Номер 370, страница 105 - гдз по алгебре 9 класс учебник Макарычев, Миндюк

Алгебра, 9 класс Учебник, авторы: Макарычев Юрий Николаевич, Миндюк Нора Григорьевна, Нешков Константин Иванович, Суворова Светлана Борисовна, издательство Просвещение, Москва, 2014 - 2024

Авторы: Макарычев Ю. Н., Миндюк Н. Г., Нешков К. И., Суворова С. Б.

Тип: Учебник

Издательство: Просвещение

Год издания: 2014 - 2024

ISBN: 978-5-09-0779-15

Допущено Министерством просвещения Российской Федерации

Популярные ГДЗ в 9 классе

Глава 2. Уравнения и неравенства с одной переменной. Дополнительные упражнения к главе 2. К параграфу 5 - номер 370, страница 105.

№370 (с. 105)
Условие. №370 (с. 105)
скриншот условия
Алгебра, 9 класс Учебник, авторы: Макарычев Юрий Николаевич, Миндюк Нора Григорьевна, Нешков Константин Иванович, Суворова Светлана Борисовна, издательство Просвещение, Москва, 2014 - 2024, страница 105, номер 370, Условие

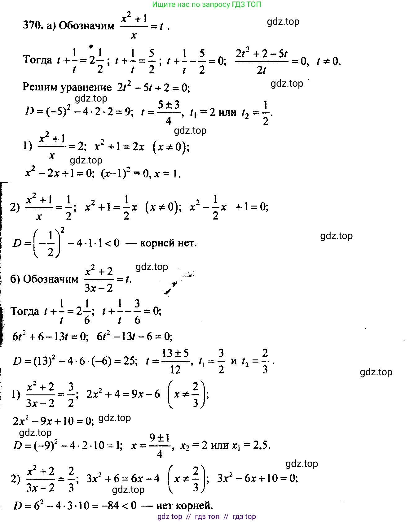
370. Решите уравнение, обозначив одно из слагаемых через t, а другое через $\frac{1}{t}$:

а) $\frac{x^2+1}{x} + \frac{x}{x^2+1} = 2\frac{1}{2}$;

б) $\frac{x^2+2}{3x-2} + \frac{3x-2}{x^2+2} = 2\frac{1}{6}$.

Решение 1. №370 (с. 105)
Алгебра, 9 класс Учебник, авторы: Макарычев Юрий Николаевич, Миндюк Нора Григорьевна, Нешков Константин Иванович, Суворова Светлана Борисовна, издательство Просвещение, Москва, 2014 - 2024, страница 105, номер 370, Решение 1
Алгебра, 9 класс Учебник, авторы: Макарычев Юрий Николаевич, Миндюк Нора Григорьевна, Нешков Константин Иванович, Суворова Светлана Борисовна, издательство Просвещение, Москва, 2014 - 2024, страница 105, номер 370, Решение 1 (продолжение 2)
Решение 2. №370 (с. 105)
Алгебра, 9 класс Учебник, авторы: Макарычев Юрий Николаевич, Миндюк Нора Григорьевна, Нешков Константин Иванович, Суворова Светлана Борисовна, издательство Просвещение, Москва, 2014 - 2024, страница 105, номер 370, Решение 2
Алгебра, 9 класс Учебник, авторы: Макарычев Юрий Николаевич, Миндюк Нора Григорьевна, Нешков Константин Иванович, Суворова Светлана Борисовна, издательство Просвещение, Москва, 2014 - 2024, страница 105, номер 370, Решение 2 (продолжение 2)
Решение 3. №370 (с. 105)
Алгебра, 9 класс Учебник, авторы: Макарычев Юрий Николаевич, Миндюк Нора Григорьевна, Нешков Константин Иванович, Суворова Светлана Борисовна, издательство Просвещение, Москва, 2014 - 2024, страница 105, номер 370, Решение 3
Решение 4. №370 (с. 105)
Алгебра, 9 класс Учебник, авторы: Макарычев Юрий Николаевич, Миндюк Нора Григорьевна, Нешков Константин Иванович, Суворова Светлана Борисовна, издательство Просвещение, Москва, 2014 - 2024, страница 105, номер 370, Решение 4
Решение 5. №370 (с. 105)
Алгебра, 9 класс Учебник, авторы: Макарычев Юрий Николаевич, Миндюк Нора Григорьевна, Нешков Константин Иванович, Суворова Светлана Борисовна, издательство Просвещение, Москва, 2014 - 2024, страница 105, номер 370, Решение 5
Решение 6. №370 (с. 105)
Алгебра, 9 класс Учебник, авторы: Макарычев Юрий Николаевич, Миндюк Нора Григорьевна, Нешков Константин Иванович, Суворова Светлана Борисовна, издательство Просвещение, Москва, 2014 - 2024, страница 105, номер 370, Решение 6
Решение 7. №370 (с. 105)
Алгебра, 9 класс Учебник, авторы: Макарычев Юрий Николаевич, Миндюк Нора Григорьевна, Нешков Константин Иванович, Суворова Светлана Борисовна, издательство Просвещение, Москва, 2014 - 2024, страница 105, номер 370, Решение 7
Решение 8. №370 (с. 105)

