Номер 30, страница 14 - гдз по алгебре 9 класс учебник Макарычев, Миндюк

Алгебра, 9 класс Учебник, авторы: Макарычев Юрий Николаевич, Миндюк Нора Григорьевна, Нешков Константин Иванович, Суворова Светлана Борисовна, издательство Просвещение, Москва, 2014 - 2024

Авторы: Макарычев Ю. Н., Миндюк Н. Г., Нешков К. И., Суворова С. Б.

Тип: Учебник

Издательство: Просвещение

Год издания: 2014 - 2024

ISBN: 978-5-09-0779-15

Допущено Министерством просвещения Российской Федерации

Популярные ГДЗ в 9 классе

Глава 1. Квадратичная функция. Параграф 1. Функции и их свойства. 1. Функция. Область определения и область значений функции - номер 30, страница 14.

№30 (с. 14)
Условие. №30 (с. 14)
скриншот условия
Алгебра, 9 класс Учебник, авторы: Макарычев Юрий Николаевич, Миндюк Нора Григорьевна, Нешков Константин Иванович, Суворова Светлана Борисовна, издательство Просвещение, Москва, 2014 - 2024, страница 14, номер 30, Условие

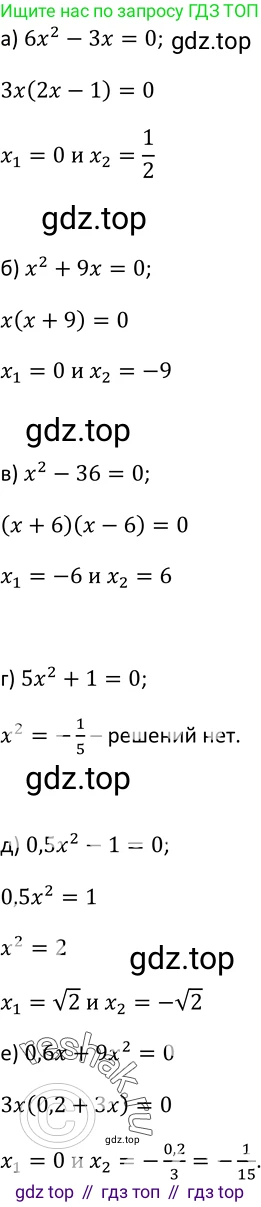
30. Решите неполное квадратное уравнение:

а) $6x^2 - 3x = 0;$

б) $x^2 + 9x = 0;$

в) $x^2 - 36 = 0;$

г) $5x^2 + 1 = 0;$

д) $0,5x^2 - 1 = 0;$

е) $0,6x + 9x^2 = 0.$

Решение 1. №30 (с. 14)
Алгебра, 9 класс Учебник, авторы: Макарычев Юрий Николаевич, Миндюк Нора Григорьевна, Нешков Константин Иванович, Суворова Светлана Борисовна, издательство Просвещение, Москва, 2014 - 2024, страница 14, номер 30, Решение 1
Алгебра, 9 класс Учебник, авторы: Макарычев Юрий Николаевич, Миндюк Нора Григорьевна, Нешков Константин Иванович, Суворова Светлана Борисовна, издательство Просвещение, Москва, 2014 - 2024, страница 14, номер 30, Решение 1 (продолжение 2)
Решение 2. №30 (с. 14)
Алгебра, 9 класс Учебник, авторы: Макарычев Юрий Николаевич, Миндюк Нора Григорьевна, Нешков Константин Иванович, Суворова Светлана Борисовна, издательство Просвещение, Москва, 2014 - 2024, страница 14, номер 30, Решение 2
Решение 3. №30 (с. 14)
Алгебра, 9 класс Учебник, авторы: Макарычев Юрий Николаевич, Миндюк Нора Григорьевна, Нешков Константин Иванович, Суворова Светлана Борисовна, издательство Просвещение, Москва, 2014 - 2024, страница 14, номер 30, Решение 3
Решение 4. №30 (с. 14)
Алгебра, 9 класс Учебник, авторы: Макарычев Юрий Николаевич, Миндюк Нора Григорьевна, Нешков Константин Иванович, Суворова Светлана Борисовна, издательство Просвещение, Москва, 2014 - 2024, страница 14, номер 30, Решение 4
Решение 5. №30 (с. 14)
Алгебра, 9 класс Учебник, авторы: Макарычев Юрий Николаевич, Миндюк Нора Григорьевна, Нешков Константин Иванович, Суворова Светлана Борисовна, издательство Просвещение, Москва, 2014 - 2024, страница 14, номер 30, Решение 5
Решение 6. №30 (с. 14)
Алгебра, 9 класс Учебник, авторы: Макарычев Юрий Николаевич, Миндюк Нора Григорьевна, Нешков Константин Иванович, Суворова Светлана Борисовна, издательство Просвещение, Москва, 2014 - 2024, страница 14, номер 30, Решение 6
Решение 7. №30 (с. 14)
Алгебра, 9 класс Учебник, авторы: Макарычев Юрий Николаевич, Миндюк Нора Григорьевна, Нешков Константин Иванович, Суворова Светлана Борисовна, издательство Просвещение, Москва, 2014 - 2024, страница 14, номер 30, Решение 7
Решение 8. №30 (с. 14)

