Номер 1.379, страница 125 - гдз по алгебре 10 класс учебник Арефьева, Пирютко

Алгебра, 10 класс Учебник, авторы: Арефьева Ирина Глебовна, Пирютко Ольга Николаевна, издательство Народная асвета, Минск, 2019, голубого цвета

Авторы: Арефьева И. Г., Пирютко О. Н.

Тип: Учебник

Издательство: Народная асвета

Год издания: 2019 - 2026

Цвет обложки: голубой с графиком

Допущено Министерством образования Республики Беларусь

Популярные ГДЗ в 10 классе

Глава 1. Тригонометрия. Параграф 9. Формулы приведения - номер 1.379, страница 125.

№1.379 (с. 125)
Условие. №1.379 (с. 125)
скриншот условия
Алгебра, 10 класс Учебник, авторы: Арефьева Ирина Глебовна, Пирютко Ольга Николаевна, издательство Народная асвета, Минск, 2019, голубого цвета, страница 125, номер 1.379, Условие

1.379. Упростите выражение:

a) $\frac{\sin(\frac{\pi}{2} - \alpha)\operatorname{tg}(-\alpha)}{\cos(\frac{\pi}{2} + \alpha)};$

Б) $1 + \operatorname{ctg}(\pi + \alpha)\operatorname{tg}(\frac{3\pi}{2} - \alpha);$

В) $\frac{\cos(\frac{\pi}{2} - \alpha)\operatorname{tg}(\pi + \alpha)}{1 + \sin(\frac{\pi}{2} + \alpha)};$

Г) $\frac{1}{\cos^2(\pi - \alpha)} + \operatorname{ctg}(\frac{\pi}{2} - \alpha)\operatorname{tg}(\frac{3\pi}{2} + \alpha);$

Д) $\frac{\cos(\frac{\pi}{2} + \alpha) + \sin(\pi + \alpha)}{\cos(\frac{3\pi}{2} - \alpha)};$

е) $\frac{\operatorname{ctg}(\pi - \alpha)\sin(\pi + \alpha)}{\operatorname{ctg}(\frac{3\pi}{2} + \alpha)\sin(\frac{3\pi}{2} - \alpha)}.$

Решение. №1.379 (с. 125)
Алгебра, 10 класс Учебник, авторы: Арефьева Ирина Глебовна, Пирютко Ольга Николаевна, издательство Народная асвета, Минск, 2019, голубого цвета, страница 125, номер 1.379, Решение Алгебра, 10 класс Учебник, авторы: Арефьева Ирина Глебовна, Пирютко Ольга Николаевна, издательство Народная асвета, Минск, 2019, голубого цвета, страница 125, номер 1.379, Решение (продолжение 2)
Решение 2. №1.379 (с. 125)

