Номер 277, страница 80 - гдз по алгебре 9 класс учебник Макарычев, Миндюк

Алгебра, 9 класс Учебник, авторы: Макарычев Юрий Николаевич, Миндюк Нора Григорьевна, Нешков Константин Иванович, Суворова Светлана Борисовна, издательство Просвещение, Москва, 2014 - 2024

Авторы: Макарычев Ю. Н., Миндюк Н. Г., Нешков К. И., Суворова С. Б.

Тип: Учебник

Издательство: Просвещение

Год издания: 2014 - 2024

ISBN: 978-5-09-0779-15

Допущено Министерством просвещения Российской Федерации

Популярные ГДЗ в 9 классе

Глава 2. Уравнения и неравенства с одной переменной. Параграф 5. Уравнения с одной переменной. 12. Целое уравнение и его корни - номер 277, страница 80.

№277 (с. 80)
Условие. №277 (с. 80)
скриншот условия
Алгебра, 9 класс Учебник, авторы: Макарычев Юрий Николаевич, Миндюк Нора Григорьевна, Нешков Константин Иванович, Суворова Светлана Борисовна, издательство Просвещение, Москва, 2014 - 2024, страница 80, номер 277, Условие

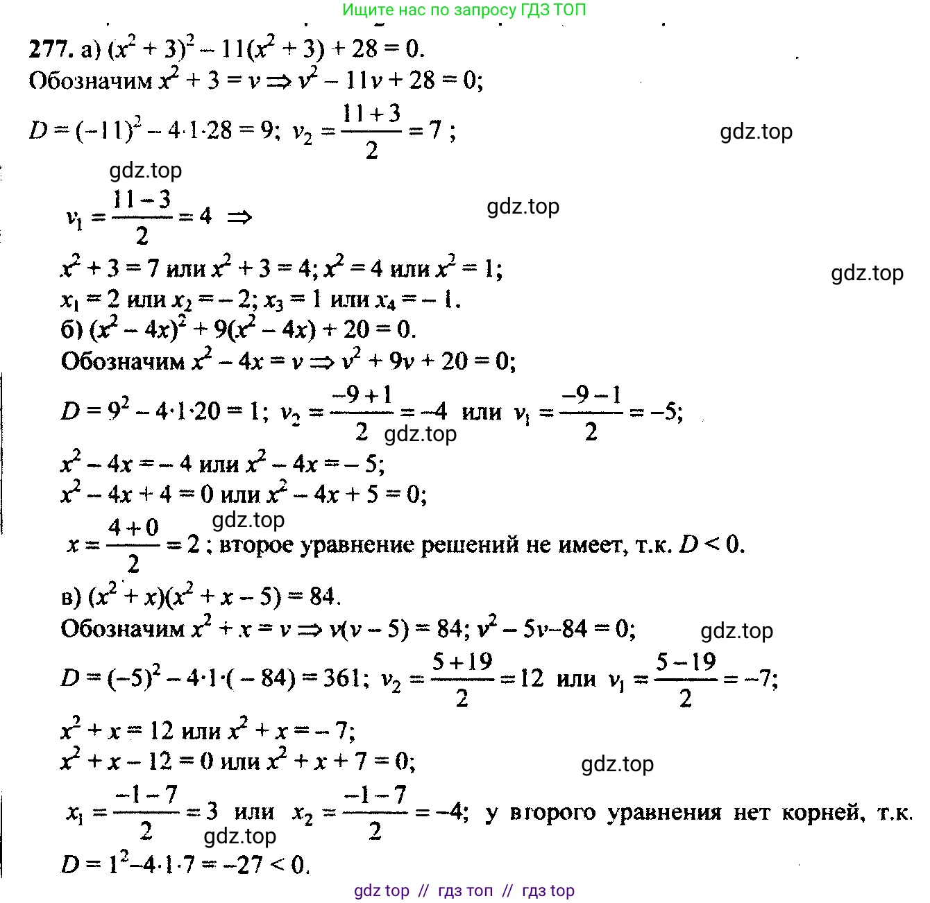
277. Решите уравнение:

