Номер 1.358, страница 115 - гдз по алгебре 10 класс учебник Арефьева, Пирютко

Алгебра, 10 класс Учебник, авторы: Арефьева Ирина Глебовна, Пирютко Ольга Николаевна, издательство Народная асвета, Минск, 2019, голубого цвета

Авторы: Арефьева И. Г., Пирютко О. Н.

Тип: Учебник

Издательство: Народная асвета

Год издания: 2019 - 2026

Цвет обложки: голубой с графиком

Допущено Министерством образования Республики Беларусь

Популярные ГДЗ в 10 классе

Глава 1. Тригонометрия. Параграф 8. Тригонометрические уравнения - номер 1.358, страница 115.

№1.358 (с. 115)
Условие. №1.358 (с. 115)
скриншот условия
Алгебра, 10 класс Учебник, авторы: Арефьева Ирина Глебовна, Пирютко Ольга Николаевна, издательство Народная асвета, Минск, 2019, голубого цвета, страница 115, номер 1.358, Условие

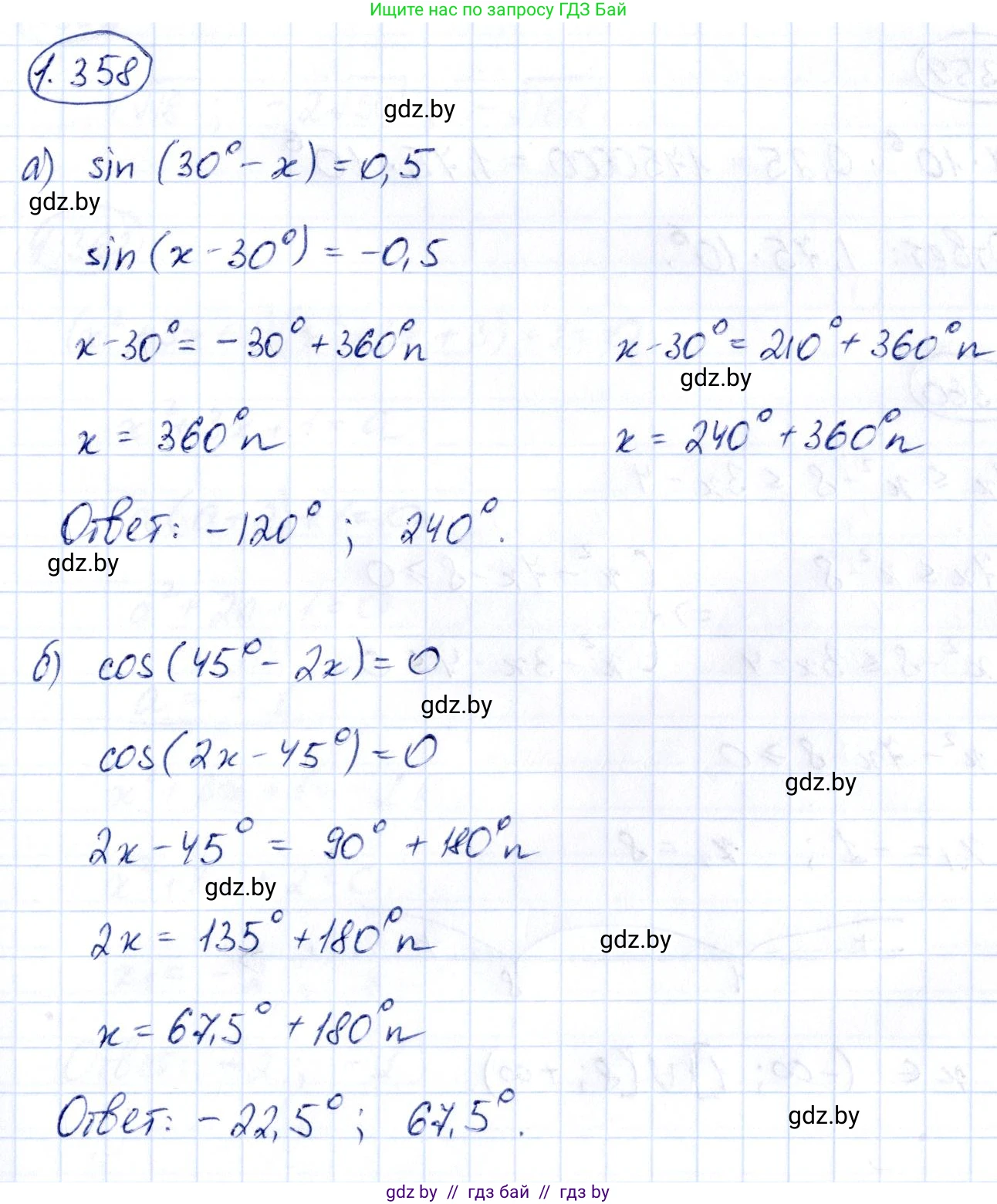
1.358*. Найдите (в градусах) наименьший положительный и наибольший отрицательный корни уравнения:

a) $\sin(30^\circ - x) = \frac{1}{2}$;

б) $\cos(45^\circ - 2x) = 0$;

в) $\mathrm{tg}\left(\frac{x}{3} + 60^\circ\right) = 1$.

