Номер 924, страница 227 - гдз по алгебре 9 класс учебник Макарычев, Миндюк

Алгебра, 9 класс Учебник, авторы: Макарычев Юрий Николаевич, Миндюк Нора Григорьевна, Нешков Константин Иванович, Суворова Светлана Борисовна, издательство Просвещение, Москва, 2014 - 2024

Авторы: Макарычев Ю. Н., Миндюк Н. Г., Нешков К. И., Суворова С. Б.

Тип: Учебник

Издательство: Просвещение

Год издания: 2014 - 2024

ISBN: 978-5-09-0779-15

Допущено Министерством просвещения Российской Федерации

Популярные ГДЗ в 9 классе

Упражнения для повторения курса 7-9 классов. Тождественные преобразования - номер 924, страница 227.

№924 (с. 227)
Условие. №924 (с. 227)
скриншот условия
Алгебра, 9 класс Учебник, авторы: Макарычев Юрий Николаевич, Миндюк Нора Григорьевна, Нешков Константин Иванович, Суворова Светлана Борисовна, издательство Просвещение, Москва, 2014 - 2024, страница 227, номер 924, Условие

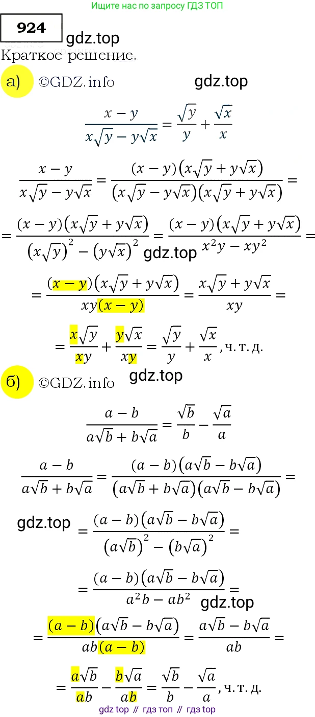
924. Докажите, что:

а) $ \frac{x - y}{x\sqrt{y} - y\sqrt{x}} = \frac{\sqrt{y}}{y} + \frac{\sqrt{x}}{x} $

б) $ \frac{a - b}{a\sqrt{b} + b\sqrt{a}} = \frac{\sqrt{b}}{b} - \frac{\sqrt{a}}{a} $

Решение 1. №924 (с. 227)
Алгебра, 9 класс Учебник, авторы: Макарычев Юрий Николаевич, Миндюк Нора Григорьевна, Нешков Константин Иванович, Суворова Светлана Борисовна, издательство Просвещение, Москва, 2014 - 2024, страница 227, номер 924, Решение 1
Алгебра, 9 класс Учебник, авторы: Макарычев Юрий Николаевич, Миндюк Нора Григорьевна, Нешков Константин Иванович, Суворова Светлана Борисовна, издательство Просвещение, Москва, 2014 - 2024, страница 227, номер 924, Решение 1 (продолжение 2)
Решение 2. №924 (с. 227)
Алгебра, 9 класс Учебник, авторы: Макарычев Юрий Николаевич, Миндюк Нора Григорьевна, Нешков Константин Иванович, Суворова Светлана Борисовна, издательство Просвещение, Москва, 2014 - 2024, страница 227, номер 924, Решение 2
Решение 3. №924 (с. 227)
Алгебра, 9 класс Учебник, авторы: Макарычев Юрий Николаевич, Миндюк Нора Григорьевна, Нешков Константин Иванович, Суворова Светлана Борисовна, издательство Просвещение, Москва, 2014 - 2024, страница 227, номер 924, Решение 3
Решение 4. №924 (с. 227)
Алгебра, 9 класс Учебник, авторы: Макарычев Юрий Николаевич, Миндюк Нора Григорьевна, Нешков Константин Иванович, Суворова Светлана Борисовна, издательство Просвещение, Москва, 2014 - 2024, страница 227, номер 924, Решение 4
Решение 5. №924 (с. 227)
Алгебра, 9 класс Учебник, авторы: Макарычев Юрий Николаевич, Миндюк Нора Григорьевна, Нешков Константин Иванович, Суворова Светлана Борисовна, издательство Просвещение, Москва, 2014 - 2024, страница 227, номер 924, Решение 5
Решение 7. №924 (с. 227)
Алгебра, 9 класс Учебник, авторы: Макарычев Юрий Николаевич, Миндюк Нора Григорьевна, Нешков Константин Иванович, Суворова Светлана Борисовна, издательство Просвещение, Москва, 2014 - 2024, страница 227, номер 924, Решение 7
Решение 8. №924 (с. 227)

а)

Чтобы доказать тождество $\frac{x - y}{x\sqrt{y} - y\sqrt{x}} = \frac{\sqrt{y}}{y} + \frac{\sqrt{x}}{x}$, преобразуем обе его части к одному и тому же виду.

Область допустимых значений (ОДЗ) для данного выражения определяется условиями: $x > 0$, $y > 0$ (чтобы корни и знаменатели в правой части были определены) и $x\sqrt{y} - y\sqrt{x} \neq 0$, что равносильно $x \neq y$.

Начнем с преобразования левой части равенства.

1. Разложим числитель $x - y$ как разность квадратов: $x - y = (\sqrt{x})^2 - (\sqrt{y})^2 = (\sqrt{x} - \sqrt{y})(\sqrt{x} + \sqrt{y})$.

