Номер 466, страница 123 - гдз по алгебре 9 класс учебник Макарычев, Миндюк

Алгебра, 9 класс Учебник, авторы: Макарычев Юрий Николаевич, Миндюк Нора Григорьевна, Нешков Константин Иванович, Суворова Светлана Борисовна, издательство Просвещение, Москва, 2014 - 2024

Авторы: Макарычев Ю. Н., Миндюк Н. Г., Нешков К. И., Суворова С. Б.

Тип: Учебник

Издательство: Просвещение

Год издания: 2014 - 2024

ISBN: 978-5-09-0779-15

Допущено Министерством просвещения Российской Федерации

Популярные ГДЗ в 9 классе

Глава 3. Уравнения и неравенства с двумя переменными. Параграф 7. Уравнения с двумя переменными и их системы. 20. Решение задач с помощью систем уравнений второй степени - номер 466, страница 123.

№466 (с. 123)
Условие. №466 (с. 123)
скриншот условия
Алгебра, 9 класс Учебник, авторы: Макарычев Юрий Николаевич, Миндюк Нора Григорьевна, Нешков Константин Иванович, Суворова Светлана Борисовна, издательство Просвещение, Москва, 2014 - 2024, страница 123, номер 466, Условие

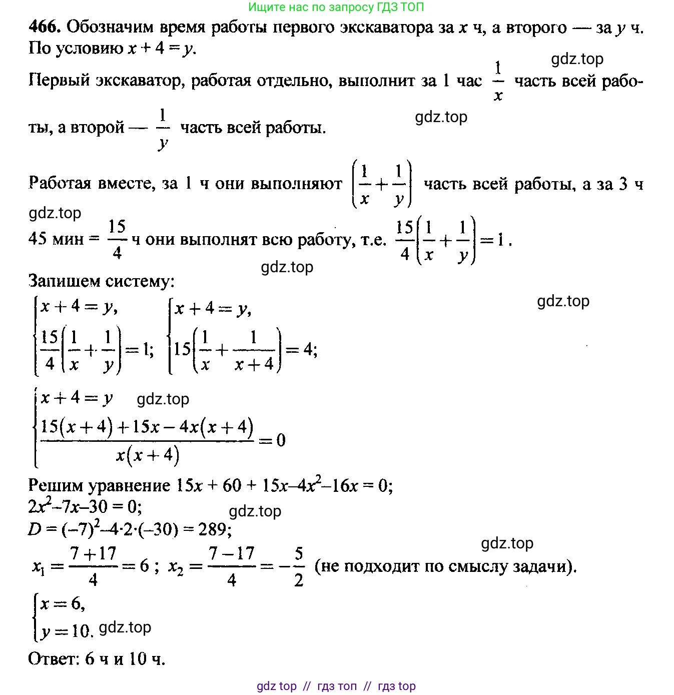
466. Один комбайнёр может убрать урожай пшеницы с участка на 24 ч быстрее, чем другой. При совместной же работе они закончат уборку урожая за 35 ч. Сколько времени потребуется каждому комбайнёру, чтобы одному убрать урожай?

Решение 1. №466 (с. 123)
Алгебра, 9 класс Учебник, авторы: Макарычев Юрий Николаевич, Миндюк Нора Григорьевна, Нешков Константин Иванович, Суворова Светлана Борисовна, издательство Просвещение, Москва, 2014 - 2024, страница 123, номер 466, Решение 1
Решение 2. №466 (с. 123)
Алгебра, 9 класс Учебник, авторы: Макарычев Юрий Николаевич, Миндюк Нора Григорьевна, Нешков Константин Иванович, Суворова Светлана Борисовна, издательство Просвещение, Москва, 2014 - 2024, страница 123, номер 466, Решение 2
Решение 3. №466 (с. 123)
Алгебра, 9 класс Учебник, авторы: Макарычев Юрий Николаевич, Миндюк Нора Григорьевна, Нешков Константин Иванович, Суворова Светлана Борисовна, издательство Просвещение, Москва, 2014 - 2024, страница 123, номер 466, Решение 3
Решение 4. №466 (с. 123)
Алгебра, 9 класс Учебник, авторы: Макарычев Юрий Николаевич, Миндюк Нора Григорьевна, Нешков Константин Иванович, Суворова Светлана Борисовна, издательство Просвещение, Москва, 2014 - 2024, страница 123, номер 466, Решение 4
Решение 5. №466 (с. 123)
Алгебра, 9 класс Учебник, авторы: Макарычев Юрий Николаевич, Миндюк Нора Григорьевна, Нешков Константин Иванович, Суворова Светлана Борисовна, издательство Просвещение, Москва, 2014 - 2024, страница 123, номер 466, Решение 5
Решение 6. №466 (с. 123)
Алгебра, 9 класс Учебник, авторы: Макарычев Юрий Николаевич, Миндюк Нора Григорьевна, Нешков Константин Иванович, Суворова Светлана Борисовна, издательство Просвещение, Москва, 2014 - 2024, страница 123, номер 466, Решение 6
Решение 7. №466 (с. 123)
Алгебра, 9 класс Учебник, авторы: Макарычев Юрий Николаевич, Миндюк Нора Григорьевна, Нешков Константин Иванович, Суворова Светлана Борисовна, издательство Просвещение, Москва, 2014 - 2024, страница 123, номер 466, Решение 7 Алгебра, 9 класс Учебник, авторы: Макарычев Юрий Николаевич, Миндюк Нора Григорьевна, Нешков Константин Иванович, Суворова Светлана Борисовна, издательство Просвещение, Москва, 2014 - 2024, страница 123, номер 466, Решение 7 (продолжение 2)
Решение 8. №466 (с. 123)