а)

Дано уравнение: $ \frac{x^2 + 1}{x} + \frac{x}{x^2 + 1} = 2\frac{1}{2} $.

Заметим, что слагаемые в левой части уравнения являются взаимно обратными выражениями. Следуя указанию, введем замену переменной.

Пусть $ t = \frac{x^2 + 1}{x} $. Тогда второе слагаемое $ \frac{x}{x^2 + 1} $ будет равно $ \frac{1}{t} $.

Определим область допустимых значений (ОДЗ) для переменной $x$. Знаменатели дробей не могут быть равны нулю: $ x \neq 0 $ и $ x^2 + 1 \neq 0 $. Выражение $x^2 + 1$ всегда положительно для любого действительного $x$, поэтому единственное ограничение — $ x \neq 0 $.

Подставим новую переменную в уравнение. Смешанное число $2\frac{1}{2}$ представим в виде неправильной дроби $ \frac{5}{2} $.

$ t + \frac{1}{t} = \frac{5}{2} $

Умножим обе части уравнения на $2t$, чтобы избавиться от знаменателей. Это возможно, так как $t \neq 0$ (поскольку $x^2+1 \neq 0$).

$ 2t \cdot t + 2t \cdot \frac{1}{t} = 2t \cdot \frac{5}{2} $

$ 2t^2 + 2 = 5t $

Перенесем все члены в левую часть, чтобы получить стандартное квадратное уравнение:

$ 2t^2 - 5t + 2 = 0 $

Решим это уравнение относительно $t$ с помощью дискриминанта:

$ D = b^2 - 4ac = (-5)^2 - 4 \cdot 2 \cdot 2 = 25 - 16 = 9 $.

Корни уравнения для $t$:

$ t_1 = \frac{-b + \sqrt{D}}{2a} = \frac{5 + \sqrt{9}}{2 \cdot 2} = \frac{5 + 3}{4} = \frac{8}{4} = 2 $

$ t_2 = \frac{-b - \sqrt{D}}{2a} = \frac{5 - \sqrt{9}}{2 \cdot 2} = \frac{5 - 3}{4} = \frac{2}{4} = \frac{1}{2} $

Теперь необходимо выполнить обратную замену для каждого найденного значения $t$.

Случай 1: $ t = 2 $.

$ \frac{x^2 + 1}{x} = 2 $

$ x^2 + 1 = 2x $

$ x^2 - 2x + 1 = 0 $

Это полный квадрат разности: $ (x - 1)^2 = 0 $.

Отсюда $ x - 1 = 0 $, то есть $ x = 1 $. Этот корень удовлетворяет ОДЗ ($ x \neq 0 $).

Случай 2: $ t = \frac{1}{2} $.

$ \frac{x^2 + 1}{x} = \frac{1}{2} $

$ 2(x^2 + 1) = x $

$ 2x^2 + 2 = x $

$ 2x^2 - x + 2 = 0 $

Найдем дискриминант этого квадратного уравнения:

$ D = (-1)^2 - 4 \cdot 2 \cdot 2 = 1 - 16 = -15 $.

Так как дискриминант $ D < 0 $, это уравнение не имеет действительных корней.