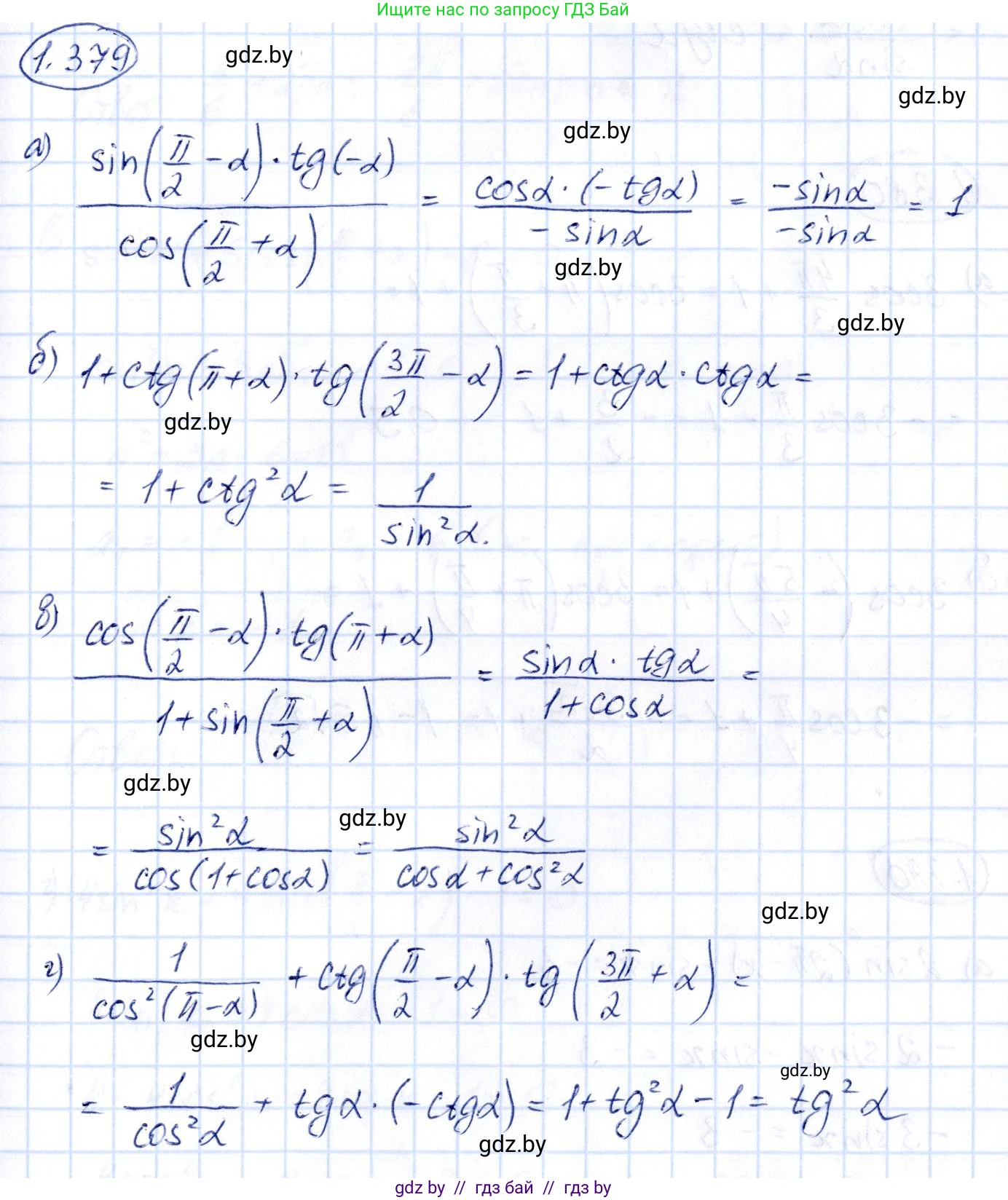
а) Упростим выражение $\frac{\sin(\frac{\pi}{2} - \alpha)\tg(-\alpha)}{\cos(\frac{\pi}{2} + \alpha)}$.

Для упрощения применим формулы приведения и учтем свойства четности/нечетности тригонометрических функций.

  • $\sin(\frac{\pi}{2} - \alpha) = \cos(\alpha)$ (угол $\frac{\pi}{2} - \alpha$ находится в I четверти, синус там положительный, а при наличии $\frac{\pi}{2}$ функция меняется на кофункцию).
  • $\tg(-\alpha) = -\tg(\alpha)$ (тангенс является нечетной функцией).
  • $\cos(\frac{\pi}{2} + \alpha) = -\sin(\alpha)$ (угол $\frac{\pi}{2} + \alpha$ находится во II четверти, косинус там отрицательный, функция меняется на кофункцию).

Подставим эти выражения в исходную дробь:

$\frac{\cos(\alpha) \cdot (-\tg(\alpha))}{-\sin(\alpha)} = \frac{\cos(\alpha) \cdot \tg(\alpha)}{\sin(\alpha)}$

Теперь воспользуемся определением тангенса $\tg(\alpha) = \frac{\sin(\alpha)}{\cos(\alpha)}$:

$\frac{\cos(\alpha) \cdot \frac{\sin(\alpha)}{\cos(\alpha)}}{\sin(\alpha)} = \frac{\sin(\alpha)}{\sin(\alpha)} = 1$

Ответ: 1


б) Упростим выражение $1 + \ctg(\pi + \alpha)\tg(\frac{3\pi}{2} - \alpha)$.

