Номер 1.442, страница 139 - гдз по алгебре 10 класс учебник Арефьева, Пирютко

Алгебра, 10 класс Учебник, авторы: Арефьева Ирина Глебовна, Пирютко Ольга Николаевна, издательство Народная асвета, Минск, 2019, голубого цвета

Авторы: Арефьева И. Г., Пирютко О. Н.

Тип: Учебник

Издательство: Народная асвета

Год издания: 2019 - 2026

Цвет обложки: голубой с графиком

Допущено Министерством образования Республики Беларусь

Популярные ГДЗ в 10 классе

Глава 1. Тригонометрия. Параграф 10. Синус, косинус, тангенс суммы и разности - номер 1.442, страница 139.

№1.442 (с. 139)
Условие. №1.442 (с. 139)
скриншот условия
Алгебра, 10 класс Учебник, авторы: Арефьева Ирина Глебовна, Пирютко Ольга Николаевна, издательство Народная асвета, Минск, 2019, голубого цвета, страница 139, номер 1.442, Условие

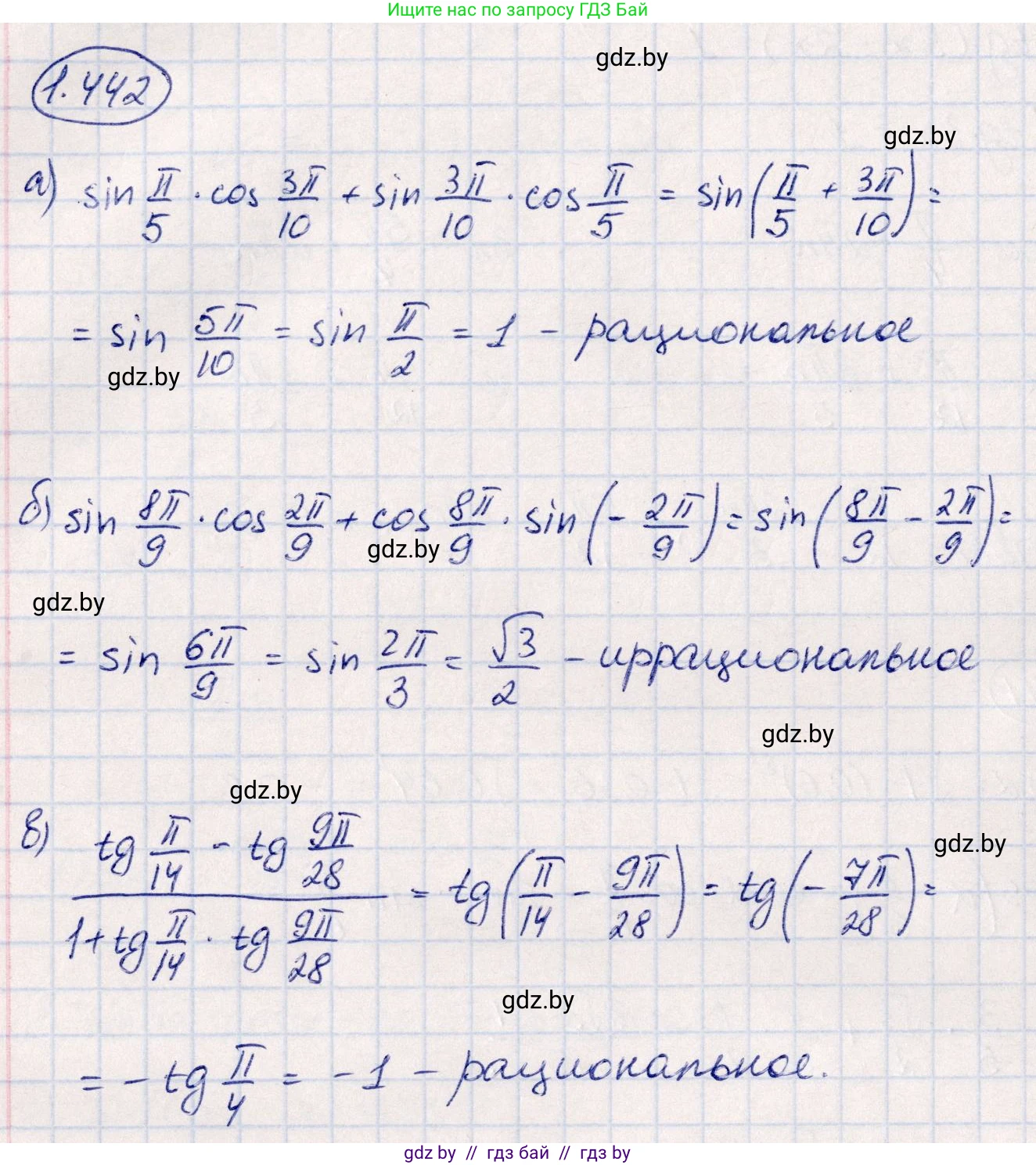
1.442. Рациональным или иррациональным числом является значение выражения:

a) $ \sin \frac{\pi}{5} \cos \frac{3\pi}{10} + \sin \frac{3\pi}{10} \cos \frac{\pi}{5}; $

б) $ \sin \frac{8\pi}{9} \cos \frac{2\pi}{9} + \cos \frac{8\pi}{9} \sin \left(-\frac{2\pi}{9}\right); $

В) $ \frac{\operatorname{tg} \frac{\pi}{14} - \operatorname{tg} \frac{9\pi}{28}}{1 + \operatorname{tg} \frac{\pi}{14} \operatorname{tg} \frac{9\pi}{28}} ? $

Решение. №1.442 (с. 139)
Алгебра, 10 класс Учебник, авторы: Арефьева Ирина Глебовна, Пирютко Ольга Николаевна, издательство Народная асвета, Минск, 2019, голубого цвета, страница 139, номер 1.442, Решение
Решение 2. №1.442 (с. 139)

Для того чтобы определить, является ли значение выражения рациональным или иррациональным числом, необходимо упростить каждое выражение, используя тригонометрические формулы.

