Номер 1.422, страница 137 - гдз по алгебре 10 класс учебник Арефьева, Пирютко

Алгебра, 10 класс Учебник, авторы: Арефьева Ирина Глебовна, Пирютко Ольга Николаевна, издательство Народная асвета, Минск, 2019, голубого цвета

Авторы: Арефьева И. Г., Пирютко О. Н.

Тип: Учебник

Издательство: Народная асвета

Год издания: 2019 - 2026

Цвет обложки: голубой с графиком

Допущено Министерством образования Республики Беларусь

Популярные ГДЗ в 10 классе

Глава 1. Тригонометрия. Параграф 10. Синус, косинус, тангенс суммы и разности - номер 1.422, страница 137.

№1.422 (с. 137)
Условие. №1.422 (с. 137)
скриншот условия
Алгебра, 10 класс Учебник, авторы: Арефьева Ирина Глебовна, Пирютко Ольга Николаевна, издательство Народная асвета, Минск, 2019, голубого цвета, страница 137, номер 1.422, Условие

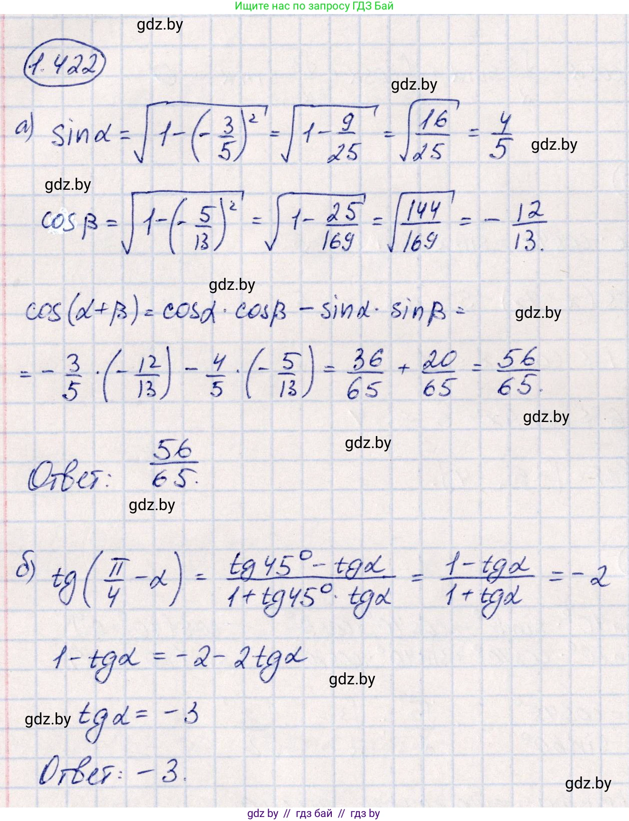
1.422. Найдите значение выражения:

a) $\cos(\alpha + \beta)$, если $\cos \alpha = -\frac{3}{5}$, $\sin \beta = -\frac{5}{13}$, причем $\frac{\pi}{2} < \alpha < \pi$, $\pi < \beta < \frac{3\pi}{2}$;

б) $\text{tg } \alpha$, если известно, что $\text{tg}(\frac{\pi}{4} - \alpha) = -2$.

Решение. №1.422 (с. 137)
Алгебра, 10 класс Учебник, авторы: Арефьева Ирина Глебовна, Пирютко Ольга Николаевна, издательство Народная асвета, Минск, 2019, голубого цвета, страница 137, номер 1.422, Решение
Решение 2. №1.422 (с. 137)

а) Для нахождения значения выражения $cos(\alpha + \beta)$ воспользуемся формулой косинуса суммы:

$cos(\alpha + \beta) = cos\alpha \cdot cos\beta - sin\alpha \cdot sin\beta$

Из условия нам известны $cos\alpha = -\frac{3}{5}$ и $sin\beta = -\frac{5}{13}$. Чтобы применить формулу, необходимо найти значения $sin\alpha$ и $cos\beta$.