Применим формулы приведения:

  • $\ctg(\pi + \alpha) = \ctg(\alpha)$ (угол $\pi + \alpha$ находится в III четверти, котангенс там положительный, функция не меняется).
  • $\tg(\frac{3\pi}{2} - \alpha) = \ctg(\alpha)$ (угол $\frac{3\pi}{2} - \alpha$ находится в III четверти, тангенс там положительный, функция меняется на кофункцию).

Подставляем в исходное выражение:

$1 + \ctg(\alpha) \cdot \ctg(\alpha) = 1 + \ctg^2(\alpha)$

Используя основное тригонометрическое тождество $1 + \ctg^2(\alpha) = \frac{1}{\sin^2(\alpha)}$, получаем конечный результат.

Ответ: $\frac{1}{\sin^2(\alpha)}$


в) Упростим выражение $\frac{\cos(\frac{\pi}{2} - \alpha)\tg(\pi + \alpha)}{1 + \sin(\frac{\pi}{2} + \alpha)}$.

Применим формулы приведения:

  • $\cos(\frac{\pi}{2} - \alpha) = \sin(\alpha)$ (I четверть, cos меняется на sin, знак +).
  • $\tg(\pi + \alpha) = \tg(\alpha)$ (III четверть, tg не меняется, знак +).
  • $\sin(\frac{\pi}{2} + \alpha) = \cos(\alpha)$ (II четверть, sin меняется на cos, знак +).

Подставляем преобразованные функции в выражение:

$\frac{\sin(\alpha) \cdot \tg(\alpha)}{1 + \cos(\alpha)}$

Заменяем тангенс через синус и косинус $\tg(\alpha) = \frac{\sin(\alpha)}{\cos(\alpha)}$:

$\frac{\sin(\alpha) \cdot \frac{\sin(\alpha)}{\cos(\alpha)}}{1 + \cos(\alpha)} = \frac{\frac{\sin^2(\alpha)}{\cos(\alpha)}}{1 + \cos(\alpha)} = \frac{\sin^2(\alpha)}{\cos(\alpha)(1 + \cos(\alpha))}$

Используем основное тригонометрическое тождество $\sin^2(\alpha) = 1 - \cos^2(\alpha)$ и раскладываем разность квадратов $1 - \cos^2(\alpha) = (1 - \cos(\alpha))(1 + \cos(\alpha))$:

$\frac{(1 - \cos(\alpha))(1 + \cos(\alpha))}{\cos(\alpha)(1 + \cos(\alpha))}$

Сокращаем общий множитель $(1 + \cos(\alpha))$:

$\frac{1 - \cos(\alpha)}{\cos(\alpha)}$

Ответ: $\frac{1 - \cos(\alpha)}{\cos(\alpha)}$


г) Упростим выражение $\frac{1}{\cos^2(\pi - \alpha)} + \ctg(\frac{\pi}{2} - \alpha)\tg(\frac{3\pi}{2} + \alpha)$.

Применим формулы приведения:

  • $\cos(\pi - \alpha) = -\cos(\alpha)$ (II четверть, cos не меняется, знак -). Тогда $\cos^2(\pi - \alpha) = (-\cos(\alpha))^2 = \cos^2(\alpha)$.
  • $\ctg(\frac{\pi}{2} - \alpha) = \tg(\alpha)$ (I четверть, ctg меняется на tg, знак +).
  • $\tg(\frac{3\pi}{2} + \alpha) = -\ctg(\alpha)$ (IV четверть, tg меняется на ctg, знак -).

