Номер 1.354, страница 114 - гдз по алгебре 10 класс учебник Арефьева, Пирютко
Авторы: Арефьева И. Г., Пирютко О. Н.
Тип: Учебник
Издательство: Народная асвета
Год издания: 2019 - 2026
Цвет обложки: голубой с графиком
Допущено Министерством образования Республики Беларусь
Популярные ГДЗ в 10 классе
Глава 1. Тригонометрия. Параграф 8. Тригонометрические уравнения - номер 1.354, страница 114.
№1.354 (с. 114)
Условие. №1.354 (с. 114)
скриншот условия
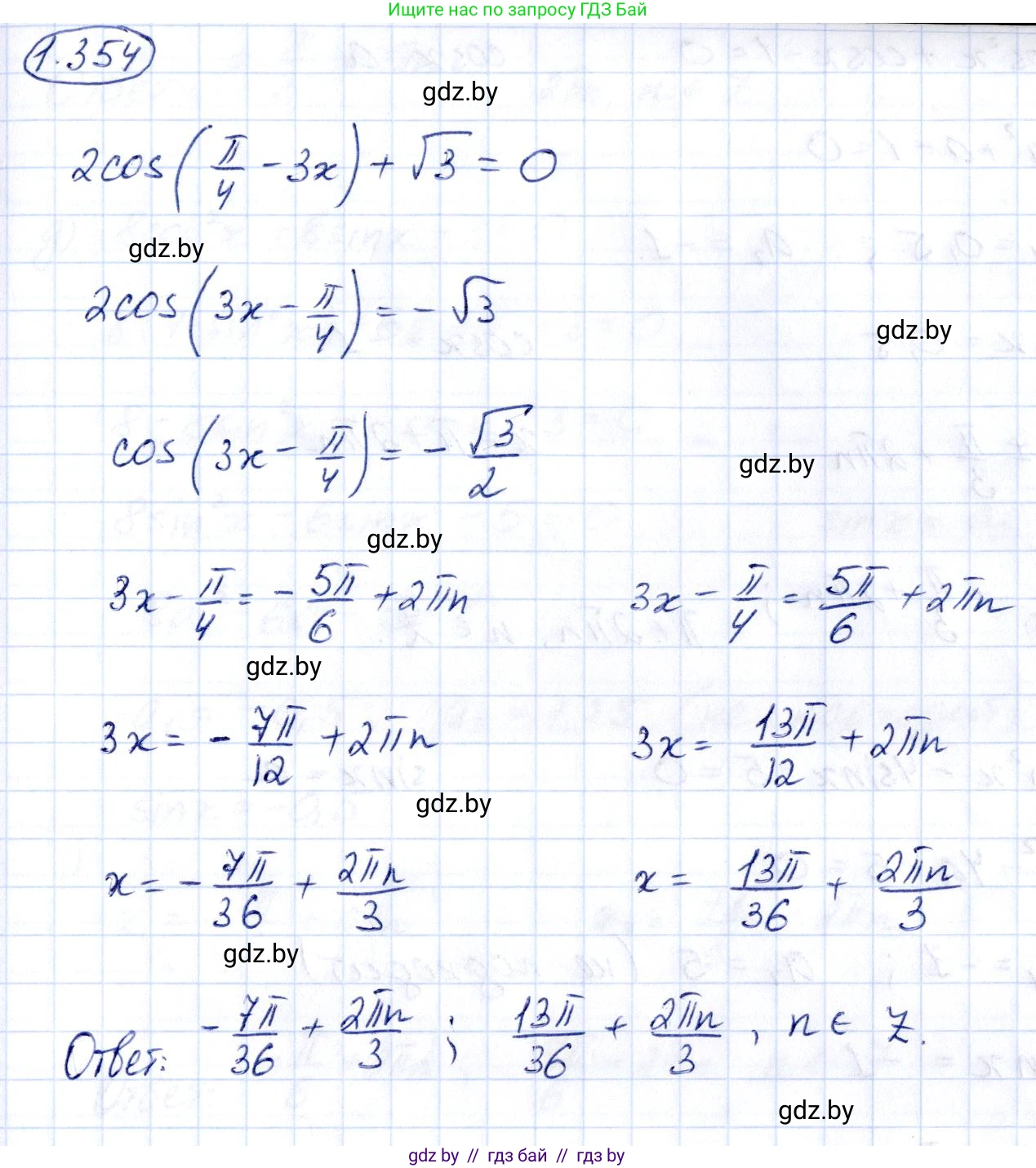
1.354. Найдите нули функции $f(x) = 2\cos\left(\frac{\pi}{4} - 3x\right) + \sqrt{3}$.