а) $6x^2 - 3x = 0$

Это неполное квадратное уравнение, в котором отсутствует свободный член ($c=0$). Для его решения вынесем общий множитель $3x$ за скобки:

$3x(2x - 1) = 0$

Произведение равно нулю тогда и только тогда, когда хотя бы один из множителей равен нулю. Поэтому мы получаем два уравнения:

1) $3x = 0$, откуда $x_1 = 0$.

2) $2x - 1 = 0$, откуда $2x = 1$ и $x_2 = \frac{1}{2}$ или $0.5$.

Ответ: $x_1 = 0, x_2 = 0.5$.

б) $x^2 + 9x = 0$

Это также неполное квадратное уравнение с $c=0$. Вынесем общий множитель $x$ за скобки:

$x(x + 9) = 0$

Приравниваем каждый множитель к нулю:

1) $x_1 = 0$.

2) $x + 9 = 0$, откуда $x_2 = -9$.

Ответ: $x_1 = 0, x_2 = -9$.

в) $x^2 - 36 = 0$

Это неполное квадратное уравнение, в котором отсутствует член с первой степенью переменной ($b=0$). Перенесем свободный член в правую часть:

$x^2 = 36$

Теперь извлечем квадратный корень из обеих частей уравнения, не забывая про два возможных знака:

$x = \pm\sqrt{36}$

Таким образом, получаем два корня: $x_1 = 6$ и $x_2 = -6$.

Ответ: $x_1 = 6, x_2 = -6$.

г) $5x^2 + 1 = 0$

Это неполное квадратное уравнение с $b=0$. Выразим $x^2$:

$5x^2 = -1$

$x^2 = -\frac{1}{5}$

Так как квадрат любого действительного числа не может быть отрицательным, данное уравнение не имеет решений в множестве действительных чисел.

Ответ: нет действительных корней.

д) $0.5x^2 - 1 = 0$

Это неполное квадратное уравнение с $b=0$. Перенесем свободный член вправо и выразим $x^2$:

$0.5x^2 = 1$

$x^2 = \frac{1}{0.5}$

$x^2 = 2$

Извлекая квадратный корень, получаем:

$x = \pm\sqrt{2}$

Корни уравнения: $x_1 = \sqrt{2}$ и $x_2 = -\sqrt{2}$.

Ответ: $x_1 = \sqrt{2}, x_2 = -\sqrt{2}$.

е) $0.6x + 9x^2 = 0$

Это неполное квадратное уравнение с $c=0$. Для удобства запишем его в стандартном виде $ax^2 + bx = 0$:

$9x^2 + 0.6x = 0$

Вынесем общий множитель $x$ за скобки:

$x(9x + 0.6) = 0$

Приравниваем каждый множитель к нулю:

1) $x_1 = 0$.

2) $9x + 0.6 = 0$, откуда $9x = -0.6$ и $x_2 = -\frac{0.6}{9} = -\frac{6}{90} = -\frac{1}{15}$.

Ответ: $x_1 = 0, x_2 = -\frac{1}{15}$.

Помогло решение? Оставьте отзыв в комментариях ниже.

Присоединяйтесь к Телеграм-группе @top_gdz

Присоединиться

Мы подготовили для вас ответ c подробным объяснением домашего задания по алгебре за 9 класс, для упражнения номер 30 расположенного на странице 14 к учебнику 2014 - 2024 года издания для учащихся школ и гимназий.

Теперь на нашем сайте ГДЗ.ТОП вы всегда легко и бесплатно найдёте условие с правильным ответом на вопрос «Как решить ДЗ» и «Как сделать» задание по алгебре к упражнению №30 (с. 14), авторов: Макарычев (Юрий Николаевич), Миндюк (Нора Григорьевна), Нешков (Константин Иванович), Суворова (Светлана Борисовна), ФГОС (старый) учебного пособия издательства Просвещение.