Номер 751, страница 191 - гдз по алгебре 9 класс учебник Макарычев, Миндюк

Алгебра, 9 класс Учебник, авторы: Макарычев Юрий Николаевич, Миндюк Нора Григорьевна, Нешков Константин Иванович, Суворова Светлана Борисовна, издательство Просвещение, Москва, 2014 - 2024

Авторы: Макарычев Ю. Н., Миндюк Н. Г., Нешков К. И., Суворова С. Б.

Тип: Учебник

Издательство: Просвещение

Год издания: 2014 - 2024

ISBN: 978-5-09-0779-15

Допущено Министерством просвещения Российской Федерации

Популярные ГДЗ в 9 классе

Глава 5. Элементы комбинаторики и теории вероятностей. Параграф 11. Элементы комбинаторики. 31. Перестановки - номер 751, страница 191.

№751 (с. 191)
Условие. №751 (с. 191)
скриншот условия
Алгебра, 9 класс Учебник, авторы: Макарычев Юрий Николаевич, Миндюк Нора Григорьевна, Нешков Константин Иванович, Суворова Светлана Борисовна, издательство Просвещение, Москва, 2014 - 2024, страница 191, номер 751, Условие

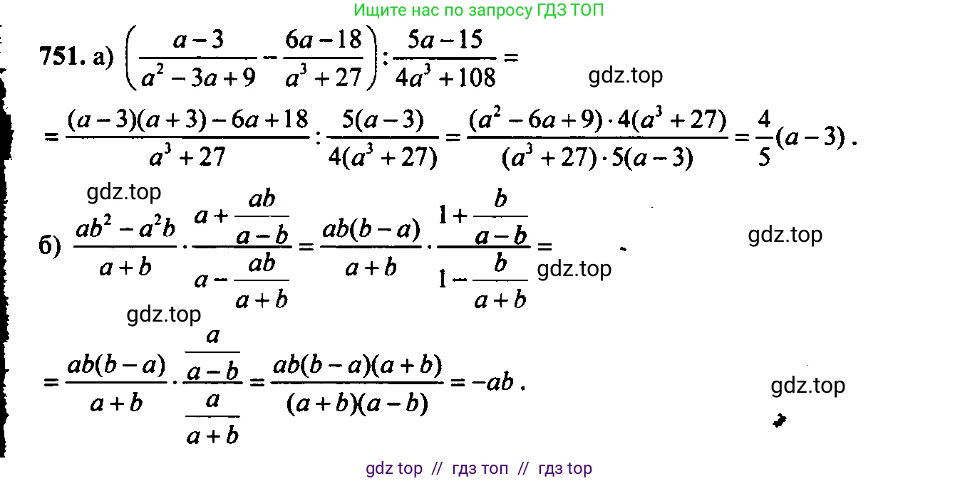
751. Упростите выражение:

а) $\left(\frac{a-3}{a^2-3a+9} - \frac{6a-18}{a^3+27}\right) : \frac{5a-15}{4a^3+108};$

б) $\frac{ab^2-a^2b}{a+b} \cdot \frac{a+\frac{ab}{a-b}}{a-\frac{ab}{a+b}}.$

Решение 1. №751 (с. 191)
Алгебра, 9 класс Учебник, авторы: Макарычев Юрий Николаевич, Миндюк Нора Григорьевна, Нешков Константин Иванович, Суворова Светлана Борисовна, издательство Просвещение, Москва, 2014 - 2024, страница 191, номер 751, Решение 1
Алгебра, 9 класс Учебник, авторы: Макарычев Юрий Николаевич, Миндюк Нора Григорьевна, Нешков Константин Иванович, Суворова Светлана Борисовна, издательство Просвещение, Москва, 2014 - 2024, страница 191, номер 751, Решение 1 (продолжение 2)
Решение 2. №751 (с. 191)
Алгебра, 9 класс Учебник, авторы: Макарычев Юрий Николаевич, Миндюк Нора Григорьевна, Нешков Константин Иванович, Суворова Светлана Борисовна, издательство Просвещение, Москва, 2014 - 2024, страница 191, номер 751, Решение 2
Решение 3. №751 (с. 191)
Алгебра, 9 класс Учебник, авторы: Макарычев Юрий Николаевич, Миндюк Нора Григорьевна, Нешков Константин Иванович, Суворова Светлана Борисовна, издательство Просвещение, Москва, 2014 - 2024, страница 191, номер 751, Решение 3
Решение 4. №751 (с. 191)
Алгебра, 9 класс Учебник, авторы: Макарычев Юрий Николаевич, Миндюк Нора Григорьевна, Нешков Константин Иванович, Суворова Светлана Борисовна, издательство Просвещение, Москва, 2014 - 2024, страница 191, номер 751, Решение 4
Решение 5. №751 (с. 191)
Алгебра, 9 класс Учебник, авторы: Макарычев Юрий Николаевич, Миндюк Нора Григорьевна, Нешков Константин Иванович, Суворова Светлана Борисовна, издательство Просвещение, Москва, 2014 - 2024, страница 191, номер 751, Решение 5
Решение 6. №751 (с. 191)
Алгебра, 9 класс Учебник, авторы: Макарычев Юрий Николаевич, Миндюк Нора Григорьевна, Нешков Константин Иванович, Суворова Светлана Борисовна, издательство Просвещение, Москва, 2014 - 2024, страница 191, номер 751, Решение 6
Решение 7. №751 (с. 191)
Алгебра, 9 класс Учебник, авторы: Макарычев Юрий Николаевич, Миндюк Нора Григорьевна, Нешков Константин Иванович, Суворова Светлана Борисовна, издательство Просвещение, Москва, 2014 - 2024, страница 191, номер 751, Решение 7
Решение 8. №751 (с. 191)

а)

Исходное выражение: $(\frac{a-3}{a^2-3a+9} - \frac{6a-18}{a^3+27}) : \frac{5a-15}{4a^3+108}$.

