Номер 1.424, страница 137 - гдз по алгебре 10 класс учебник Арефьева, Пирютко

Алгебра, 10 класс Учебник, авторы: Арефьева Ирина Глебовна, Пирютко Ольга Николаевна, издательство Народная асвета, Минск, 2019, голубого цвета

Авторы: Арефьева И. Г., Пирютко О. Н.

Тип: Учебник

Издательство: Народная асвета

Год издания: 2019 - 2026

Цвет обложки: голубой с графиком

Допущено Министерством образования Республики Беларусь

Популярные ГДЗ в 10 классе

Глава 1. Тригонометрия. Параграф 10. Синус, косинус, тангенс суммы и разности - номер 1.424, страница 137.

№1.424 (с. 137)
Условие. №1.424 (с. 137)
скриншот условия
Алгебра, 10 класс Учебник, авторы: Арефьева Ирина Глебовна, Пирютко Ольга Николаевна, издательство Народная асвета, Минск, 2019, голубого цвета, страница 137, номер 1.424, Условие

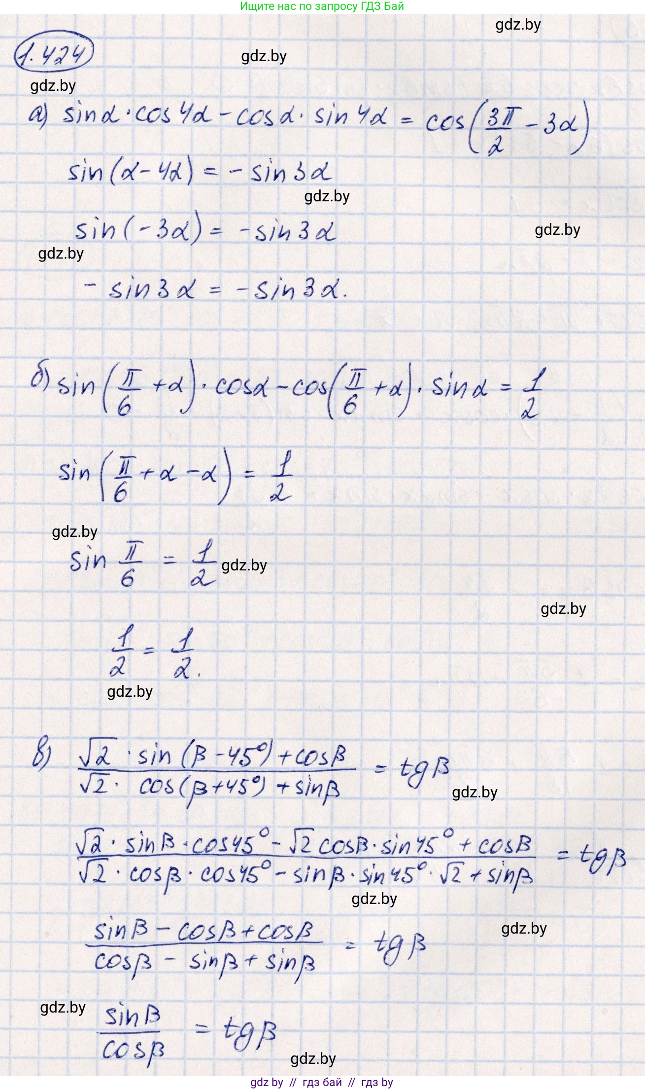
1.424. Докажите тождество:

a) $\sin \alpha \cos 4\alpha - \cos \alpha \sin 4\alpha = \cos\left(\frac{3\pi}{2} - 3\alpha\right)$

б) $\sin\left(\frac{\pi}{6} + \alpha\right)\cos \alpha - \cos\left(\frac{\pi}{6} + \alpha\right)\sin \alpha = \frac{1}{2}$

В) $\frac{\sqrt{2} \sin(\beta - 45^\circ) + \cos\beta}{\sqrt{2} \cos(\beta + 45^\circ) + \sin\beta} = \text{tg}\beta$

Решение. №1.424 (с. 137)
Алгебра, 10 класс Учебник, авторы: Арефьева Ирина Глебовна, Пирютко Ольга Николаевна, издательство Народная асвета, Минск, 2019, голубого цвета, страница 137, номер 1.424, Решение Алгебра, 10 класс Учебник, авторы: Арефьева Ирина Глебовна, Пирютко Ольга Николаевна, издательство Народная асвета, Минск, 2019, голубого цвета, страница 137, номер 1.424, Решение (продолжение 2)
Решение 2. №1.424 (с. 137)

а) Докажем тождество $ \sin\alpha \cos4\alpha - \cos\alpha \sin4\alpha = \cos\left(\frac{3\pi}{2} - 3\alpha\right) $.

Преобразуем левую часть тождества, используя формулу синуса разности углов $ \sin(A - B) = \sin A \cos B - \cos A \sin B $:

$ \sin\alpha \cos4\alpha - \cos\alpha \sin4\alpha = \sin(\alpha - 4\alpha) = \sin(-3\alpha) $.

Так как синус — нечетная функция, $ \sin(-x) = -\sin(x) $, то получаем:

$ \sin(-3\alpha) = -\sin(3\alpha) $.

Теперь преобразуем правую часть тождества, используя формулу приведения:

$ \cos\left(\frac{3\pi}{2} - 3\alpha\right) $.

