Номер 687, страница 178 - гдз по алгебре 9 класс учебник Макарычев, Миндюк

Алгебра, 9 класс Учебник, авторы: Макарычев Юрий Николаевич, Миндюк Нора Григорьевна, Нешков Константин Иванович, Суворова Светлана Борисовна, издательство Просвещение, Москва, 2014 - 2024

Авторы: Макарычев Ю. Н., Миндюк Н. Г., Нешков К. И., Суворова С. Б.

Тип: Учебник

Издательство: Просвещение

Год издания: 2014 - 2024

ISBN: 978-5-09-0779-15

Допущено Министерством просвещения Российской Федерации

Популярные ГДЗ в 9 классе

Глава 4. Арифметическая и геометрическая прогрессии. Дополнительные упражнения к главе 4. К параграфу 9 - номер 687, страница 178.

№687 (с. 178)
Условие. №687 (с. 178)
скриншот условия
Алгебра, 9 класс Учебник, авторы: Макарычев Юрий Николаевич, Миндюк Нора Григорьевна, Нешков Константин Иванович, Суворова Светлана Борисовна, издательство Просвещение, Москва, 2014 - 2024, страница 178, номер 687, Условие

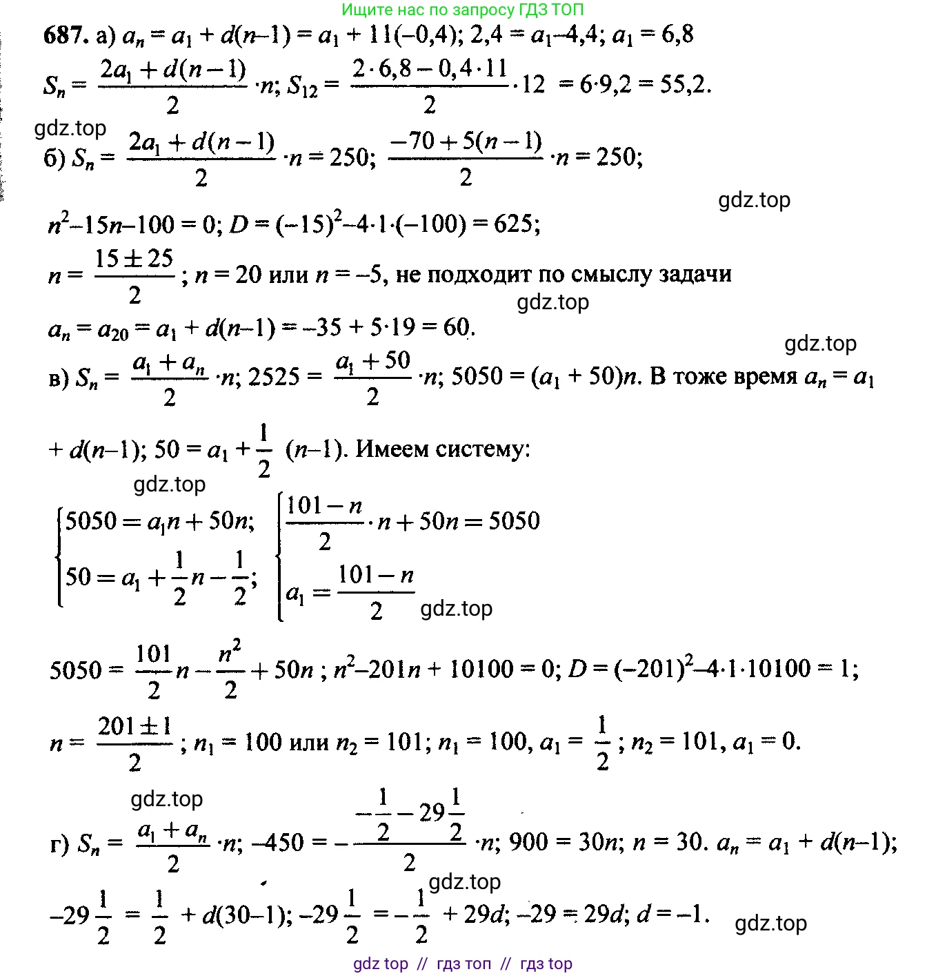
687. В арифметической прогрессии ($a_n$):

a) $d = -0,4, n = 12, a_n = 2,4$; найдите $a_1$ и $S_n$;

б) $a_1 = -35, d = 5, S_n = 250$; найдите $n$ и $a_n$;

в) $d = \frac{1}{2}, a_n = 50, S_n = 2525$; найдите $a_1$ и $n$;

г) $a_1 = -\frac{1}{2}, a_n = -29\frac{1}{2}, S_n = -450$; найдите $d$ и $n$.