1. Сначала упростим выражение в скобках. Для этого разложим на множители знаменатели и числители.

Знаменатель второй дроби $a^3+27$ является суммой кубов: $a^3+3^3=(a+3)(a^2-3a+9)$.

Числитель второй дроби $6a-18$ можно упростить, вынеся общий множитель 6: $6(a-3)$.

Подставим разложенные выражения в скобки:

$\frac{a-3}{a^2-3a+9} - \frac{6(a-3)}{(a+3)(a^2-3a+9)}$

Общий знаменатель для дробей в скобках — это $(a+3)(a^2-3a+9)$. Приведем дроби к этому знаменателю:

$\frac{(a-3)(a+3)}{(a+3)(a^2-3a+9)} - \frac{6(a-3)}{(a+3)(a^2-3a+9)} = \frac{(a-3)(a+3) - 6(a-3)}{(a+3)(a^2-3a+9)}$

В числителе вынесем общий множитель $(a-3)$ за скобку:

$\frac{(a-3)((a+3)-6)}{(a+3)(a^2-3a+9)} = \frac{(a-3)(a-3)}{(a+3)(a^2-3a+9)} = \frac{(a-3)^2}{a^3+27}$

2. Теперь выполним деление. Разложим на множители числитель и знаменатель второго выражения:

$5a-15 = 5(a-3)$

$4a^3+108 = 4(a^3+27)$

Таким образом, исходное выражение принимает вид:

$\frac{(a-3)^2}{a^3+27} : \frac{5(a-3)}{4(a^3+27)}$

Деление на дробь эквивалентно умножению на обратную дробь:

$\frac{(a-3)^2}{a^3+27} \cdot \frac{4(a^3+27)}{5(a-3)}$

Сократим одинаковые множители в числителе и знаменателе: $(a^3+27)$ и $(a-3)$.

$\frac{(a-3)^{\cancel{2}}}{ \cancel{a^3+27}} \cdot \frac{4(\cancel{a^3+27})}{5(\cancel{a-3})} = \frac{4(a-3)}{5}$

Ответ: $\frac{4(a-3)}{5}$

б)

Исходное выражение: $\frac{ab^2-a^2b}{a+b} \cdot \frac{a+\frac{ab}{a-b}}{a-\frac{ab}{a+b}}$.

Упростим выражение по частям.

1. Упростим первый множитель $\frac{ab^2-a^2b}{a+b}$. Вынесем в числителе общий множитель $ab$:

$\frac{ab(b-a)}{a+b} = \frac{-ab(a-b)}{a+b}$

2. Упростим второй множитель, который представляет собой сложную дробь. Сначала упростим числитель этой дроби:

$a+\frac{ab}{a-b} = \frac{a(a-b)}{a-b} + \frac{ab}{a-b} = \frac{a^2-ab+ab}{a-b} = \frac{a^2}{a-b}$

Теперь упростим знаменатель этой дроби:

$a-\frac{ab}{a+b} = \frac{a(a+b)}{a+b} - \frac{ab}{a+b} = \frac{a^2+ab-ab}{a+b} = \frac{a^2}{a+b}$

Теперь разделим упрощенный числитель на упрощенный знаменатель:

$\frac{\frac{a^2}{a-b}}{\frac{a^2}{a+b}} = \frac{a^2}{a-b} \cdot \frac{a+b}{a^2} = \frac{a+b}{a-b}$

3. Перемножим результаты, полученные на шагах 1 и 2:

$\frac{-ab(a-b)}{a+b} \cdot \frac{a+b}{a-b}$

Сократим одинаковые множители $(a-b)$ и $(a+b)$:

$\frac{-ab\cancel{(a-b)}}{\cancel{a+b}} \cdot \frac{\cancel{a+b}}{\cancel{a-b}} = -ab$

Ответ: $-ab$

Помогло решение? Оставьте отзыв в комментариях ниже.

Присоединяйтесь к Телеграм-группе @top_gdz

Присоединиться

Мы подготовили для вас ответ c подробным объяснением домашего задания по алгебре за 9 класс, для упражнения номер 751 расположенного на странице 191 к учебнику 2014 - 2024 года издания для учащихся школ и гимназий.

Теперь на нашем сайте ГДЗ.ТОП вы всегда легко и бесплатно найдёте условие с правильным ответом на вопрос «Как решить ДЗ» и «Как сделать» задание по алгебре к упражнению №751 (с. 191), авторов: Макарычев (Юрий Николаевич), Миндюк (Нора Григорьевна), Нешков (Константин Иванович), Суворова (Светлана Борисовна), ФГОС (старый) учебного пособия издательства Просвещение.