а) $(x^2 + 3)^2 - 11(x^2 + 3) + 28 = 0;$

б) $(x^2 - 4x)^2 + 9(x^2 - 4x) + 20 = 0;$

в) $(x^2 + x)(x^2 + x - 5) = 84.$

Решение 1. №277 (с. 80)
Алгебра, 9 класс Учебник, авторы: Макарычев Юрий Николаевич, Миндюк Нора Григорьевна, Нешков Константин Иванович, Суворова Светлана Борисовна, издательство Просвещение, Москва, 2014 - 2024, страница 80, номер 277, Решение 1
Алгебра, 9 класс Учебник, авторы: Макарычев Юрий Николаевич, Миндюк Нора Григорьевна, Нешков Константин Иванович, Суворова Светлана Борисовна, издательство Просвещение, Москва, 2014 - 2024, страница 80, номер 277, Решение 1 (продолжение 2)
Решение 2. №277 (с. 80)
Алгебра, 9 класс Учебник, авторы: Макарычев Юрий Николаевич, Миндюк Нора Григорьевна, Нешков Константин Иванович, Суворова Светлана Борисовна, издательство Просвещение, Москва, 2014 - 2024, страница 80, номер 277, Решение 2
Алгебра, 9 класс Учебник, авторы: Макарычев Юрий Николаевич, Миндюк Нора Григорьевна, Нешков Константин Иванович, Суворова Светлана Борисовна, издательство Просвещение, Москва, 2014 - 2024, страница 80, номер 277, Решение 2 (продолжение 2)
Решение 3. №277 (с. 80)
Алгебра, 9 класс Учебник, авторы: Макарычев Юрий Николаевич, Миндюк Нора Григорьевна, Нешков Константин Иванович, Суворова Светлана Борисовна, издательство Просвещение, Москва, 2014 - 2024, страница 80, номер 277, Решение 3
Решение 4. №277 (с. 80)
Алгебра, 9 класс Учебник, авторы: Макарычев Юрий Николаевич, Миндюк Нора Григорьевна, Нешков Константин Иванович, Суворова Светлана Борисовна, издательство Просвещение, Москва, 2014 - 2024, страница 80, номер 277, Решение 4
Решение 5. №277 (с. 80)
Алгебра, 9 класс Учебник, авторы: Макарычев Юрий Николаевич, Миндюк Нора Григорьевна, Нешков Константин Иванович, Суворова Светлана Борисовна, издательство Просвещение, Москва, 2014 - 2024, страница 80, номер 277, Решение 5
Решение 6. №277 (с. 80)
Алгебра, 9 класс Учебник, авторы: Макарычев Юрий Николаевич, Миндюк Нора Григорьевна, Нешков Константин Иванович, Суворова Светлана Борисовна, издательство Просвещение, Москва, 2014 - 2024, страница 80, номер 277, Решение 6
Решение 7. №277 (с. 80)
Алгебра, 9 класс Учебник, авторы: Макарычев Юрий Николаевич, Миндюк Нора Григорьевна, Нешков Константин Иванович, Суворова Светлана Борисовна, издательство Просвещение, Москва, 2014 - 2024, страница 80, номер 277, Решение 7 Алгебра, 9 класс Учебник, авторы: Макарычев Юрий Николаевич, Миндюк Нора Григорьевна, Нешков Константин Иванович, Суворова Светлана Борисовна, издательство Просвещение, Москва, 2014 - 2024, страница 80, номер 277, Решение 7 (продолжение 2)
Решение 8. №277 (с. 80)
а)

Данное уравнение $(x^2 + 3)^2 - 11(x^2 + 3) + 28 = 0$ является квадратным относительно выражения $(x^2 + 3)$. Для его решения введем замену переменной.

Пусть $t = x^2 + 3$. Тогда исходное уравнение можно переписать в виде: $t^2 - 11t + 28 = 0$.

Это стандартное квадратное уравнение относительно переменной $t$. Решим его с помощью теоремы Виета. Сумма корней равна 11, а их произведение равно 28. Отсюда находим корни: $t_1 = 4$ и $t_2 = 7$.

Теперь выполним обратную замену для каждого найденного значения $t$.

1) Если $t = 4$, то:
$x^2 + 3 = 4$
$x^2 = 1$
$x = \pm 1$.