а) Рассмотрим выражение $ \sin\frac{\pi}{5}\cos\frac{3\pi}{10} + \sin\frac{3\pi}{10}\cos\frac{\pi}{5} $.
Это выражение соответствует формуле синуса суммы двух углов: $ \sin(\alpha + \beta) = \sin\alpha\cos\beta + \cos\alpha\sin\beta $.
В нашем случае $ \alpha = \frac{\pi}{5} $ и $ \beta = \frac{3\pi}{10} $.
Следовательно, выражение равно $ \sin(\frac{\pi}{5} + \frac{3\pi}{10}) $.
Найдем сумму углов:
$ \frac{\pi}{5} + \frac{3\pi}{10} = \frac{2\pi}{10} + \frac{3\pi}{10} = \frac{5\pi}{10} = \frac{\pi}{2} $.
Таким образом, значение выражения равно $ \sin(\frac{\pi}{2}) = 1 $.
Число 1 является целым числом, а любое целое число является рациональным, так как его можно представить в виде дроби (например, $ \frac{1}{1} $).
Ответ: Рациональное число.

б) Рассмотрим выражение $ \sin\frac{8\pi}{9}\cos\frac{2\pi}{9} + \cos\frac{8\pi}{9}\sin(-\frac{2\pi}{9}) $.
Используем свойство нечетности функции синус: $ \sin(-x) = -\sin(x) $.
Выражение принимает вид: $ \sin\frac{8\pi}{9}\cos\frac{2\pi}{9} - \cos\frac{8\pi}{9}\sin(\frac{2\pi}{9}) $.
Это выражение соответствует формуле синуса разности двух углов: $ \sin(\alpha - \beta) = \sin\alpha\cos\beta - \cos\alpha\sin\beta $.
В нашем случае $ \alpha = \frac{8\pi}{9} $ и $ \beta = \frac{2\pi}{9} $.
Следовательно, выражение равно $ \sin(\frac{8\pi}{9} - \frac{2\pi}{9}) $.
Найдем разность углов:
$ \frac{8\pi}{9} - \frac{2\pi}{9} = \frac{6\pi}{9} = \frac{2\pi}{3} $.
Таким образом, значение выражения равно $ \sin(\frac{2\pi}{3}) = \frac{\sqrt{3}}{2} $.
Число $ \sqrt{3} $ является иррациональным. Частное от деления иррационального числа на ненулевое рациональное число (в данном случае 2) является иррациональным числом. Следовательно, $ \frac{\sqrt{3}}{2} $ - иррациональное число.
Ответ: Иррациональное число.

в) Рассмотрим выражение $ \frac{\tg\frac{\pi}{14} - \tg\frac{9\pi}{28}}{1 + \tg\frac{\pi}{14}\tg\frac{9\pi}{28}} $.
Это выражение соответствует формуле тангенса разности двух углов: $ \tg(\alpha - \beta) = \frac{\tg\alpha - \tg\beta}{1 + \tg\alpha\tg\beta} $.
В нашем случае $ \alpha = \frac{\pi}{14} $ и $ \beta = \frac{9\pi}{28} $.
Следовательно, выражение равно $ \tg(\frac{\pi}{14} - \frac{9\pi}{28}) $.
Найдем разность углов:
$ \frac{\pi}{14} - \frac{9\pi}{28} = \frac{2\pi}{28} - \frac{9\pi}{28} = -\frac{7\pi}{28} = -\frac{\pi}{4} $.
Таким образом, значение выражения равно $ \tg(-\frac{\pi}{4}) $.
Используя свойство нечетности функции тангенс $ \tg(-x) = -\tg(x) $, получаем: $ \tg(-\frac{\pi}{4}) = -\tg(\frac{\pi}{4}) = -1 $.
Число -1 является целым числом, а любое целое число является рациональным, так как его можно представить в виде дроби (например, $ \frac{-1}{1} $).
Ответ: Рациональное число.

Помогло решение? Оставьте отзыв в комментариях ниже.

Присоединяйтесь к Телеграм-группе @gdz_by_belarus

Присоединиться

Мы подготовили для вас ответ c подробным объяснением домашего задания по алгебре за 10 класс, для упражнения номер 1.442 расположенного на странице 139 к учебнику 2019 года издания для учащихся школ и гимназий.

Теперь на нашем сайте ГДЗ.ТОП вы всегда легко и бесплатно найдёте условие с правильным ответом на вопрос «Как решить ДЗ» и «Как сделать» задание по алгебре к упражнению №1.442 (с. 139), авторов: Арефьева (Ирина Глебовна), Пирютко (Ольга Николаевна), учебного пособия издательства Народная асвета.