Номер 494, страница 130 - гдз по алгебре 9 класс учебник Макарычев, Миндюк

Алгебра, 9 класс Учебник, авторы: Макарычев Юрий Николаевич, Миндюк Нора Григорьевна, Нешков Константин Иванович, Суворова Светлана Борисовна, издательство Просвещение, Москва, 2014 - 2024

Авторы: Макарычев Ю. Н., Миндюк Н. Г., Нешков К. И., Суворова С. Б.

Тип: Учебник

Издательство: Просвещение

Год издания: 2014 - 2024

ISBN: 978-5-09-0779-15

Допущено Министерством просвещения Российской Федерации

Популярные ГДЗ в 9 классе

Глава 3. Уравнения и неравенства с двумя переменными. Параграф 8. Неравенства с двумя переменными и их системы. 21. Неравенства с двумя переменными - номер 494, страница 130.

№494 (с. 130)
Условие. №494 (с. 130)
скриншот условия
Алгебра, 9 класс Учебник, авторы: Макарычев Юрий Николаевич, Миндюк Нора Григорьевна, Нешков Константин Иванович, Суворова Светлана Борисовна, издательство Просвещение, Москва, 2014 - 2024, страница 130, номер 494, Условие

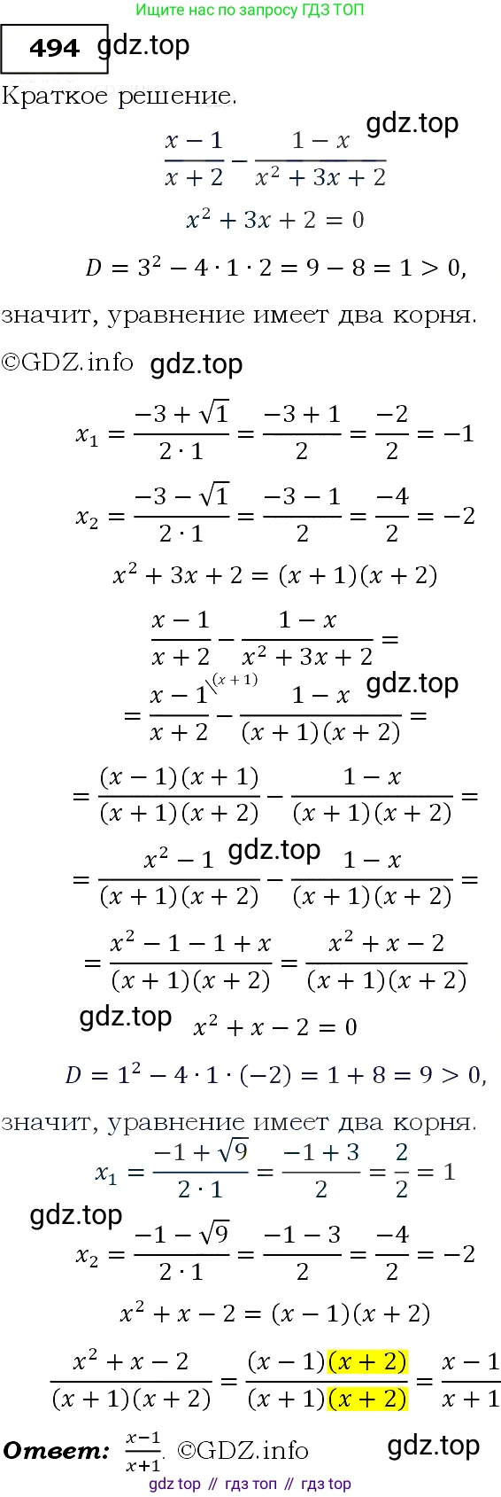
494. Представьте в виде рациональной дроби:

$\frac{x - 1}{x + 2} - \frac{1 - x}{x^2 + 3x + 2}$

Решение 1. №494 (с. 130)
Алгебра, 9 класс Учебник, авторы: Макарычев Юрий Николаевич, Миндюк Нора Григорьевна, Нешков Константин Иванович, Суворова Светлана Борисовна, издательство Просвещение, Москва, 2014 - 2024, страница 130, номер 494, Решение 1
Решение 2. №494 (с. 130)
Алгебра, 9 класс Учебник, авторы: Макарычев Юрий Николаевич, Миндюк Нора Григорьевна, Нешков Константин Иванович, Суворова Светлана Борисовна, издательство Просвещение, Москва, 2014 - 2024, страница 130, номер 494, Решение 2
Решение 3. №494 (с. 130)
Алгебра, 9 класс Учебник, авторы: Макарычев Юрий Николаевич, Миндюк Нора Григорьевна, Нешков Константин Иванович, Суворова Светлана Борисовна, издательство Просвещение, Москва, 2014 - 2024, страница 130, номер 494, Решение 3
Решение 4. №494 (с. 130)
Алгебра, 9 класс Учебник, авторы: Макарычев Юрий Николаевич, Миндюк Нора Григорьевна, Нешков Константин Иванович, Суворова Светлана Борисовна, издательство Просвещение, Москва, 2014 - 2024, страница 130, номер 494, Решение 4
Решение 5. №494 (с. 130)
Алгебра, 9 класс Учебник, авторы: Макарычев Юрий Николаевич, Миндюк Нора Григорьевна, Нешков Константин Иванович, Суворова Светлана Борисовна, издательство Просвещение, Москва, 2014 - 2024, страница 130, номер 494, Решение 5
Решение 6. №494 (с. 130)
Алгебра, 9 класс Учебник, авторы: Макарычев Юрий Николаевич, Миндюк Нора Григорьевна, Нешков Константин Иванович, Суворова Светлана Борисовна, издательство Просвещение, Москва, 2014 - 2024, страница 130, номер 494, Решение 6
Решение 7. №494 (с. 130)
Алгебра, 9 класс Учебник, авторы: Макарычев Юрий Николаевич, Миндюк Нора Григорьевна, Нешков Константин Иванович, Суворова Светлана Борисовна, издательство Просвещение, Москва, 2014 - 2024, страница 130, номер 494, Решение 7
Решение 8. №494 (с. 130)