Решение. №1.354 (с. 114)
Решение 2. №1.354 (с. 114)
Для нахождения нулей функции необходимо приравнять значение функции к нулю и решить полученное уравнение:
$f(x) = 0$
$2\cos(\frac{\pi}{4} - 3x) + \sqrt{3} = 0$
Изолируем косинус:
$2\cos(\frac{\pi}{4} - 3x) = -\sqrt{3}$
$\cos(\frac{\pi}{4} - 3x) = -\frac{\sqrt{3}}{2}$
Так как косинус — четная функция, то есть $\cos(-\alpha) = \cos(\alpha)$, мы можем записать:
$\cos(3x - \frac{\pi}{4}) = -\frac{\sqrt{3}}{2}$
Общее решение уравнения $\cos(t) = a$ имеет вид $t = \pm \arccos(a) + 2\pi n$, где $n \in \mathbb{Z}$. В нашем случае $t = 3x - \frac{\pi}{4}$ и $a = -\frac{\sqrt{3}}{2}$.
Значение арккосинуса: $\arccos(-\frac{\sqrt{3}}{2}) = \frac{5\pi}{6}$.
Подставляем значение в общее решение:
$3x - \frac{\pi}{4} = \pm \frac{5\pi}{6} + 2\pi n$
Теперь выразим $x$. Сначала перенесем $\frac{\pi}{4}$ в правую часть:
$3x = \frac{\pi}{4} \pm \frac{5\pi}{6} + 2\pi n$
Разобьем решение на два случая:
1. Используем знак "+":
$3x = \frac{\pi}{4} + \frac{5\pi}{6} + 2\pi n$
Приводим дроби к общему знаменателю 12:
$3x = \frac{3\pi}{12} + \frac{10\pi}{12} + 2\pi n = \frac{13\pi}{12} + 2\pi n$
Делим обе части на 3:
$x_1 = \frac{13\pi}{36} + \frac{2\pi n}{3}$
2. Используем знак "−":
$3x = \frac{\pi}{4} - \frac{5\pi}{6} + 2\pi n$
Приводим дроби к общему знаменателю 12:
$3x = \frac{3\pi}{12} - \frac{10\pi}{12} + 2\pi n = -\frac{7\pi}{12} + 2\pi n$
Делим обе части на 3:
$x_2 = -\frac{7\pi}{36} + \frac{2\pi n}{3}$
Ответ: $x = \frac{13\pi}{36} + \frac{2\pi n}{3}$ и $x = -\frac{7\pi}{36} + \frac{2\pi n}{3}$, где $n \in \mathbb{Z}$.
Другие задания:
Помогло решение? Оставьте отзыв в комментариях ниже.
Присоединяйтесь к Телеграм-группе @gdz_by_belarus
ПрисоединитьсяМы подготовили для вас ответ c подробным объяснением домашего задания по алгебре за 10 класс, для упражнения номер 1.354 расположенного на странице 114 к учебнику 2019 года издания для учащихся школ и гимназий.
Теперь на нашем сайте ГДЗ.ТОП вы всегда легко и бесплатно найдёте условие с правильным ответом на вопрос «Как решить ДЗ» и «Как сделать» задание по алгебре к упражнению №1.354 (с. 114), авторов: Арефьева (Ирина Глебовна), Пирютко (Ольга Николаевна), учебного пособия издательства Народная асвета.