2. В знаменателе $x\sqrt{y} - y\sqrt{x}$ вынесем общий множитель $\sqrt{x}\sqrt{y}$: $x\sqrt{y} - y\sqrt{x} = \sqrt{x}\sqrt{x}\sqrt{y} - \sqrt{y}\sqrt{y}\sqrt{x} = \sqrt{x}\sqrt{y}(\sqrt{x} - \sqrt{y})$.

3. Подставим разложенные выражения обратно в дробь:

$\frac{x - y}{x\sqrt{y} - y\sqrt{x}} = \frac{(\sqrt{x} - \sqrt{y})(\sqrt{x} + \sqrt{y})}{\sqrt{x}\sqrt{y}(\sqrt{x} - \sqrt{y})}$

4. Сократим дробь на общий множитель $(\sqrt{x} - \sqrt{y})$, так как из ОДЗ следует, что он не равен нулю:

$\frac{\sqrt{x} + \sqrt{y}}{\sqrt{x}\sqrt{y}}$

5. Разделим полученную дробь на два слагаемых:

$\frac{\sqrt{x}}{\sqrt{x}\sqrt{y}} + \frac{\sqrt{y}}{\sqrt{x}\sqrt{y}} = \frac{1}{\sqrt{y}} + \frac{1}{\sqrt{x}}$

Теперь преобразуем правую часть исходного равенства.

$\frac{\sqrt{y}}{y} + \frac{\sqrt{x}}{x} = \frac{\sqrt{y}}{(\sqrt{y})^2} + \frac{\sqrt{x}}{(\sqrt{x})^2} = \frac{1}{\sqrt{y}} + \frac{1}{\sqrt{x}}$

Поскольку левая и правая части равенства приводятся к одному и тому же выражению $\frac{1}{\sqrt{y}} + \frac{1}{\sqrt{x}}$, тождество доказано.

Ответ: тождество доказано.

б)

Чтобы доказать тождество $\frac{a - b}{a\sqrt{b} + b\sqrt{a}} = \frac{\sqrt{b}}{b} - \frac{\sqrt{a}}{a}$, также преобразуем обе его части.

Область допустимых значений (ОДЗ): $a > 0$ и $b > 0$, чтобы были определены корни и знаменатели.

Начнем с преобразования левой части равенства.

1. Разложим числитель $a - b$ как разность квадратов: $a - b = (\sqrt{a})^2 - (\sqrt{b})^2 = (\sqrt{a} - \sqrt{b})(\sqrt{a} + \sqrt{b})$.

2. В знаменателе $a\sqrt{b} + b\sqrt{a}$ вынесем общий множитель $\sqrt{a}\sqrt{b}$: $a\sqrt{b} + b\sqrt{a} = \sqrt{a}\sqrt{a}\sqrt{b} + \sqrt{b}\sqrt{b}\sqrt{a} = \sqrt{a}\sqrt{b}(\sqrt{a} + \sqrt{b})$.

3. Подставим разложенные выражения обратно в дробь:

$\frac{a - b}{a\sqrt{b} + b\sqrt{a}} = \frac{(\sqrt{a} - \sqrt{b})(\sqrt{a} + \sqrt{b})}{\sqrt{a}\sqrt{b}(\sqrt{a} + \sqrt{b})}$

4. Сократим дробь на общий множитель $(\sqrt{a} + \sqrt{b})$, который всегда положителен при $a>0, b>0$:

$\frac{\sqrt{a} - \sqrt{b}}{\sqrt{a}\sqrt{b}}$

5. Разделим полученную дробь на два слагаемых:

$\frac{\sqrt{a}}{\sqrt{a}\sqrt{b}} - \frac{\sqrt{b}}{\sqrt{a}\sqrt{b}} = \frac{1}{\sqrt{b}} - \frac{1}{\sqrt{a}}$

Теперь преобразуем правую часть исходного равенства.

$\frac{\sqrt{b}}{b} - \frac{\sqrt{a}}{a} = \frac{\sqrt{b}}{(\sqrt{b})^2} - \frac{\sqrt{a}}{(\sqrt{a})^2} = \frac{1}{\sqrt{b}} - \frac{1}{\sqrt{a}}$

Поскольку левая и правая части равенства приводятся к одному и тому же выражению $\frac{1}{\sqrt{b}} - \frac{1}{\sqrt{a}}$, тождество доказано.

Ответ: тождество доказано.

Помогло решение? Оставьте отзыв в комментариях ниже.

Присоединяйтесь к Телеграм-группе @top_gdz

Присоединиться

Мы подготовили для вас ответ c подробным объяснением домашего задания по алгебре за 9 класс, для упражнения номер 924 расположенного на странице 227 к учебнику 2014 - 2024 года издания для учащихся школ и гимназий.

Теперь на нашем сайте ГДЗ.ТОП вы всегда легко и бесплатно найдёте условие с правильным ответом на вопрос «Как решить ДЗ» и «Как сделать» задание по алгебре к упражнению №924 (с. 227), авторов: Макарычев (Юрий Николаевич), Миндюк (Нора Григорьевна), Нешков (Константин Иванович), Суворова (Светлана Борисовна), ФГОС (старый) учебного пособия издательства Просвещение.