Решение. №1.358 (с. 115)
Алгебра, 10 класс Учебник, авторы: Арефьева Ирина Глебовна, Пирютко Ольга Николаевна, издательство Народная асвета, Минск, 2019, голубого цвета, страница 115, номер 1.358, Решение Алгебра, 10 класс Учебник, авторы: Арефьева Ирина Глебовна, Пирютко Ольга Николаевна, издательство Народная асвета, Минск, 2019, голубого цвета, страница 115, номер 1.358, Решение (продолжение 2)
Решение 2. №1.358 (с. 115)

а) Решим уравнение $ \sin(30^\circ - x) = \frac{1}{2} $.
Общее решение для уравнения $ \sin(y) = \frac{1}{2} $ имеет вид: $ y = (-1)^k \cdot 30^\circ + 180^\circ k $, где $ k \in \mathbb{Z} $.
В нашем случае $ y = 30^\circ - x $, поэтому: $ 30^\circ - x = (-1)^k \cdot 30^\circ + 180^\circ k $
Выразим $x$: $ x = 30^\circ - ((-1)^k \cdot 30^\circ + 180^\circ k) $
Теперь найдем конкретные корни, подставляя целочисленные значения $k$:

  • При $k = -1$: $x = 30^\circ - ((-1)^{-1} \cdot 30^\circ + 180^\circ \cdot (-1)) = 30^\circ - (-30^\circ - 180^\circ) = 30^\circ + 210^\circ = 240^\circ$.
  • При $k = 0$: $x = 30^\circ - ((-1)^0 \cdot 30^\circ + 180^\circ \cdot 0) = 30^\circ - 30^\circ = 0^\circ$.
  • При $k = 1$: $x = 30^\circ - ((-1)^1 \cdot 30^\circ + 180^\circ \cdot 1) = 30^\circ - (-30^\circ + 180^\circ) = 30^\circ - 150^\circ = -120^\circ$.
  • При $k = 2$: $x = 30^\circ - ((-1)^2 \cdot 30^\circ + 180^\circ \cdot 2) = 30^\circ - (30^\circ + 360^\circ) = -360^\circ$.

Из полученных корней наименьший положительный — это $240^\circ$, а наибольший отрицательный — это $-120^\circ$.
Ответ: наименьший положительный корень $240^\circ$, наибольший отрицательный корень $-120^\circ$.

б) Решим уравнение $ \cos(45^\circ - 2x) = 0 $.
Это частный случай тригонометрического уравнения. Его решение имеет вид: $ 45^\circ - 2x = 90^\circ + 180^\circ k $, где $ k \in \mathbb{Z} $.
Выразим $x$: $ -2x = 90^\circ - 45^\circ + 180^\circ k $
$ -2x = 45^\circ + 180^\circ k $
$ x = -\frac{45^\circ}{2} - 90^\circ k $
$ x = -22.5^\circ - 90^\circ k $
Найдем корни, подставляя целочисленные значения $k$:

  • При $k = -2$: $x = -22.5^\circ - 90^\circ(-2) = -22.5^\circ + 180^\circ = 157.5^\circ$.
  • При $k = -1$: $x = -22.5^\circ - 90^\circ(-1) = -22.5^\circ + 90^\circ = 67.5^\circ$.
  • При $k = 0$: $x = -22.5^\circ - 90^\circ(0) = -22.5^\circ$.
  • При $k = 1$: $x = -22.5^\circ - 90^\circ(1) = -112.5^\circ$.

Наименьший положительный корень: $67.5^\circ$. Наибольший отрицательный корень: $-22.5^\circ$.
Ответ: наименьший положительный корень $67\frac{1}{2}^\circ$, наибольший отрицательный корень $-22\frac{1}{2}^\circ$.

в) Решим уравнение $ \text{tg}(\frac{x}{3} + 60^\circ) = 1 $.
Общее решение для этого уравнения: $ \frac{x}{3} + 60^\circ = 45^\circ + 180^\circ k $, где $ k \in \mathbb{Z} $.
Выразим $x$: $ \frac{x}{3} = 45^\circ - 60^\circ + 180^\circ k $
$ \frac{x}{3} = -15^\circ + 180^\circ k $
$ x = 3 \cdot (-15^\circ + 180^\circ k) $
$ x = -45^\circ + 540^\circ k $
Найдем корни, подставляя целочисленные значения $k$:

  • При $k = 1$: $x = -45^\circ + 540^\circ(1) = 495^\circ$.
  • При $k = 0$: $x = -45^\circ + 540^\circ(0) = -45^\circ$.
  • При $k = -1$: $x = -45^\circ + 540^\circ(-1) = -585^\circ$.

Наименьший положительный корень — это $495^\circ$, а наибольший отрицательный — это $-45^\circ$.
Ответ: наименьший положительный корень $495^\circ$, наибольший отрицательный корень $-45^\circ$.

Помогло решение? Оставьте отзыв в комментариях ниже.

Присоединяйтесь к Телеграм-группе @gdz_by_belarus

Присоединиться

Мы подготовили для вас ответ c подробным объяснением домашего задания по алгебре за 10 класс, для упражнения номер 1.358 расположенного на странице 115 к учебнику 2019 года издания для учащихся школ и гимназий.

Теперь на нашем сайте ГДЗ.ТОП вы всегда легко и бесплатно найдёте условие с правильным ответом на вопрос «Как решить ДЗ» и «Как сделать» задание по алгебре к упражнению №1.358 (с. 115), авторов: Арефьева (Ирина Глебовна), Пирютко (Ольга Николаевна), учебного пособия издательства Народная асвета.