Номер 81, страница 273 - гдз по алгебре 9 класс учебник Арефьева, Пирютко

Алгебра, 9 класс Учебник, авторы: Арефьева Ирина Глебовна, Пирютко Ольга Николаевна, издательство Народная асвета, Минск, 2019, голубого цвета

Авторы: Арефьева И. Г., Пирютко О. Н.

Тип: Учебник

Издательство: Народная асвета

Год издания: 2019 - 2026

Цвет обложки: голубой, синий с графиком

ISBN: 978-985-03-3077-2

Допущено Министерством образования Республики Беларусь

Популярные ГДЗ в 9 классе

Итоговое повторение. Выражения и их преобразования - номер 81, страница 273.

№81 (с. 273)
Условие. №81 (с. 273)
скриншот условия
Алгебра, 9 класс Учебник, авторы: Арефьева Ирина Глебовна, Пирютко Ольга Николаевна, издательство Народная асвета, Минск, 2019, голубого цвета, страница 273, номер 81, Условие

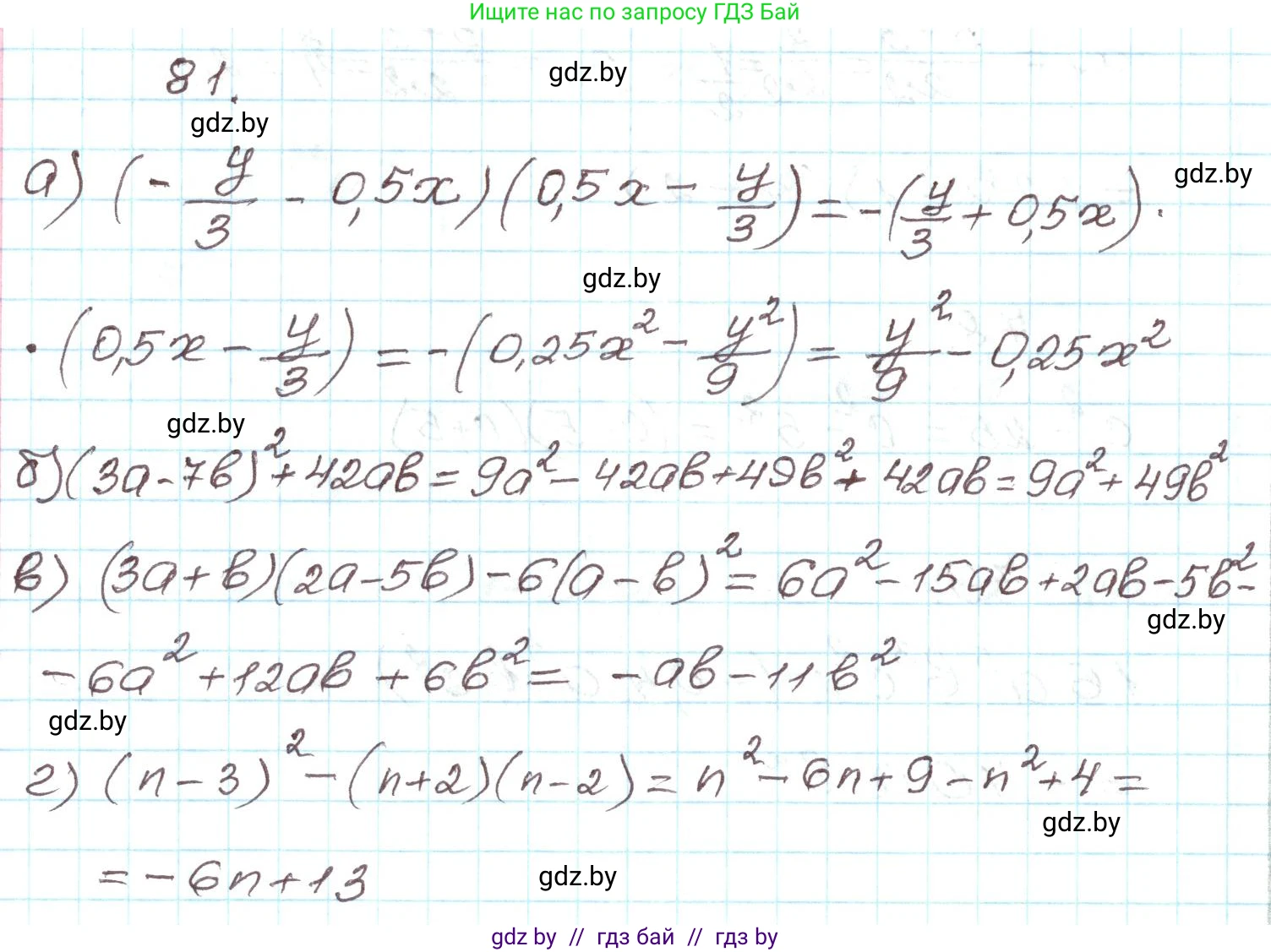
81. Представьте в виде многочлена стандартного вида выражение:

