Номер 649, страница 170 - гдз по алгебре 9 класс учебник Макарычев, Миндюк

Алгебра, 9 класс Учебник, авторы: Макарычев Юрий Николаевич, Миндюк Нора Григорьевна, Нешков Константин Иванович, Суворова Светлана Борисовна, издательство Просвещение, Москва, 2014 - 2024

Авторы: Макарычев Ю. Н., Миндюк Н. Г., Нешков К. И., Суворова С. Б.

Тип: Учебник

Издательство: Просвещение

Год издания: 2014 - 2024

ISBN: 978-5-09-0779-15

Допущено Министерством просвещения Российской Федерации

Популярные ГДЗ в 9 классе

Глава 4. Арифметическая и геометрическая прогрессии. Параграф 10. Геометрическая прогрессия. 28. Формула суммы первых n членов геометрической прогрессии - номер 649, страница 170.

№649 (с. 170)
Условие. №649 (с. 170)
скриншот условия
Алгебра, 9 класс Учебник, авторы: Макарычев Юрий Николаевич, Миндюк Нора Григорьевна, Нешков Константин Иванович, Суворова Светлана Борисовна, издательство Просвещение, Москва, 2014 - 2024, страница 170, номер 649, Условие

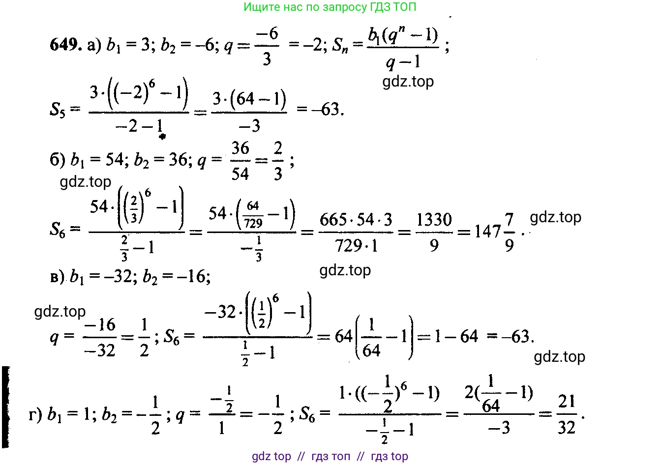
649. Найдите сумму первых шести членов геометрической прогрессии:

а) 3; -6; ... ;

б) 54; 36; ... ;

в) -32; -16; ... ;

г) 1; $-\frac{1}{2}$; ... .

Решение 1. №649 (с. 170)
Алгебра, 9 класс Учебник, авторы: Макарычев Юрий Николаевич, Миндюк Нора Григорьевна, Нешков Константин Иванович, Суворова Светлана Борисовна, издательство Просвещение, Москва, 2014 - 2024, страница 170, номер 649, Решение 1
Алгебра, 9 класс Учебник, авторы: Макарычев Юрий Николаевич, Миндюк Нора Григорьевна, Нешков Константин Иванович, Суворова Светлана Борисовна, издательство Просвещение, Москва, 2014 - 2024, страница 170, номер 649, Решение 1 (продолжение 2)
Решение 2. №649 (с. 170)
Алгебра, 9 класс Учебник, авторы: Макарычев Юрий Николаевич, Миндюк Нора Григорьевна, Нешков Константин Иванович, Суворова Светлана Борисовна, издательство Просвещение, Москва, 2014 - 2024, страница 170, номер 649, Решение 2
Алгебра, 9 класс Учебник, авторы: Макарычев Юрий Николаевич, Миндюк Нора Григорьевна, Нешков Константин Иванович, Суворова Светлана Борисовна, издательство Просвещение, Москва, 2014 - 2024, страница 170, номер 649, Решение 2 (продолжение 2)
Решение 3. №649 (с. 170)
Алгебра, 9 класс Учебник, авторы: Макарычев Юрий Николаевич, Миндюк Нора Григорьевна, Нешков Константин Иванович, Суворова Светлана Борисовна, издательство Просвещение, Москва, 2014 - 2024, страница 170, номер 649, Решение 3
Решение 4. №649 (с. 170)
Алгебра, 9 класс Учебник, авторы: Макарычев Юрий Николаевич, Миндюк Нора Григорьевна, Нешков Константин Иванович, Суворова Светлана Борисовна, издательство Просвещение, Москва, 2014 - 2024, страница 170, номер 649, Решение 4
Решение 5. №649 (с. 170)
Алгебра, 9 класс Учебник, авторы: Макарычев Юрий Николаевич, Миндюк Нора Григорьевна, Нешков Константин Иванович, Суворова Светлана Борисовна, издательство Просвещение, Москва, 2014 - 2024, страница 170, номер 649, Решение 5
Решение 6. №649 (с. 170)
Алгебра, 9 класс Учебник, авторы: Макарычев Юрий Николаевич, Миндюк Нора Григорьевна, Нешков Константин Иванович, Суворова Светлана Борисовна, издательство Просвещение, Москва, 2014 - 2024, страница 170, номер 649, Решение 6
Решение 7. №649 (с. 170)
Алгебра, 9 класс Учебник, авторы: Макарычев Юрий Николаевич, Миндюк Нора Григорьевна, Нешков Константин Иванович, Суворова Светлана Борисовна, издательство Просвещение, Москва, 2014 - 2024, страница 170, номер 649, Решение 7
Решение 8. №649 (с. 170)

Для нахождения суммы первых $n$ членов геометрической прогрессии используется формула: $S_n = \frac{b_1(q^n - 1)}{q - 1}$ (или $S_n = \frac{b_1(1 - q^n)}{1 - q}$), где $b_1$ — первый член прогрессии, $q$ — знаменатель прогрессии, $n$ — количество членов. Во всех случаях нам нужно найти сумму первых шести членов, поэтому $n=6$.

