac{1}{3}\right)^{(-2) \cdot (-2)} = \left(\frac{1}{3}\right)^4$$ Возводим дробь в степень: $$\left(\frac{1}{3}\right)^4 = \frac{1^4}{3^4} = \frac{1}{81}$$ Ответ: $\frac{1}{81}$.

ж) Чтобы использовать свойства степеней, приведем основания к одному числу. Представим 16 как $4^2$. $$4^{-9} : 16^{-4} = 4^{-9} : (4^2)^{-4}$$ Сначала возводим степень в степень $(a^m)^n = a^{mn}$: $$4^{-9} : 4^{2 \cdot (-4)} = 4^{-9} : 4^{-8}$$ Затем делим степени с одинаковым основанием $a^m : a^n = a^{m-n}$: $$4^{-9 - (-8)} = 4^{-9+8} = 4^{-1} = \frac{1}{4}$$ Ответ: $\frac{1}{4}$.

з) Сначала выполним умножение в числителе, используя свойство $a^m \cdot a^n = a^{m+n}$: $$3^{-1} \cdot 3^{-5} = 3^{-1+(-5)} = 3^{-6}$$ Теперь разделим, используя свойство $\frac{a^m}{a^n} = a^{m-n}$: $$\frac{3^{-6}}{3^{-9}} = 3^{-6 - (-9)} = 3^{-6+9} = 3^3 = 27$$ Ответ: 27.

и) Сначала преобразуем смешанное число в неправильную дробь и упростим вторую часть выражения. $$-1\frac{7}{9} = -\frac{1 \cdot 9 + 7}{9} = -\frac{16}{9}$$ $$\left(\left(\frac{3}{4}\right)^{-3}\right)^4 = \left(\frac{3}{4}\right)^{-3 \cdot 4} = \left(\frac{3}{4}\right)^{-12}$$ Выражение принимает вид: $$\left(-\frac{16}{9}\right)^{-7} \cdot \left(\frac{3}{4}\right)^{-12}$$ Приведем основания к одному виду. Заметим, что $\frac{16}{9} = \left(\frac{4}{3}\right)^2$ и $\frac{3}{4} = \left(\frac{4}{3}\right)^{-1}$. $$\left(-\left(\frac{4}{3}\right)^2\right)^{-7} \cdot \left(\left(\frac{4}{3}\right)^{-1}\right)^{-12}$$ Так как показатель степени -7 нечетный, знак минус сохраняется: $$-\left(\left(\frac{4}{3}\right)^2\right)^{-7} \cdot \left(\frac{4}{3}\right)^{12} = -\left(\frac{4}{3}\right)^{-14} \cdot \left(\frac{4}{3}\right)^{12}$$ Умножаем степени с одинаковым основанием: $$-\left(\frac{4}{3}\right)^{-14+12} = -\left(\frac{4}{3}\right)^{-2} = -\left(\frac{3}{4}\right)^2 = -\frac{9}{16}$$ Ответ: $-\frac{9}{16}$.

к) Приведем основания степеней к одному числу, в данном случае к 2. $32 = 2^5$ и $0,5 = \frac{1}{2} = 2^{-1}$. Выражение принимает вид: $$(2^5)^{-2} : \left((2^{-1})^{-3}\right)^{-3}$$ Применим свойство возведения степени в степень $(a^m)^n = a^{mn}$: $$2^{5 \cdot (-2)} : (2^{(-1) \cdot (-3)})^{-3} = 2^{-10} : (2^3)^{-3} = 2^{-10} : 2^{3 \cdot (-3)} = 2^{-10} : 2^{-9}$$ Применим свойство деления степеней с одинаковым основанием $a^m : a^n = a^{m-n}$: $$2^{-10 - (-9)} = 2^{-10+9} = 2^{-1} = \frac{1}{2}$$ Ответ: $\frac{1}{2}$.

Помогло решение? Оставьте отзыв в комментариях ниже.

Присоединяйтесь к Телеграм-группе @gdz_by_belarus

Присоединиться

Мы подготовили для вас ответ c подробным объяснением домашего задания по алгебре за 9 класс, для упражнения номер 57 расположенного на странице 271 к учебнику 2019 года издания для учащихся школ и гимназий.

Теперь на нашем сайте ГДЗ.ТОП вы всегда легко и бесплатно найдёте условие с правильным ответом на вопрос «Как решить ДЗ» и «Как сделать» задание по алгебре к упражнению №57 (с. 271), авторов: Арефьева (Ирина Глебовна), Пирютко (Ольга Николаевна), учебного пособия издательства Народная асвета.