Угол $ \frac{3\pi}{2} $ находится на вертикальной оси, поэтому функция $ \cos $ меняется на $ \sin $. Угол $ \left(\frac{3\pi}{2} - 3\alpha\right) $ находится в III четверти (при малых $ \alpha $), где косинус отрицателен. Следовательно:

$ \cos\left(\frac{3\pi}{2} - 3\alpha\right) = -\sin(3\alpha) $.

Сравнивая преобразованные левую и правую части, получаем, что они равны:

$ -\sin(3\alpha) = -\sin(3\alpha) $.

Тождество доказано.

Ответ: $ \sin\alpha \cos4\alpha - \cos\alpha \sin4\alpha = \cos\left(\frac{3\pi}{2} - 3\alpha\right) $.

б) Докажем тождество $ \sin\left(\frac{\pi}{6} + \alpha\right) \cos\alpha - \cos\left(\frac{\pi}{6} + \alpha\right) \sin\alpha = \frac{1}{2} $.

Преобразуем левую часть тождества. Выражение в левой части соответствует формуле синуса разности углов $ \sin(A - B) = \sin A \cos B - \cos A \sin B $, где $ A = \frac{\pi}{6} + \alpha $ и $ B = \alpha $.

$ \sin\left(\frac{\pi}{6} + \alpha\right) \cos\alpha - \cos\left(\frac{\pi}{6} + \alpha\right) \sin\alpha = \sin\left( \left(\frac{\pi}{6} + \alpha\right) - \alpha \right) = \sin\left(\frac{\pi}{6}\right) $.

Вычислим значение синуса:

$ \sin\left(\frac{\pi}{6}\right) = \frac{1}{2} $.

Таким образом, левая часть равна $ \frac{1}{2} $, что совпадает с правой частью.

$ \frac{1}{2} = \frac{1}{2} $.

Тождество доказано.

Ответ: $ \sin\left(\frac{\pi}{6} + \alpha\right) \cos\alpha - \cos\left(\frac{\pi}{6} + \alpha\right) \sin\alpha = \frac{1}{2} $.

в) Докажем тождество $ \frac{\sqrt{2} \sin(\beta - 45^\circ) + \cos\beta}{\sqrt{2} \cos(\beta + 45^\circ) + \sin\beta} = \mathrm{tg}\,\beta $.

Преобразуем левую часть тождества. Для этого раскроем выражения в числителе и знаменателе, используя формулы синуса разности и косинуса суммы:

$ \sin(A - B) = \sin A \cos B - \cos A \sin B $

$ \cos(A + B) = \cos A \cos B - \sin A \sin B $

А также значения синуса и косинуса для $ 45^\circ $: $ \sin(45^\circ) = \cos(45^\circ) = \frac{\sqrt{2}}{2} $.

Преобразуем числитель:

$ \sqrt{2} \sin(\beta - 45^\circ) + \cos\beta = \sqrt{2} (\sin\beta \cos45^\circ - \cos\beta \sin45^\circ) + \cos\beta $

$ = \sqrt{2} \left( \sin\beta \cdot \frac{\sqrt{2}}{2} - \cos\beta \cdot \frac{\sqrt{2}}{2} \right) + \cos\beta $

$ = \sqrt{2} \cdot \frac{\sqrt{2}}{2} (\sin\beta - \cos\beta) + \cos\beta $

$ = \frac{2}{2} (\sin\beta - \cos\beta) + \cos\beta = (\sin\beta - \cos\beta) + \cos\beta = \sin\beta $.

Преобразуем знаменатель:

$ \sqrt{2} \cos(\beta + 45^\circ) + \sin\beta = \sqrt{2} (\cos\beta \cos45^\circ - \sin\beta \sin45^\circ) + \sin\beta $

$ = \sqrt{2} \left( \cos\beta \cdot \frac{\sqrt{2}}{2} - \sin\beta \cdot \frac{\sqrt{2}}{2} \right) + \sin\beta $

$ = \sqrt{2} \cdot \frac{\sqrt{2}}{2} (\cos\beta - \sin\beta) + \sin\beta $

$ = \frac{2}{2} (\cos\beta - \sin\beta) + \sin\beta = (\cos\beta - \sin\beta) + \sin\beta = \cos\beta $.

Подставим преобразованные числитель и знаменатель обратно в дробь:

$ \frac{\sin\beta}{\cos\beta} = \mathrm{tg}\,\beta $.

Левая часть равна правой. Тождество доказано.

Ответ: $ \frac{\sqrt{2} \sin(\beta - 45^\circ) + \cos\beta}{\sqrt{2} \cos(\beta + 45^\circ) + \sin\beta} = \mathrm{tg}\,\beta $.

Помогло решение? Оставьте отзыв в комментариях ниже.

Присоединяйтесь к Телеграм-группе @gdz_by_belarus

Присоединиться

Мы подготовили для вас ответ c подробным объяснением домашего задания по алгебре за 10 класс, для упражнения номер 1.424 расположенного на странице 137 к учебнику 2019 года издания для учащихся школ и гимназий.

Теперь на нашем сайте ГДЗ.ТОП вы всегда легко и бесплатно найдёте условие с правильным ответом на вопрос «Как решить ДЗ» и «Как сделать» задание по алгебре к упражнению №1.424 (с. 137), авторов: Арефьева (Ирина Глебовна), Пирютко (Ольга Николаевна), учебного пособия издательства Народная асвета.