Номер 1.372, страница 124 - гдз по алгебре 10 класс учебник Арефьева, Пирютко

Алгебра, 10 класс Учебник, авторы: Арефьева Ирина Глебовна, Пирютко Ольга Николаевна, издательство Народная асвета, Минск, 2019, голубого цвета

Авторы: Арефьева И. Г., Пирютко О. Н.

Тип: Учебник

Издательство: Народная асвета

Год издания: 2019 - 2026

Цвет обложки: голубой с графиком

Допущено Министерством образования Республики Беларусь

Популярные ГДЗ в 10 классе

Глава 1. Тригонометрия. Параграф 9. Формулы приведения - номер 1.372, страница 124.

№1.372 (с. 124)
Условие. №1.372 (с. 124)
скриншот условия
Алгебра, 10 класс Учебник, авторы: Арефьева Ирина Глебовна, Пирютко Ольга Николаевна, издательство Народная асвета, Минск, 2019, голубого цвета, страница 124, номер 1.372, Условие Алгебра, 10 класс Учебник, авторы: Арефьева Ирина Глебовна, Пирютко Ольга Николаевна, издательство Народная асвета, Минск, 2019, голубого цвета, страница 124, номер 1.372, Условие (продолжение 2)

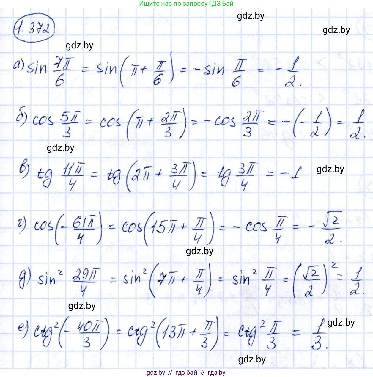
1.372. Найдите значение выражения, используя периодичность тригонометрических функций и формулы приведения:

а) $\sin\frac{7\pi}{6}$;

б) $\cos\frac{5\pi}{3}$;

в) $\operatorname{tg}\frac{11\pi}{4}$;

г) $\cos\left(-\frac{61\pi}{4}\right)$;

д) $\sin^2\frac{29\pi}{4}$;

е) $\operatorname{ctg}^2\left(-\frac{40\pi}{3}\right)$.

Решение. №1.372 (с. 124)
Алгебра, 10 класс Учебник, авторы: Арефьева Ирина Глебовна, Пирютко Ольга Николаевна, издательство Народная асвета, Минск, 2019, голубого цвета, страница 124, номер 1.372, Решение
Решение 2. №1.372 (с. 124)

а) Найдем значение выражения $\sin\frac{7\pi}{6}$.
Для этого используем формулу приведения. Сначала представим аргумент $\frac{7\pi}{6}$, выделив целую часть из дроби: $\frac{7}{6} = 1\frac{1}{6}$.
Таким образом, $\frac{7\pi}{6} = \pi + \frac{\pi}{6}$.
Применяем формулу приведения $\sin(\pi + \alpha) = -\sin(\alpha)$:$$\sin\frac{7\pi}{6} = \sin(\pi + \frac{\pi}{6}) = -\sin\frac{\pi}{6}$$Значение табличное: $\sin\frac{\pi}{6} = \frac{1}{2}$.
Следовательно, $\sin\frac{7\pi}{6} = -\frac{1}{2}$.
Ответ: $-\frac{1}{2}$.

б) Найдем значение выражения $\cos\frac{5\pi}{3}$.
Используем периодичность и формулы приведения. Представим аргумент $\frac{5\pi}{3}$ в виде разности: $\frac{5\pi}{3} = \frac{6\pi - \pi}{3} = 2\pi - \frac{\pi}{3}$.
Применяем формулу приведения $\cos(2\pi - \alpha) = \cos(\alpha)$, которая следует из периодичности косинуса (период $2\pi$):$$\cos\frac{5\pi}{3} = \cos(2\pi - \frac{\pi}{3}) = \cos\frac{\pi}{3}$$Значение табличное: $\cos\frac{\pi}{3} = \frac{1}{2}$.
Ответ: $\frac{1}{2}$.

в) Найдем значение выражения $\text{tg}\frac{11\pi}{4}$.
Используем периодичность тангенса (период $\pi$). Выделим целую часть из дроби в аргументе: $\frac{11}{4} = 2\frac{3}{4}$.
Следовательно, $\frac{11\pi}{4} = 2\pi + \frac{3\pi}{4}$.
По свойству периодичности $\text{tg}(x+2\pi k) = \text{tg}(x)$ для целого $k$:$$\text{tg}\frac{11\pi}{4} = \text{tg}(2\pi + \frac{3\pi}{4}) = \text{tg}\frac{3\pi}{4}$$Теперь применим формулу приведения. Представим $\frac{3\pi}{4}$ как $\pi - \frac{\pi}{4}$.
По формуле $\text{tg}(\pi - \alpha) = -\text{tg}(\alpha)$:$$\text{tg}\frac{3\pi}{4} = \text{tg}(\pi - \frac{\pi}{4}) = -\text{tg}\frac{\pi}{4}$$Значение табличное: $\text{tg}\frac{\pi}{4} = 1$.
Следовательно, $\text{tg}\frac{11\pi}{4} = -1$.
Ответ: $-1$.

