Номер 1067, страница 244 - гдз по алгебре 9 класс учебник Макарычев, Миндюк

Алгебра, 9 класс Учебник, авторы: Макарычев Юрий Николаевич, Миндюк Нора Григорьевна, Нешков Константин Иванович, Суворова Светлана Борисовна, издательство Просвещение, Москва, 2014 - 2024

Авторы: Макарычев Ю. Н., Миндюк Н. Г., Нешков К. И., Суворова С. Б.

Тип: Учебник

Издательство: Просвещение

Год издания: 2014 - 2024

ISBN: 978-5-09-0779-15

Допущено Министерством просвещения Российской Федерации

Популярные ГДЗ в 9 классе

Задачи повышенной трудности - номер 1067, страница 244.

№1067 (с. 244)
Условие. №1067 (с. 244)
скриншот условия
Алгебра, 9 класс Учебник, авторы: Макарычев Юрий Николаевич, Миндюк Нора Григорьевна, Нешков Константин Иванович, Суворова Светлана Борисовна, издательство Просвещение, Москва, 2014 - 2024, страница 244, номер 1067, Условие

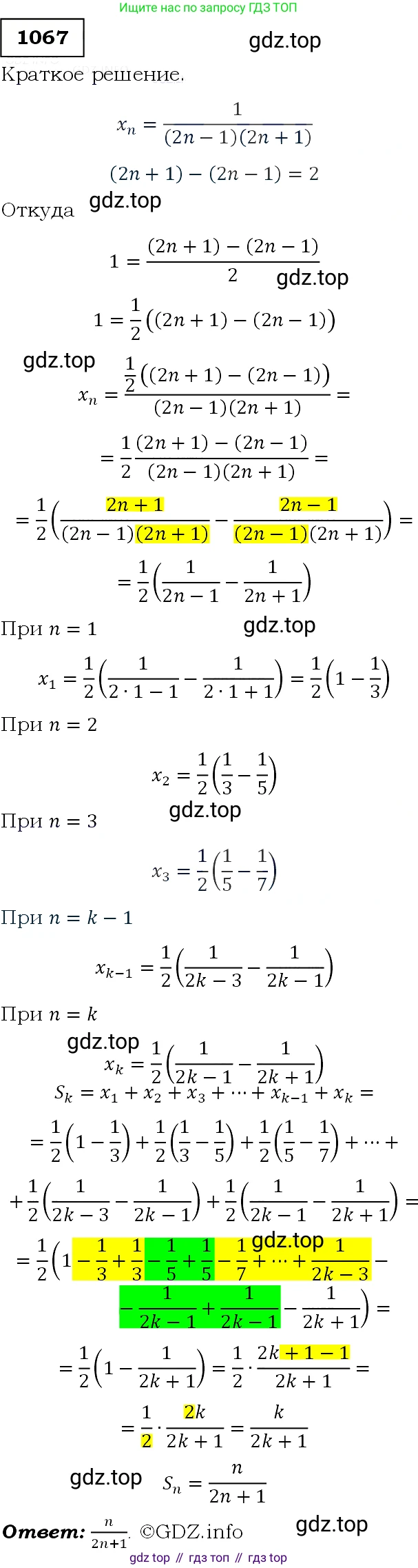
1067. Найдите сумму первых $n$ членов последовательности $(x_n)$, если

$x_n = \frac{1}{(2n - 1)(2n + 1)}$

Решение 1. №1067 (с. 244)
Алгебра, 9 класс Учебник, авторы: Макарычев Юрий Николаевич, Миндюк Нора Григорьевна, Нешков Константин Иванович, Суворова Светлана Борисовна, издательство Просвещение, Москва, 2014 - 2024, страница 244, номер 1067, Решение 1
Решение 2. №1067 (с. 244)
Алгебра, 9 класс Учебник, авторы: Макарычев Юрий Николаевич, Миндюк Нора Григорьевна, Нешков Константин Иванович, Суворова Светлана Борисовна, издательство Просвещение, Москва, 2014 - 2024, страница 244, номер 1067, Решение 2
Решение 3. №1067 (с. 244)
Алгебра, 9 класс Учебник, авторы: Макарычев Юрий Николаевич, Миндюк Нора Григорьевна, Нешков Константин Иванович, Суворова Светлана Борисовна, издательство Просвещение, Москва, 2014 - 2024, страница 244, номер 1067, Решение 3
Решение 4. №1067 (с. 244)
Алгебра, 9 класс Учебник, авторы: Макарычев Юрий Николаевич, Миндюк Нора Григорьевна, Нешков Константин Иванович, Суворова Светлана Борисовна, издательство Просвещение, Москва, 2014 - 2024, страница 244, номер 1067, Решение 4
Решение 5. №1067 (с. 244)
Алгебра, 9 класс Учебник, авторы: Макарычев Юрий Николаевич, Миндюк Нора Григорьевна, Нешков Константин Иванович, Суворова Светлана Борисовна, издательство Просвещение, Москва, 2014 - 2024, страница 244, номер 1067, Решение 5
Решение 7. №1067 (с. 244)
Алгебра, 9 класс Учебник, авторы: Макарычев Юрий Николаевич, Миндюк Нора Григорьевна, Нешков Константин Иванович, Суворова Светлана Борисовна, издательство Просвещение, Москва, 2014 - 2024, страница 244, номер 1067, Решение 7
Решение 8. №1067 (с. 244)

Чтобы найти сумму первых $n$ членов последовательности $S_n = \sum_{k=1}^{n} x_k$, где $x_n = \frac{1}{(2n - 1)(2n + 1)}$, представим общий член последовательности $x_k$ в виде суммы простейших дробей. Этот метод называется разложением на элементарные дроби.

