Номер 297, страница 86 - гдз по алгебре 9 класс учебник Макарычев, Миндюк

Алгебра, 9 класс Учебник, авторы: Макарычев Юрий Николаевич, Миндюк Нора Григорьевна, Нешков Константин Иванович, Суворова Светлана Борисовна, издательство Просвещение, Москва, 2014 - 2024

Авторы: Макарычев Ю. Н., Миндюк Н. Г., Нешков К. И., Суворова С. Б.

Тип: Учебник

Издательство: Просвещение

Год издания: 2014 - 2024

ISBN: 978-5-09-0779-15

Допущено Министерством просвещения Российской Федерации

Популярные ГДЗ в 9 классе

Глава 2. Уравнения и неравенства с одной переменной. Параграф 5. Уравнения с одной переменной. 13. Дробные рациональные уравнения - номер 297, страница 86.

№297 (с. 86)
Условие. №297 (с. 86)
скриншот условия
Алгебра, 9 класс Учебник, авторы: Макарычев Юрий Николаевич, Миндюк Нора Григорьевна, Нешков Константин Иванович, Суворова Светлана Борисовна, издательство Просвещение, Москва, 2014 - 2024, страница 86, номер 297, Условие

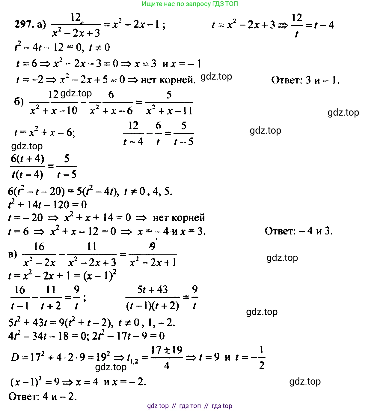
297. (Для работы в парах.) Решите уравнение, используя введение новой переменной:

а) $\frac{12}{x^2 - 2x + 3} = x^2 - 2x - 1;$

б) $\frac{12}{x^2 + x - 10} - \frac{6}{x^2 + x - 6} = \frac{5}{x^2 + x - 11};$

в) $\frac{16}{x^2 - 2x} - \frac{11}{x^2 - 2x + 3} = \frac{9}{x^2 - 2x + 1}.$

1) Выполните совместно задание а).

2) Распределите, кто выполняет задание б), а кто — задание в), и выполните их.

3) Проверьте друг у друга, правильно ли решены уравнения, и исправьте ошибки, если они допущены.

Решение 1. №297 (с. 86)
Алгебра, 9 класс Учебник, авторы: Макарычев Юрий Николаевич, Миндюк Нора Григорьевна, Нешков Константин Иванович, Суворова Светлана Борисовна, издательство Просвещение, Москва, 2014 - 2024, страница 86, номер 297, Решение 1
Алгебра, 9 класс Учебник, авторы: Макарычев Юрий Николаевич, Миндюк Нора Григорьевна, Нешков Константин Иванович, Суворова Светлана Борисовна, издательство Просвещение, Москва, 2014 - 2024, страница 86, номер 297, Решение 1 (продолжение 2)
Решение 2. №297 (с. 86)
Алгебра, 9 класс Учебник, авторы: Макарычев Юрий Николаевич, Миндюк Нора Григорьевна, Нешков Константин Иванович, Суворова Светлана Борисовна, издательство Просвещение, Москва, 2014 - 2024, страница 86, номер 297, Решение 2
Алгебра, 9 класс Учебник, авторы: Макарычев Юрий Николаевич, Миндюк Нора Григорьевна, Нешков Константин Иванович, Суворова Светлана Борисовна, издательство Просвещение, Москва, 2014 - 2024, страница 86, номер 297, Решение 2 (продолжение 2)
Решение 3. №297 (с. 86)
Алгебра, 9 класс Учебник, авторы: Макарычев Юрий Николаевич, Миндюк Нора Григорьевна, Нешков Константин Иванович, Суворова Светлана Борисовна, издательство Просвещение, Москва, 2014 - 2024, страница 86, номер 297, Решение 3
Решение 4. №297 (с. 86)
Алгебра, 9 класс Учебник, авторы: Макарычев Юрий Николаевич, Миндюк Нора Григорьевна, Нешков Константин Иванович, Суворова Светлана Борисовна, издательство Просвещение, Москва, 2014 - 2024, страница 86, номер 297, Решение 4
Решение 5. №297 (с. 86)
Алгебра, 9 класс Учебник, авторы: Макарычев Юрий Николаевич, Миндюк Нора Григорьевна, Нешков Константин Иванович, Суворова Светлана Борисовна, издательство Просвещение, Москва, 2014 - 2024, страница 86, номер 297, Решение 5
Решение 6. №297 (с. 86)
Алгебра, 9 класс Учебник, авторы: Макарычев Юрий Николаевич, Миндюк Нора Григорьевна, Нешков Константин Иванович, Суворова Светлана Борисовна, издательство Просвещение, Москва, 2014 - 2024, страница 86, номер 297, Решение 6
Решение 7. №297 (с. 86)
Алгебра, 9 класс Учебник, авторы: Макарычев Юрий Николаевич, Миндюк Нора Григорьевна, Нешков Константин Иванович, Суворова Светлана Борисовна, издательство Просвещение, Москва, 2014 - 2024, страница 86, номер 297, Решение 7 Алгебра, 9 класс Учебник, авторы: Макарычев Юрий Николаевич, Миндюк Нора Григорьевна, Нешков Константин Иванович, Суворова Светлана Борисовна, издательство Просвещение, Москва, 2014 - 2024, страница 86, номер 297, Решение 7 (продолжение 2)
Решение 8. №297 (с. 86)