Решение 1. №687 (с. 178)
Алгебра, 9 класс Учебник, авторы: Макарычев Юрий Николаевич, Миндюк Нора Григорьевна, Нешков Константин Иванович, Суворова Светлана Борисовна, издательство Просвещение, Москва, 2014 - 2024, страница 178, номер 687, Решение 1
Алгебра, 9 класс Учебник, авторы: Макарычев Юрий Николаевич, Миндюк Нора Григорьевна, Нешков Константин Иванович, Суворова Светлана Борисовна, издательство Просвещение, Москва, 2014 - 2024, страница 178, номер 687, Решение 1 (продолжение 2)
Решение 2. №687 (с. 178)
Алгебра, 9 класс Учебник, авторы: Макарычев Юрий Николаевич, Миндюк Нора Григорьевна, Нешков Константин Иванович, Суворова Светлана Борисовна, издательство Просвещение, Москва, 2014 - 2024, страница 178, номер 687, Решение 2
Алгебра, 9 класс Учебник, авторы: Макарычев Юрий Николаевич, Миндюк Нора Григорьевна, Нешков Константин Иванович, Суворова Светлана Борисовна, издательство Просвещение, Москва, 2014 - 2024, страница 178, номер 687, Решение 2 (продолжение 2)
Решение 3. №687 (с. 178)
Алгебра, 9 класс Учебник, авторы: Макарычев Юрий Николаевич, Миндюк Нора Григорьевна, Нешков Константин Иванович, Суворова Светлана Борисовна, издательство Просвещение, Москва, 2014 - 2024, страница 178, номер 687, Решение 3
Решение 4. №687 (с. 178)
Алгебра, 9 класс Учебник, авторы: Макарычев Юрий Николаевич, Миндюк Нора Григорьевна, Нешков Константин Иванович, Суворова Светлана Борисовна, издательство Просвещение, Москва, 2014 - 2024, страница 178, номер 687, Решение 4
Решение 5. №687 (с. 178)
Алгебра, 9 класс Учебник, авторы: Макарычев Юрий Николаевич, Миндюк Нора Григорьевна, Нешков Константин Иванович, Суворова Светлана Борисовна, издательство Просвещение, Москва, 2014 - 2024, страница 178, номер 687, Решение 5
Решение 6. №687 (с. 178)
Алгебра, 9 класс Учебник, авторы: Макарычев Юрий Николаевич, Миндюк Нора Григорьевна, Нешков Константин Иванович, Суворова Светлана Борисовна, издательство Просвещение, Москва, 2014 - 2024, страница 178, номер 687, Решение 6
Решение 7. №687 (с. 178)
Алгебра, 9 класс Учебник, авторы: Макарычев Юрий Николаевич, Миндюк Нора Григорьевна, Нешков Константин Иванович, Суворова Светлана Борисовна, издательство Просвещение, Москва, 2014 - 2024, страница 178, номер 687, Решение 7 Алгебра, 9 класс Учебник, авторы: Макарычев Юрий Николаевич, Миндюк Нора Григорьевна, Нешков Константин Иванович, Суворова Светлана Борисовна, издательство Просвещение, Москва, 2014 - 2024, страница 178, номер 687, Решение 7 (продолжение 2)
Решение 8. №687 (с. 178)

а) Для нахождения $a_1$ воспользуемся формулой n-го члена арифметической прогрессии $a_n = a_1 + (n-1)d$. Подставим известные значения: $d = -0,4$, $n = 12$, $a_{12} = 2,4$.
$2,4 = a_1 + (12 - 1) \cdot (-0,4)$
$2,4 = a_1 + 11 \cdot (-0,4)$
$2,4 = a_1 - 4,4$
$a_1 = 2,4 + 4,4 = 6,8$.
Теперь найдем сумму первых 12 членов прогрессии $S_{12}$, используя формулу $S_n = \frac{a_1 + a_n}{2} \cdot n$:
$S_{12} = \frac{6,8 + 2,4}{2} \cdot 12$
$S_{12} = \frac{9,2}{2} \cdot 12 = 4,6 \cdot 12 = 55,2$.
Ответ: $a_1 = 6,8$; $S_{12} = 55,2$.