2) Если $t = 7$, то:
$x^2 + 3 = 7$
$x^2 = 4$
$x = \pm 2$.

Таким образом, уравнение имеет четыре действительных корня.

Ответ: $-2; -1; 1; 2$.

б)

Уравнение $(x^2 - 4x)^2 + 9(x^2 - 4x) + 20 = 0$ решается методом введения новой переменной.

Пусть $y = x^2 - 4x$. Тогда уравнение принимает вид: $y^2 + 9y + 20 = 0$.

Решим полученное квадратное уравнение относительно $y$. По теореме Виета, сумма корней $y_1 + y_2 = -9$, а их произведение $y_1 \cdot y_2 = 20$. Корнями являются: $y_1 = -4$ и $y_2 = -5$.

Теперь выполним обратную замену.

1) Если $y = -4$, то:
$x^2 - 4x = -4$
$x^2 - 4x + 4 = 0$
Левая часть уравнения является полным квадратом: $(x - 2)^2 = 0$.
Отсюда $x - 2 = 0$, и, следовательно, $x = 2$.

2) Если $y = -5$, то:
$x^2 - 4x = -5$
$x^2 - 4x + 5 = 0$
Найдем дискриминант $D$ этого квадратного уравнения: $D = b^2 - 4ac = (-4)^2 - 4 \cdot 1 \cdot 5 = 16 - 20 = -4$.
Так как $D < 0$, данное уравнение не имеет действительных корней.

Таким образом, исходное уравнение имеет только один корень.

Ответ: $2$.

в)

В уравнении $(x^2 + x)(x^2 + x - 5) = 84$ также применим метод замены переменной.

Пусть $z = x^2 + x$. Подставим $z$ в уравнение: $z(z - 5) = 84$.

Раскроем скобки и преобразуем уравнение к стандартному квадратному виду: $z^2 - 5z - 84 = 0$.

Решим это квадратное уравнение относительно $z$ по формуле корней: $z = \frac{-b \pm \sqrt{b^2 - 4ac}}{2a} = \frac{-(-5) \pm \sqrt{(-5)^2 - 4 \cdot 1 \cdot (-84)}}{2 \cdot 1} = \frac{5 \pm \sqrt{25 + 336}}{2} = \frac{5 \pm \sqrt{361}}{2}$.

Поскольку $\sqrt{361} = 19$, находим два значения для $z$: $z_1 = \frac{5 + 19}{2} = \frac{24}{2} = 12$
$z_2 = \frac{5 - 19}{2} = \frac{-14}{2} = -7$.

Выполним обратную замену для каждого найденного значения $z$.

1) Если $z = 12$, то:
$x^2 + x = 12$
$x^2 + x - 12 = 0$
По теореме Виета, сумма корней $x_1 + x_2 = -1$, а их произведение $x_1 \cdot x_2 = -12$. Корни этого уравнения: $x = 3$ и $x = -4$.

2) Если $z = -7$, то:
$x^2 + x = -7$
$x^2 + x + 7 = 0$
Найдем дискриминант: $D = b^2 - 4ac = 1^2 - 4 \cdot 1 \cdot 7 = 1 - 28 = -27$.
Так как $D < 0$, это уравнение не имеет действительных корней.

Следовательно, исходное уравнение имеет два действительных корня.

Ответ: $-4; 3$.

Помогло решение? Оставьте отзыв в комментариях ниже.

Присоединяйтесь к Телеграм-группе @top_gdz

Присоединиться

Мы подготовили для вас ответ c подробным объяснением домашего задания по алгебре за 9 класс, для упражнения номер 277 расположенного на странице 80 к учебнику 2014 - 2024 года издания для учащихся школ и гимназий.

Теперь на нашем сайте ГДЗ.ТОП вы всегда легко и бесплатно найдёте условие с правильным ответом на вопрос «Как решить ДЗ» и «Как сделать» задание по алгебре к упражнению №277 (с. 80), авторов: Макарычев (Юрий Николаевич), Миндюк (Нора Григорьевна), Нешков (Константин Иванович), Суворова (Светлана Борисовна), ФГОС (старый) учебного пособия издательства Просвещение.