а) Решим уравнение $ \frac{12}{x^2 - 2x + 3} = x^2 - 2x - 1 $.

Заметим, что в обеих частях уравнения присутствует выражение $ x^2 - 2x $. Введем новую переменную для упрощения уравнения. Пусть $ t = x^2 - 2x $. Тогда уравнение примет вид: $ \frac{12}{t + 3} = t - 1 $.

Область допустимых значений (ОДЗ) для переменной $t$ определяется знаменателем: $ t + 3 \neq 0 $, откуда $ t \neq -3 $. Что касается исходного уравнения, проверим знаменатель $ x^2 - 2x + 3 $. Его дискриминант $ D = b^2 - 4ac = (-2)^2 - 4 \cdot 1 \cdot 3 = 4 - 12 = -8 $. Поскольку $ D < 0 $ и коэффициент при $ x^2 $ положителен, выражение $ x^2 - 2x + 3 $ всегда больше нуля, следовательно, ограничений на переменную $ x $ нет.

Решим полученное уравнение относительно $ t $: $ 12 = (t - 1)(t + 3) $ $ 12 = t^2 + 3t - t - 3 $ $ 12 = t^2 + 2t - 3 $ $ t^2 + 2t - 15 = 0 $

Найдем корни этого квадратного уравнения, например, по теореме Виета: $ t_1 + t_2 = -2 $ $ t_1 \cdot t_2 = -15 $ Корни: $ t_1 = -5 $ и $ t_2 = 3 $. Оба корня удовлетворяют условию $ t \neq -3 $.

Теперь выполним обратную замену, чтобы найти $ x $.

1) При $ t = -5 $: $ x^2 - 2x = -5 $ $ x^2 - 2x + 5 = 0 $ Дискриминант $ D = (-2)^2 - 4 \cdot 1 \cdot 5 = 4 - 20 = -16 $. Так как $ D < 0 $, действительных корней в этом случае нет.

2) При $ t = 3 $: $ x^2 - 2x = 3 $ $ x^2 - 2x - 3 = 0 $ По теореме Виета: $ x_1 + x_2 = 2 $ $ x_1 \cdot x_2 = -3 $ Корни: $ x_1 = 3 $ и $ x_2 = -1 $.

Ответ: $ -1; 3 $.

б) Решим уравнение $ \frac{12}{x^2 + x - 10} - \frac{6}{x^2 + x - 6} = \frac{5}{x^2 + x - 11} $.

Введем новую переменную. Пусть $ t = x^2 + x $. Уравнение примет вид: $ \frac{12}{t - 10} - \frac{6}{t - 6} = \frac{5}{t - 11} $.

ОДЗ для $ t $: $ t \neq 10 $, $ t \neq 6 $, $ t \neq 11 $.

Приведем дроби в левой части к общему знаменателю: $ \frac{12(t - 6) - 6(t - 10)}{(t - 10)(t - 6)} = \frac{5}{t - 11} $ $ \frac{12t - 72 - 6t + 60}{t^2 - 6t - 10t + 60} = \frac{5}{t - 11} $ $ \frac{6t - 12}{t^2 - 16t + 60} = \frac{5}{t - 11} $

По свойству пропорции (перекрестное умножение): $ (6t - 12)(t - 11) = 5(t^2 - 16t + 60) $ $ 6t^2 - 66t - 12t + 132 = 5t^2 - 80t + 300 $ $ 6t^2 - 78t + 132 = 5t^2 - 80t + 300 $ Перенесем все члены в одну сторону: $ t^2 + 2t - 168 = 0 $

Найдем корни квадратного уравнения. Дискриминант $ D = 2^2 - 4 \cdot 1 \cdot (-168) = 4 + 672 = 676 = 26^2 $. $ t_1 = \frac{-2 - 26}{2} = \frac{-28}{2} = -14 $ $ t_2 = \frac{-2 + 26}{2} = \frac{24}{2} = 12 $ Оба корня удовлетворяют ОДЗ для $ t $.