1. Найдем $sin\alpha$. Используем основное тригонометрическое тождество $sin^2\alpha + cos^2\alpha = 1$.

$sin^2\alpha = 1 - cos^2\alpha = 1 - (-\frac{3}{5})^2 = 1 - \frac{9}{25} = \frac{25-9}{25} = \frac{16}{25}$

Отсюда $sin\alpha = \pm\sqrt{\frac{16}{25}} = \pm\frac{4}{5}$.

По условию, угол $\alpha$ находится в интервале $\frac{\pi}{2} < \alpha < \pi$, что соответствует второй координатной четверти. В этой четверти синус положителен, следовательно, $sin\alpha = \frac{4}{5}$.

2. Найдем $cos\beta$. Также используем основное тригонометрическое тождество $sin^2\beta + cos^2\beta = 1$.

$cos^2\beta = 1 - sin^2\beta = 1 - (-\frac{5}{13})^2 = 1 - \frac{25}{169} = \frac{169-25}{169} = \frac{144}{169}$

Отсюда $cos\beta = \pm\sqrt{\frac{144}{169}} = \pm\frac{12}{13}$.

По условию, угол $\beta$ находится в интервале $\pi < \beta < \frac{3\pi}{2}$, что соответствует третьей координатной четверти. В этой четверти косинус отрицателен, следовательно, $cos\beta = -\frac{12}{13}$.

3. Теперь подставим все известные и найденные значения в формулу косинуса суммы:

$cos(\alpha + \beta) = cos\alpha \cdot cos\beta - sin\alpha \cdot sin\beta = (-\frac{3}{5}) \cdot (-\frac{12}{13}) - (\frac{4}{5}) \cdot (-\frac{5}{13}) = \frac{36}{65} - (-\frac{20}{65}) = \frac{36}{65} + \frac{20}{65} = \frac{56}{65}$

Ответ: $\frac{56}{65}$


б) Для нахождения $tg\alpha$ воспользуемся формулой тангенса разности:

$tg(A - B) = \frac{tgA - tgB}{1 + tgA \cdot tgB}$

В нашем случае $A = \frac{\pi}{4}$ и $B = \alpha$. По условию $tg(\frac{\pi}{4} - \alpha) = -2$.

Подставим значения в формулу. Нам известно, что $tg\frac{\pi}{4} = 1$.

$tg(\frac{\pi}{4} - \alpha) = \frac{tg\frac{\pi}{4} - tg\alpha}{1 + tg\frac{\pi}{4} \cdot tg\alpha} = \frac{1 - tg\alpha}{1 + 1 \cdot tg\alpha}$

Теперь составим уравнение:

$\frac{1 - tg\alpha}{1 + tg\alpha} = -2$

Для удобства решения введем замену $x = tg\alpha$:

$\frac{1 - x}{1 + x} = -2$

Умножим обе части уравнения на $(1 + x)$, при условии, что $1 + x \neq 0$:

$1 - x = -2(1 + x)$

$1 - x = -2 - 2x$

Перенесем слагаемые с $x$ в левую часть, а числа — в правую:

$2x - x = -2 - 1$

$x = -3$

Следовательно, $tg\alpha = -3$.

Ответ: -3

Помогло решение? Оставьте отзыв в комментариях ниже.

Присоединяйтесь к Телеграм-группе @gdz_by_belarus

Присоединиться

Мы подготовили для вас ответ c подробным объяснением домашего задания по алгебре за 10 класс, для упражнения номер 1.422 расположенного на странице 137 к учебнику 2019 года издания для учащихся школ и гимназий.

Теперь на нашем сайте ГДЗ.ТОП вы всегда легко и бесплатно найдёте условие с правильным ответом на вопрос «Как решить ДЗ» и «Как сделать» задание по алгебре к упражнению №1.422 (с. 137), авторов: Арефьева (Ирина Глебовна), Пирютко (Ольга Николаевна), учебного пособия издательства Народная асвета.