а) 3; -6; ...

Дана геометрическая прогрессия, у которой первый член $b_1 = 3$, а второй член $b_2 = -6$.

Найдем знаменатель прогрессии $q$:

$q = \frac{b_2}{b_1} = \frac{-6}{3} = -2$.

Теперь найдем сумму первых шести членов ($n=6$), используя формулу $S_n = \frac{b_1(q^n - 1)}{q - 1}$:

$S_6 = \frac{3 \cdot ((-2)^6 - 1)}{-2 - 1} = \frac{3 \cdot (64 - 1)}{-3} = \frac{3 \cdot 63}{-3} = -63$.

Ответ: -63

б) 54; 36; ...

Дана геометрическая прогрессия, у которой первый член $b_1 = 54$, а второй член $b_2 = 36$.

Найдем знаменатель прогрессии $q$:

$q = \frac{b_2}{b_1} = \frac{36}{54} = \frac{2}{3}$.

Так как $|q| < 1$, удобнее использовать формулу $S_n = \frac{b_1(1 - q^n)}{1 - q}$.

Найдем сумму первых шести членов ($n=6$):

$S_6 = \frac{54 \cdot (1 - (\frac{2}{3})^6)}{1 - \frac{2}{3}} = \frac{54 \cdot (1 - \frac{64}{729})}{\frac{1}{3}} = \frac{54 \cdot (\frac{729-64}{729})}{\frac{1}{3}} = \frac{54 \cdot \frac{665}{729}}{\frac{1}{3}}$.

$S_6 = 54 \cdot \frac{665}{729} \cdot 3 = 162 \cdot \frac{665}{729} = \frac{162 \cdot 665}{729} = \frac{2 \cdot 81 \cdot 665}{9 \cdot 81} = \frac{2 \cdot 665}{9} = \frac{1330}{9}$.

Ответ: $\frac{1330}{9}$

в) -32; -16; ...

Дана геометрическая прогрессия, у которой первый член $b_1 = -32$, а второй член $b_2 = -16$.

Найдем знаменатель прогрессии $q$:

$q = \frac{b_2}{b_1} = \frac{-16}{-32} = \frac{1}{2}$.

Так как $|q| < 1$, используем формулу $S_n = \frac{b_1(1 - q^n)}{1 - q}$.

Найдем сумму первых шести членов ($n=6$):

$S_6 = \frac{-32 \cdot (1 - (\frac{1}{2})^6)}{1 - \frac{1}{2}} = \frac{-32 \cdot (1 - \frac{1}{64})}{\frac{1}{2}} = \frac{-32 \cdot \frac{63}{64}}{\frac{1}{2}}$.

$S_6 = -32 \cdot \frac{63}{64} \cdot 2 = -64 \cdot \frac{63}{64} = -63$.

Ответ: -63

г) 1; $-\frac{1}{2}$; ...

Дана геометрическая прогрессия, у которой первый член $b_1 = 1$, а второй член $b_2 = -\frac{1}{2}$.

Найдем знаменатель прогрессии $q$:

$q = \frac{b_2}{b_1} = \frac{-\frac{1}{2}}{1} = -\frac{1}{2}$.

Найдем сумму первых шести членов ($n=6$), используя формулу $S_n = \frac{b_1(1 - q^n)}{1 - q}$:

$S_6 = \frac{1 \cdot (1 - (-\frac{1}{2})^6)}{1 - (-\frac{1}{2})} = \frac{1 - \frac{1}{64}}{1 + \frac{1}{2}} = \frac{\frac{63}{64}}{\frac{3}{2}}$.

$S_6 = \frac{63}{64} \cdot \frac{2}{3} = \frac{21 \cdot 3 \cdot 2}{32 \cdot 2 \cdot 3} = \frac{21}{32}$.

Ответ: $\frac{21}{32}$

Помогло решение? Оставьте отзыв в комментариях ниже.

Присоединяйтесь к Телеграм-группе @top_gdz

Присоединиться

Мы подготовили для вас ответ c подробным объяснением домашего задания по алгебре за 9 класс, для упражнения номер 649 расположенного на странице 170 к учебнику 2014 - 2024 года издания для учащихся школ и гимназий.

Теперь на нашем сайте ГДЗ.ТОП вы всегда легко и бесплатно найдёте условие с правильным ответом на вопрос «Как решить ДЗ» и «Как сделать» задание по алгебре к упражнению №649 (с. 170), авторов: Макарычев (Юрий Николаевич), Миндюк (Нора Григорьевна), Нешков (Константин Иванович), Суворова (Светлана Борисовна), ФГОС (старый) учебного пособия издательства Просвещение.