Чтобы представить выражение в виде рациональной дроби, необходимо выполнить вычитание дробей. Для этого приведем их к общему знаменателю.

Исходное выражение:

$ \frac{x-1}{x+2} - \frac{1-x}{x^2+3x+2} $

1. Разложим на множители знаменатель второй дроби $x^2+3x+2$. Для этого решим квадратное уравнение $x^2+3x+2=0$.

Найдем дискриминант:

$ D = b^2 - 4ac = 3^2 - 4 \cdot 1 \cdot 2 = 9 - 8 = 1 $

Найдем корни уравнения:

$ x_1 = \frac{-b + \sqrt{D}}{2a} = \frac{-3 + \sqrt{1}}{2 \cdot 1} = \frac{-3+1}{2} = \frac{-2}{2} = -1 $

$ x_2 = \frac{-b - \sqrt{D}}{2a} = \frac{-3 - \sqrt{1}}{2 \cdot 1} = \frac{-3-1}{2} = \frac{-4}{2} = -2 $

Таким образом, знаменатель можно разложить на множители: $x^2+3x+2 = (x-x_1)(x-x_2) = (x-(-1))(x-(-2)) = (x+1)(x+2)$.

2. Перепишем исходное выражение с разложенным на множители знаменателем:

$ \frac{x-1}{x+2} - \frac{1-x}{(x+1)(x+2)} $

3. Общий знаменатель для дробей $ \frac{x-1}{x+2} $ и $ \frac{1-x}{(x+1)(x+2)} $ равен $(x+1)(x+2)$.

4. Приведем первую дробь к общему знаменателю, домножив ее числитель и знаменатель на дополнительный множитель $(x+1)$:

$ \frac{(x-1)(x+1)}{(x+2)(x+1)} - \frac{1-x}{(x+1)(x+2)} $

5. Выполним вычитание дробей с одинаковыми знаменателями:

$ \frac{(x-1)(x+1) - (1-x)}{(x+1)(x+2)} $

6. Упростим числитель. Выражение $(x-1)(x+1)$ является разностью квадратов и равно $x^2-1$. Раскроем скобки:

$ (x^2-1) - (1-x) = x^2 - 1 - 1 + x = x^2 + x - 2 $

Получим дробь:

$ \frac{x^2+x-2}{(x+1)(x+2)} $

7. Разложим числитель $x^2+x-2$ на множители. Для этого решим уравнение $x^2+x-2=0$.

$ D = 1^2 - 4 \cdot 1 \cdot (-2) = 1+8=9 $

$ x_1 = \frac{-1+\sqrt{9}}{2} = \frac{-1+3}{2} = 1 $

$ x_2 = \frac{-1-\sqrt{9}}{2} = \frac{-1-3}{2} = -2 $

Следовательно, $x^2+x-2 = (x-1)(x-(-2)) = (x-1)(x+2)$.

8. Подставим разложенный числитель обратно в дробь и сократим:

$ \frac{(x-1)(x+2)}{(x+1)(x+2)} = \frac{x-1}{x+1} $

Сокращение возможно при условии, что $x+2 \neq 0$, то есть $x \neq -2$. Это условие совпадает с областью допустимых значений исходного выражения.

Ответ: $ \frac{x-1}{x+1} $

Помогло решение? Оставьте отзыв в комментариях ниже.

Присоединяйтесь к Телеграм-группе @top_gdz

Присоединиться

Мы подготовили для вас ответ c подробным объяснением домашего задания по алгебре за 9 класс, для упражнения номер 494 расположенного на странице 130 к учебнику 2014 - 2024 года издания для учащихся школ и гимназий.

Теперь на нашем сайте ГДЗ.ТОП вы всегда легко и бесплатно найдёте условие с правильным ответом на вопрос «Как решить ДЗ» и «Как сделать» задание по алгебре к упражнению №494 (с. 130), авторов: Макарычев (Юрий Николаевич), Миндюк (Нора Григорьевна), Нешков (Константин Иванович), Суворова (Светлана Борисовна), ФГОС (старый) учебного пособия издательства Просвещение.