г) Найдем значение выражения $\cos(-\frac{61\pi}{4})$.
Косинус является четной функцией, поэтому $\cos(-x) = \cos(x)$:$$\cos(-\frac{61\pi}{4}) = \cos(\frac{61\pi}{4})$$Используем периодичность косинуса (период $2\pi$). Выделим целую часть из дроби: $\frac{61}{4} = 15\frac{1}{4}$.
Значит, $\frac{61\pi}{4} = 15\pi + \frac{\pi}{4}$. Представим $15\pi$ как $14\pi + \pi$:$$\cos(\frac{61\pi}{4}) = \cos(15\pi + \frac{\pi}{4}) = \cos(14\pi + \pi + \frac{\pi}{4})$$Отбрасываем $14\pi$, так как это целое число периодов ($14\pi = 7 \cdot 2\pi$):$$\cos(14\pi + \pi + \frac{\pi}{4}) = \cos(\pi + \frac{\pi}{4})$$Применяем формулу приведения $\cos(\pi + \alpha) = -\cos(\alpha)$:$$\cos(\pi + \frac{\pi}{4}) = -\cos\frac{\pi}{4}$$Значение табличное: $\cos\frac{\pi}{4} = \frac{\sqrt{2}}{2}$.
Следовательно, $\cos(-\frac{61\pi}{4}) = -\frac{\sqrt{2}}{2}$.
Ответ: $-\frac{\sqrt{2}}{2}$.

д) Найдем значение выражения $\sin^2\frac{29\pi}{4}$.
Сначала вычислим $\sin\frac{29\pi}{4}$. Выделим целую часть из дроби: $\frac{29}{4} = 7\frac{1}{4}$.
Следовательно, $\frac{29\pi}{4} = 7\pi + \frac{\pi}{4}$. Представим $7\pi$ как $6\pi + \pi$:$$\sin\frac{29\pi}{4} = \sin(7\pi + \frac{\pi}{4}) = \sin(6\pi + \pi + \frac{\pi}{4})$$Используя периодичность синуса (период $2\pi$), отбрасываем $6\pi$:$$\sin(6\pi + \pi + \frac{\pi}{4}) = \sin(\pi + \frac{\pi}{4})$$По формуле приведения $\sin(\pi + \alpha) = -\sin(\alpha)$:$$\sin(\pi + \frac{\pi}{4}) = -\sin\frac{\pi}{4} = -\frac{\sqrt{2}}{2}$$Теперь возведем полученное значение в квадрат:$$\sin^2\frac{29\pi}{4} = \left(-\frac{\sqrt{2}}{2}\right)^2 = \frac{(\sqrt{2})^2}{2^2} = \frac{2}{4} = \frac{1}{2}$$Ответ: $\frac{1}{2}$.

е) Найдем значение выражения $\text{ctg}^2(-\frac{40\pi}{3})$.
Поскольку функция возводится в четную степень (квадрат), мы можем убрать знак минус из аргумента: $\text{ctg}^2(-x) = (\text{ctg}(-x))^2 = (-\text{ctg}x)^2 = \text{ctg}^2x$.$$\text{ctg}^2(-\frac{40\pi}{3}) = \text{ctg}^2(\frac{40\pi}{3})$$Используем периодичность котангенса (период $\pi$). Выделим целую часть из дроби: $\frac{40}{3} = 13\frac{1}{3}$.
Значит, $\frac{40\pi}{3} = 13\pi + \frac{\pi}{3}$.
По свойству периодичности $\text{ctg}(x+\pi k) = \text{ctg}(x)$ для целого $k$:$$\text{ctg}(\frac{40\pi}{3}) = \text{ctg}(13\pi + \frac{\pi}{3}) = \text{ctg}\frac{\pi}{3}$$Значение табличное: $\text{ctg}\frac{\pi}{3} = \frac{\sqrt{3}}{3}$.
Возводим в квадрат:$$\text{ctg}^2(\frac{40\pi}{3}) = \left(\text{ctg}\frac{\pi}{3}\right)^2 = \left(\frac{\sqrt{3}}{3}\right)^2 = \frac{3}{9} = \frac{1}{3}$$Ответ: $\frac{1}{3}$.

Помогло решение? Оставьте отзыв в комментариях ниже.

Присоединяйтесь к Телеграм-группе @gdz_by_belarus

Присоединиться

Мы подготовили для вас ответ c подробным объяснением домашего задания по алгебре за 10 класс, для упражнения номер 1.372 расположенного на странице 124 к учебнику 2019 года издания для учащихся школ и гимназий.

Теперь на нашем сайте ГДЗ.ТОП вы всегда легко и бесплатно найдёте условие с правильным ответом на вопрос «Как решить ДЗ» и «Как сделать» задание по алгебре к упражнению №1.372 (с. 124), авторов: Арефьева (Ирина Глебовна), Пирютко (Ольга Николаевна), учебного пособия издательства Народная асвета.