Это задача на совместную работу. Обозначим за $x$ время в часах, за которое первый (более быстрый) комбайнёр может убрать весь урожай, работая один. По условию задачи, он выполняет эту работу на 24 часа быстрее, чем второй.

Следовательно, время, которое потребуется второму комбайнёру для выполнения той же работы в одиночку, составляет $(x + 24)$ часов.

Производительность (часть работы, выполняемая за 1 час) первого комбайнёра равна $\frac{1}{x}$.

Производительность второго комбайнёра равна $\frac{1}{x+24}$.

При совместной работе их производительности складываются. Таким образом, их общая производительность составляет:

$$ \frac{1}{x} + \frac{1}{x+24} $$

Из условия известно, что вместе они заканчивают уборку за 35 часов. Это означает, что их общая производительность равна $\frac{1}{35}$ всей работы в час. Теперь мы можем составить уравнение:

$$ \frac{1}{x} + \frac{1}{x+24} = \frac{1}{35} $$

Для решения уравнения приведем левую часть к общему знаменателю:

$$ \frac{(x+24) + x}{x(x+24)} = \frac{1}{35} $$

$$ \frac{2x+24}{x^2+24x} = \frac{1}{35} $$

Теперь воспользуемся свойством пропорции (перекрестное умножение):

$$ 35(2x+24) = 1(x^2+24x) $$

Раскроем скобки и приведем подобные слагаемые:

$$ 70x + 840 = x^2 + 24x $$

Перенесем все члены в одну сторону, чтобы получить стандартное квадратное уравнение:

$$ x^2 + 24x - 70x - 840 = 0 $$

$$ x^2 - 46x - 840 = 0 $$

Решим полученное квадратное уравнение с помощью дискриминанта $D = b^2 - 4ac$:

$$ D = (-46)^2 - 4 \cdot 1 \cdot (-840) = 2116 + 3360 = 5476 $$

Найдем корни уравнения, используя формулу $x = \frac{-b \pm \sqrt{D}}{2a}$:

$$ \sqrt{D} = \sqrt{5476} = 74 $$

$$ x_1 = \frac{-(-46) + 74}{2 \cdot 1} = \frac{46 + 74}{2} = \frac{120}{2} = 60 $$

$$ x_2 = \frac{-(-46) - 74}{2 \cdot 1} = \frac{46 - 74}{2} = \frac{-28}{2} = -14 $$

Поскольку время не может быть отрицательной величиной, корень $x_2 = -14$ не является решением задачи.

Таким образом, время, необходимое первому комбайнёру для уборки урожая, составляет $x = 60$ часов.

Время, необходимое второму комбайнёру, составляет:

$$ x + 24 = 60 + 24 = 84 \text{ часа} $$

Ответ: первому комбайнёру потребуется 60 часов, а второму — 84 часа.

Помогло решение? Оставьте отзыв в комментариях ниже.

Присоединяйтесь к Телеграм-группе @top_gdz

Присоединиться

Мы подготовили для вас ответ c подробным объяснением домашего задания по алгебре за 9 класс, для упражнения номер 466 расположенного на странице 123 к учебнику 2014 - 2024 года издания для учащихся школ и гимназий.

Теперь на нашем сайте ГДЗ.ТОП вы всегда легко и бесплатно найдёте условие с правильным ответом на вопрос «Как решить ДЗ» и «Как сделать» задание по алгебре к упражнению №466 (с. 123), авторов: Макарычев (Юрий Николаевич), Миндюк (Нора Григорьевна), Нешков (Константин Иванович), Суворова (Светлана Борисовна), ФГОС (старый) учебного пособия издательства Просвещение.