Подставляем в выражение:

$\frac{1}{\cos^2(\alpha)} + \tg(\alpha) \cdot (-\ctg(\alpha))$

Так как произведение тангенса и котангенса одного угла равно единице ($\tg(\alpha) \cdot \ctg(\alpha) = 1$), получаем:

$\frac{1}{\cos^2(\alpha)} - 1$

Приводим к общему знаменателю:

$\frac{1 - \cos^2(\alpha)}{\cos^2(\alpha)} = \frac{\sin^2(\alpha)}{\cos^2(\alpha)} = \tg^2(\alpha)$

Ответ: $\tg^2(\alpha)$


д) Упростим выражение $\frac{\cos(\frac{\pi}{2} + \alpha) + \sin(\pi + \alpha)}{\cos(\frac{3\pi}{2} - \alpha)}$.

Применим формулы приведения:

  • $\cos(\frac{\pi}{2} + \alpha) = -\sin(\alpha)$ (II четверть, cos меняется на sin, знак -).
  • $\sin(\pi + \alpha) = -\sin(\alpha)$ (III четверть, sin не меняется, знак -).
  • $\cos(\frac{3\pi}{2} - \alpha) = -\sin(\alpha)$ (III четверть, cos меняется на sin, знак -).

Подставляем в выражение:

$\frac{-\sin(\alpha) + (-\sin(\alpha))}{-\sin(\alpha)} = \frac{-2\sin(\alpha)}{-\sin(\alpha)}$

Сокращаем $-\sin(\alpha)$ (при условии, что $\sin(\alpha) \neq 0$):

$2$

Ответ: 2


е) Упростим выражение $\frac{\ctg(\pi - \alpha)\sin(\pi + \alpha)}{\ctg(\frac{3\pi}{2} + \alpha)\sin(\frac{3\pi}{2} - \alpha)}$.

Применим формулы приведения:

  • $\ctg(\pi - \alpha) = -\ctg(\alpha)$ (II четверть, ctg не меняется, знак -).
  • $\sin(\pi + \alpha) = -\sin(\alpha)$ (III четверть, sin не меняется, знак -).
  • $\ctg(\frac{3\pi}{2} + \alpha) = -\tg(\alpha)$ (IV четверть, ctg меняется на tg, знак -).
  • $\sin(\frac{3\pi}{2} - \alpha) = -\cos(\alpha)$ (III четверть, sin меняется на cos, знак -).

Подставляем в выражение:

$\frac{(-\ctg(\alpha)) \cdot (-\sin(\alpha))}{(-\tg(\alpha)) \cdot (-\cos(\alpha))} = \frac{\ctg(\alpha)\sin(\alpha)}{\tg(\alpha)\cos(\alpha)}$

Раскроем тангенс и котангенс по их определениям:

Числитель: $\ctg(\alpha)\sin(\alpha) = \frac{\cos(\alpha)}{\sin(\alpha)} \cdot \sin(\alpha) = \cos(\alpha)$

Знаменатель: $\tg(\alpha)\cos(\alpha) = \frac{\sin(\alpha)}{\cos(\alpha)} \cdot \cos(\alpha) = \sin(\alpha)$

В результате получаем дробь:

$\frac{\cos(\alpha)}{\sin(\alpha)} = \ctg(\alpha)$

Ответ: $\ctg(\alpha)$

Помогло решение? Оставьте отзыв в комментариях ниже.

Присоединяйтесь к Телеграм-группе @gdz_by_belarus

Присоединиться

Мы подготовили для вас ответ c подробным объяснением домашего задания по алгебре за 10 класс, для упражнения номер 1.379 расположенного на странице 125 к учебнику 2019 года издания для учащихся школ и гимназий.

Теперь на нашем сайте ГДЗ.ТОП вы всегда легко и бесплатно найдёте условие с правильным ответом на вопрос «Как решить ДЗ» и «Как сделать» задание по алгебре к упражнению №1.379 (с. 125), авторов: Арефьева (Ирина Глебовна), Пирютко (Ольга Николаевна), учебного пособия издательства Народная асвета.