б) Дано: $a_1 = -35$, $d = 5$, $S_n = 250$. Для нахождения $n$ воспользуемся формулой суммы $S_n = \frac{2a_1 + (n-1)d}{2} \cdot n$:
$250 = \frac{2 \cdot (-35) + (n-1) \cdot 5}{2} \cdot n$
$500 = (-70 + 5n - 5) \cdot n$
$500 = (5n - 75) \cdot n$
$5n^2 - 75n - 500 = 0$.
Разделим уравнение на 5:
$n^2 - 15n - 100 = 0$.
Решим полученное квадратное уравнение. Дискриминант $D = b^2 - 4ac = (-15)^2 - 4 \cdot 1 \cdot (-100) = 225 + 400 = 625$. Корень из дискриминанта $\sqrt{D} = 25$.
$n_1 = \frac{15 + 25}{2} = 20$
$n_2 = \frac{15 - 25}{2} = -5$.
Так как количество членов прогрессии $n$ должно быть натуральным числом, то $n = 20$.
Теперь найдем $a_n = a_{20}$ по формуле $a_n = a_1 + (n-1)d$:
$a_{20} = -35 + (20 - 1) \cdot 5 = -35 + 19 \cdot 5 = -35 + 95 = 60$.
Ответ: $n = 20$; $a_{20} = 60$.

в) Дано: $d = \frac{1}{2}$, $a_n = 50$, $S_n = 2525$. Составим систему уравнений, используя формулы n-го члена и суммы прогрессии:
1) $a_n = a_1 + (n-1)d \implies 50 = a_1 + (n-1) \cdot \frac{1}{2}$
2) $S_n = \frac{a_1 + a_n}{2} \cdot n \implies 2525 = \frac{a_1 + 50}{2} \cdot n$
Выразим $a_1$ из первого уравнения: $a_1 = 50 - \frac{1}{2}(n-1)$.
Подставим это выражение во второе уравнение:
$2525 = \frac{(50 - \frac{1}{2}(n-1)) + 50}{2} \cdot n$
$5050 = (100 - \frac{1}{2}(n-1)) \cdot n$
$5050 = (100 - \frac{1}{2}n + \frac{1}{2}) \cdot n$
$5050 = (100,5 - 0,5n) \cdot n$
$5050 = 100,5n - 0,5n^2$
Умножим все уравнение на 2 и перенесем все члены в левую часть:
$n^2 - 201n + 10100 = 0$.
Решим квадратное уравнение. Дискриминант $D = (-201)^2 - 4 \cdot 1 \cdot 10100 = 40401 - 40400 = 1$.
$n_1 = \frac{201 + 1}{2} = 101$
$n_2 = \frac{201 - 1}{2} = 100$.
Оба корня являются натуральными числами, поэтому возможны два решения. Найдем $a_1$ для каждого значения $n$:
1. Если $n = 101$, то $a_1 = 50 - \frac{1}{2}(101-1) = 50 - \frac{1}{2} \cdot 100 = 50 - 50 = 0$.
2. Если $n = 100$, то $a_1 = 50 - \frac{1}{2}(100-1) = 50 - \frac{99}{2} = 50 - 49,5 = 0,5$.
Ответ: Существует два решения: 1) $a_1 = 0$, $n = 101$; 2) $a_1 = 0,5$, $n = 100$.

г) Дано: $a_1 = -\frac{1}{2}$, $a_n = -29\frac{1}{2}$, $S_n = -450$. Для удобства расчетов переведем смешанные числа в десятичные дроби: $a_1 = -0,5$, $a_n = -29,5$.
Для нахождения $n$ используем формулу суммы $S_n = \frac{a_1 + a_n}{2} \cdot n$:
$-450 = \frac{-0,5 + (-29,5)}{2} \cdot n$
$-450 = \frac{-30}{2} \cdot n$
$-450 = -15n$
$n = \frac{-450}{-15} = 30$.
Теперь найдем разность прогрессии $d$, используя формулу n-го члена $a_n = a_1 + (n-1)d$:
$a_{30} = a_1 + (30-1)d$
$-29,5 = -0,5 + 29d$
$-29,5 + 0,5 = 29d$
$-29 = 29d$
$d = -1$.
Ответ: $d = -1$; $n = 30$.

Помогло решение? Оставьте отзыв в комментариях ниже.

Присоединяйтесь к Телеграм-группе @top_gdz

Присоединиться

Мы подготовили для вас ответ c подробным объяснением домашего задания по алгебре за 9 класс, для упражнения номер 687 расположенного на странице 178 к учебнику 2014 - 2024 года издания для учащихся школ и гимназий.

Теперь на нашем сайте ГДЗ.ТОП вы всегда легко и бесплатно найдёте условие с правильным ответом на вопрос «Как решить ДЗ» и «Как сделать» задание по алгебре к упражнению №687 (с. 178), авторов: Макарычев (Юрий Николаевич), Миндюк (Нора Григорьевна), Нешков (Константин Иванович), Суворова (Светлана Борисовна), ФГОС (старый) учебного пособия издательства Просвещение.