Выполним обратную замену.

1) При $ t = -14 $: $ x^2 + x = -14 $ $ x^2 + x + 14 = 0 $ Дискриминант $ D = 1^2 - 4 \cdot 1 \cdot 14 = 1 - 56 = -55 $. Так как $ D < 0 $, действительных корней нет.

2) При $ t = 12 $: $ x^2 + x = 12 $ $ x^2 + x - 12 = 0 $ По теореме Виета, корни $ x_1 = 3 $, $ x_2 = -4 $.

Проверим, что найденные корни не обращают в ноль знаменатели исходного уравнения. При $ x = 3 $ и $ x = -4 $ выражение $ x^2 + x $ равно 12. Знаменатели равны $ 12-10=2 $, $ 12-6=6 $, $ 12-11=1 $, все они отличны от нуля.

Ответ: $ -4; 3 $.

в) Решим уравнение $ \frac{16}{x^2 - 2x} - \frac{11}{x^2 - 2x + 3} = \frac{9}{x^2 - 2x + 1} $.

Введем новую переменную. Пусть $ t = x^2 - 2x $. Уравнение примет вид: $ \frac{16}{t} - \frac{11}{t + 3} = \frac{9}{t + 1} $.

ОДЗ для $ t $: $ t \neq 0 $, $ t \neq -3 $, $ t \neq -1 $. Перенесем все слагаемые в левую часть и приведем к общему знаменателю $ t(t+3)(t+1) $: $ \frac{16(t+3)(t+1) - 11t(t+1) - 9t(t+3)}{t(t+3)(t+1)} = 0 $

Дробь равна нулю, когда ее числитель равен нулю, а знаменатель не равен нулю. $ 16(t^2 + 4t + 3) - 11(t^2 + t) - 9(t^2 + 3t) = 0 $ $ 16t^2 + 64t + 48 - 11t^2 - 11t - 9t^2 - 27t = 0 $ Приведем подобные члены: $ (16 - 11 - 9)t^2 + (64 - 11 - 27)t + 48 = 0 $ $ -4t^2 + 26t + 48 = 0 $ Разделим все уравнение на -2 для упрощения: $ 2t^2 - 13t - 24 = 0 $

Найдем корни полученного квадратного уравнения. Дискриминант $ D = (-13)^2 - 4 \cdot 2 \cdot (-24) = 169 + 192 = 361 = 19^2 $. $ t_1 = \frac{13 - 19}{2 \cdot 2} = \frac{-6}{4} = -1.5 $ $ t_2 = \frac{13 + 19}{2 \cdot 2} = \frac{32}{4} = 8 $ Оба корня удовлетворяют ОДЗ для $ t $.

Выполним обратную замену.

1) При $ t = -1.5 $: $ x^2 - 2x = -1.5 $ $ x^2 - 2x + 1.5 = 0 $ $ 2x^2 - 4x + 3 = 0 $ Дискриминант $ D = (-4)^2 - 4 \cdot 2 \cdot 3 = 16 - 24 = -8 $. Так как $ D < 0 $, действительных корней нет.

2) При $ t = 8 $: $ x^2 - 2x = 8 $ $ x^2 - 2x - 8 = 0 $ По теореме Виета, корни $ x_1 = 4 $, $ x_2 = -2 $.

Проверим, что найденные корни не обращают в ноль знаменатели исходного уравнения. При $ x = 4 $ и $ x = -2 $ выражение $ x^2 - 2x $ равно 8. Знаменатели равны 8, $ 8+3=11 $, $ 8+1=9 $, все они отличны от нуля.

Ответ: $ -2; 4 $.

Помогло решение? Оставьте отзыв в комментариях ниже.

Присоединяйтесь к Телеграм-группе @top_gdz

Присоединиться

Мы подготовили для вас ответ c подробным объяснением домашего задания по алгебре за 9 класс, для упражнения номер 297 расположенного на странице 86 к учебнику 2014 - 2024 года издания для учащихся школ и гимназий.

Теперь на нашем сайте ГДЗ.ТОП вы всегда легко и бесплатно найдёте условие с правильным ответом на вопрос «Как решить ДЗ» и «Как сделать» задание по алгебре к упражнению №297 (с. 86), авторов: Макарычев (Юрий Николаевич), Миндюк (Нора Григорьевна), Нешков (Константин Иванович), Суворова (Светлана Борисовна), ФГОС (старый) учебного пособия издательства Просвещение.