а) $ \left(-\frac{y}{3}-0.5x\right)\left(0.5x-\frac{y}{3}\right) $

б) $ (3a-7b)^2+42ab $

в) $ (3a+b)(2a-5b)-6(a-b)^2 $

г) $ (n-3)^2-(n+2)(n-2) $

Решение. №81 (с. 273)
Алгебра, 9 класс Учебник, авторы: Арефьева Ирина Глебовна, Пирютко Ольга Николаевна, издательство Народная асвета, Минск, 2019, голубого цвета, страница 273, номер 81, Решение
Решение 2. №81 (с. 273)

а) Чтобы представить выражение $(-\frac{y}{3} - 0,5x)(0,5x - \frac{y}{3})$ в виде многочлена, преобразуем его, поменяв местами слагаемые в обеих скобках для удобства:
$(-\frac{y}{3} - 0,5x)(0,5x - \frac{y}{3}) = (-0,5x - \frac{y}{3})(- \frac{y}{3} + 0,5x)$.
Теперь поменяем местами слагаемые во второй скобке:
$(-0,5x - \frac{y}{3})(0,5x - \frac{y}{3})$.
Можно вынести минус из первой скобки:
$-(0,5x + \frac{y}{3})(0,5x - \frac{y}{3})$.
Выражение в скобках является формулой разности квадратов $(a+b)(a-b) = a^2 - b^2$, где $a = 0,5x$ и $b = \frac{y}{3}$.
Применим формулу:
$-((0,5x)^2 - (\frac{y}{3})^2) = -(0,25x^2 - \frac{y^2}{9}) = -0,25x^2 + \frac{y^2}{9}$.
Запишем многочлен в стандартном виде: $-0,25x^2 + \frac{1}{9}y^2$.
Ответ: $-0,25x^2 + \frac{1}{9}y^2$

б) Раскроем скобки в выражении $(3a - 7b)^2 + 42ab$, используя формулу квадрата разности $(x-y)^2 = x^2 - 2xy + y^2$:
$(3a)^2 - 2 \cdot 3a \cdot 7b + (7b)^2 + 42ab = 9a^2 - 42ab + 49b^2 + 42ab$.
Приведем подобные члены: $-42ab$ и $42ab$ взаимно уничтожаются.
$9a^2 - 42ab + 49b^2 + 42ab = 9a^2 + 49b^2$.
Ответ: $9a^2 + 49b^2$

в) Упростим выражение $(3a + b)(2a - 5b) - 6(a - b)^2$ по частям.
1. Раскроем первые скобки, перемножив многочлены:
$(3a + b)(2a - 5b) = 3a \cdot 2a + 3a \cdot (-5b) + b \cdot 2a + b \cdot (-5b) = 6a^2 - 15ab + 2ab - 5b^2 = 6a^2 - 13ab - 5b^2$.
2. Раскроем вторые скобки, используя формулу квадрата разности и умножив на -6:
$-6(a - b)^2 = -6(a^2 - 2ab + b^2) = -6a^2 + 12ab - 6b^2$.
3. Сложим полученные многочлены:
$(6a^2 - 13ab - 5b^2) + (-6a^2 + 12ab - 6b^2)$.
Приведем подобные члены:
$(6a^2 - 6a^2) + (-13ab + 12ab) + (-5b^2 - 6b^2) = 0 - ab - 11b^2 = -ab - 11b^2$.
Ответ: $-ab - 11b^2$

г) Для упрощения выражения $(n - 3)^2 - (n + 2)(n - 2)$ применим формулы сокращенного умножения.
1. Квадрат разности: $(n - 3)^2 = n^2 - 2 \cdot n \cdot 3 + 3^2 = n^2 - 6n + 9$.
2. Разность квадратов: $(n + 2)(n - 2) = n^2 - 2^2 = n^2 - 4$.
3. Подставим полученные выражения в исходное:
$(n^2 - 6n + 9) - (n^2 - 4)$.
Раскроем скобки, изменив знаки у второго многочлена на противоположные:
$n^2 - 6n + 9 - n^2 + 4$.
Приведем подобные члены:
$(n^2 - n^2) - 6n + (9 + 4) = 0 - 6n + 13 = -6n + 13$.
Ответ: $-6n + 13$

Помогло решение? Оставьте отзыв в комментариях ниже.

Присоединяйтесь к Телеграм-группе @gdz_by_belarus

Присоединиться

Мы подготовили для вас ответ c подробным объяснением домашего задания по алгебре за 9 класс, для упражнения номер 81 расположенного на странице 273 к учебнику 2019 года издания для учащихся школ и гимназий.

Теперь на нашем сайте ГДЗ.ТОП вы всегда легко и бесплатно найдёте условие с правильным ответом на вопрос «Как решить ДЗ» и «Как сделать» задание по алгебре к упражнению №81 (с. 273), авторов: Арефьева (Ирина Глебовна), Пирютко (Ольга Николаевна), учебного пособия издательства Народная асвета.