Ищем представление $x_k$ в виде:

$\frac{1}{(2k - 1)(2k + 1)} = \frac{A}{2k - 1} + \frac{B}{2k + 1}$

Чтобы найти коэффициенты $A$ и $B$, приведем правую часть к общему знаменателю:

$\frac{1}{(2k - 1)(2k + 1)} = \frac{A(2k + 1) + B(2k - 1)}{(2k - 1)(2k + 1)}$

Так как знаменатели дробей равны, то должны быть равны и их числители:

$1 = A(2k + 1) + B(2k - 1)$

Раскроем скобки и сгруппируем слагаемые при $k$:

$1 = 2Ak + A + 2Bk - B$

$1 = (2A + 2B)k + (A - B)$

Это равенство должно выполняться для любого значения $k$. Это возможно только тогда, когда коэффициенты при одинаковых степенях $k$ в обеих частях равенства равны. В левой части коэффициент при $k$ равен 0, а свободный член равен 1. Составим систему уравнений:

$\begin{cases} 2A + 2B = 0 \\ A - B = 1 \end{cases}$

Из первого уравнения $2(A + B) = 0$ следует, что $A = -B$. Подставим это выражение во второе уравнение системы:

$-B - B = 1 \implies -2B = 1 \implies B = -\frac{1}{2}$

Тогда $A = -B = -(-\frac{1}{2}) = \frac{1}{2}$.

Таким образом, мы разложили общий член последовательности на сумму дробей:

$x_k = \frac{1/2}{2k - 1} - \frac{1/2}{2k + 1} = \frac{1}{2} \left( \frac{1}{2k - 1} - \frac{1}{2k + 1} \right)$

Теперь запишем сумму $S_n$ первых $n$ членов последовательности:

$S_n = \sum_{k=1}^{n} x_k = \sum_{k=1}^{n} \frac{1}{2} \left( \frac{1}{2k - 1} - \frac{1}{2k + 1} \right)$

Вынесем константу $\frac{1}{2}$ за знак суммы и распишем слагаемые:

$S_n = \frac{1}{2} \left[ \left( \frac{1}{2\cdot1 - 1} - \frac{1}{2\cdot1 + 1} \right) + \left( \frac{1}{2\cdot2 - 1} - \frac{1}{2\cdot2 + 1} \right) + \dots + \left( \frac{1}{2n - 1} - \frac{1}{2n + 1} \right) \right]$

$S_n = \frac{1}{2} \left[ \left( \frac{1}{1} - \frac{1}{3} \right) + \left( \frac{1}{3} - \frac{1}{5} \right) + \left( \frac{1}{5} - \frac{1}{7} \right) + \dots + \left( \frac{1}{2n - 1} - \frac{1}{2n + 1} \right) \right]$

Эта сумма является телескопической, так как все внутренние члены взаимно уничтожаются: второе слагаемое в каждой скобке сокращается с первым слагаемым в следующей скобке ($-\frac{1}{3}$ и $+\frac{1}{3}$, $-\frac{1}{5}$ и $+\frac{1}{5}$ и т.д.). В результате остаются только первое слагаемое из первой пары и последнее слагаемое из последней пары:

$S_n = \frac{1}{2} \left( 1 - \frac{1}{2n + 1} \right)$

Упростим выражение в скобках:

$S_n = \frac{1}{2} \left( \frac{2n + 1 - 1}{2n + 1} \right) = \frac{1}{2} \cdot \frac{2n}{2n + 1}$

Сократив на 2, получаем окончательный результат:

$S_n = \frac{n}{2n + 1}$

Ответ: $S_n = \frac{n}{2n + 1}$

Помогло решение? Оставьте отзыв в комментариях ниже.

Присоединяйтесь к Телеграм-группе @top_gdz

Присоединиться

Мы подготовили для вас ответ c подробным объяснением домашего задания по алгебре за 9 класс, для упражнения номер 1067 расположенного на странице 244 к учебнику 2014 - 2024 года издания для учащихся школ и гимназий.

Теперь на нашем сайте ГДЗ.ТОП вы всегда легко и бесплатно найдёте условие с правильным ответом на вопрос «Как решить ДЗ» и «Как сделать» задание по алгебре к упражнению №1067 (с. 244), авторов: Макарычев (Юрий Николаевич), Миндюк (Нора Григорьевна), Нешков (Константин Иванович), Суворова (Светлана Борисовна), ФГОС (старый) учебного пособия издательства Просвещение.