Следовательно, исходное уравнение имеет только один корень.

Ответ: $1$.

б)

Дано уравнение: $ \frac{x^2 + 2}{3x - 2} + \frac{3x - 2}{x^2 + 2} = 2\frac{1}{6} $.

Аналогично предыдущему пункту, слагаемые в левой части являются взаимно обратными. Введем замену.

Пусть $ t = \frac{x^2 + 2}{3x - 2} $. Тогда $ \frac{3x - 2}{x^2 + 2} = \frac{1}{t} $.

ОДЗ: знаменатели не должны быть равны нулю. $ 3x - 2 \neq 0 \implies x \neq \frac{2}{3} $. Знаменатель $ x^2 + 2 $ всегда больше нуля.

Подставим $t$ в уравнение, предварительно переведя $2\frac{1}{6}$ в неправильную дробь $ \frac{13}{6} $.

$ t + \frac{1}{t} = \frac{13}{6} $

Умножим обе части на $6t$ (при $t \neq 0$):

$ 6t^2 + 6 = 13t $

Приведем к стандартному виду квадратного уравнения:

$ 6t^2 - 13t + 6 = 0 $

Найдем дискриминант:

$ D = b^2 - 4ac = (-13)^2 - 4 \cdot 6 \cdot 6 = 169 - 144 = 25 $.

Корни уравнения для $t$:

$ t_1 = \frac{13 + \sqrt{25}}{2 \cdot 6} = \frac{13 + 5}{12} = \frac{18}{12} = \frac{3}{2} $

$ t_2 = \frac{13 - \sqrt{25}}{2 \cdot 6} = \frac{13 - 5}{12} = \frac{8}{12} = \frac{2}{3} $

Выполним обратную замену для каждого значения $t$.

Случай 1: $ t = \frac{3}{2} $.

$ \frac{x^2 + 2}{3x - 2} = \frac{3}{2} $

Используем свойство пропорции:

$ 2(x^2 + 2) = 3(3x - 2) $

$ 2x^2 + 4 = 9x - 6 $

$ 2x^2 - 9x + 10 = 0 $

Решим это квадратное уравнение. Дискриминант:

$ D = (-9)^2 - 4 \cdot 2 \cdot 10 = 81 - 80 = 1 $.

Корни:

$ x_1 = \frac{9 + \sqrt{1}}{2 \cdot 2} = \frac{10}{4} = \frac{5}{2} = 2,5 $

$ x_2 = \frac{9 - \sqrt{1}}{2 \cdot 2} = \frac{8}{4} = 2 $

Оба корня ($2$ и $2,5$) удовлетворяют ОДЗ ($ x \neq \frac{2}{3} $).

Случай 2: $ t = \frac{2}{3} $.

$ \frac{x^2 + 2}{3x - 2} = \frac{2}{3} $

$ 3(x^2 + 2) = 2(3x - 2) $

$ 3x^2 + 6 = 6x - 4 $

$ 3x^2 - 6x + 10 = 0 $

Найдем дискриминант:

$ D = (-6)^2 - 4 \cdot 3 \cdot 10 = 36 - 120 = -84 $.

Так как $ D < 0 $, это уравнение не имеет действительных корней.

Следовательно, решениями исходного уравнения являются $x=2$ и $x=2,5$.

Ответ: $2; 2,5$.

Помогло решение? Оставьте отзыв в комментариях ниже.

Присоединяйтесь к Телеграм-группе @top_gdz

Присоединиться

Мы подготовили для вас ответ c подробным объяснением домашего задания по алгебре за 9 класс, для упражнения номер 370 расположенного на странице 105 к учебнику 2014 - 2024 года издания для учащихся школ и гимназий.

Теперь на нашем сайте ГДЗ.ТОП вы всегда легко и бесплатно найдёте условие с правильным ответом на вопрос «Как решить ДЗ» и «Как сделать» задание по алгебре к упражнению №370 (с. 105), авторов: Макарычев (Юрий Николаевич), Миндюк (Нора Григорьевна), Нешков (Константин Иванович), Суворова (Светлана Борисовна), ФГОС (старый) учебного пособия издательства Просвещение.