Номер 1.446, страница 140 - гдз по алгебре 10 класс учебник Арефьева, Пирютко

Алгебра, 10 класс Учебник, авторы: Арефьева Ирина Глебовна, Пирютко Ольга Николаевна, издательство Народная асвета, Минск, 2019, голубого цвета

Авторы: Арефьева И. Г., Пирютко О. Н.

Тип: Учебник

Издательство: Народная асвета

Год издания: 2019 - 2026

Цвет обложки: голубой с графиком

Допущено Министерством образования Республики Беларусь

Популярные ГДЗ в 10 классе

Глава 1. Тригонометрия. Параграф 10. Синус, косинус, тангенс суммы и разности - номер 1.446, страница 140.

№1.446 (с. 140)
Условие. №1.446 (с. 140)
скриншот условия
Алгебра, 10 класс Учебник, авторы: Арефьева Ирина Глебовна, Пирютко Ольга Николаевна, издательство Народная асвета, Минск, 2019, голубого цвета, страница 140, номер 1.446, Условие

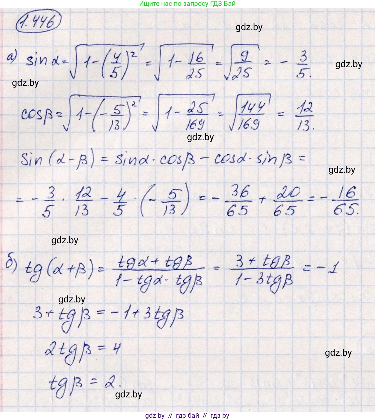
1.446. Найдите значение выражения:

а) $sin(\\alpha - \\beta)$, если $cos\\alpha = \\frac{4}{5}$, $sin\\beta = -\\frac{5}{13}$, причем $\\alpha$ и $\\beta$ — углы одной четверти;

б) $tg\\beta$, если известно, что $tg(\\alpha + \\beta) = -1$, $tg\\alpha = 3$.

Решение. №1.446 (с. 140)
Алгебра, 10 класс Учебник, авторы: Арефьева Ирина Глебовна, Пирютко Ольга Николаевна, издательство Народная асвета, Минск, 2019, голубого цвета, страница 140, номер 1.446, Решение
Решение 2. №1.446 (с. 140)

а) Для нахождения значения выражения $sin(\alpha - \beta)$ воспользуемся формулой синуса разности двух углов:
$sin(\alpha - \beta) = sin(\alpha)cos(\beta) - cos(\alpha)sin(\beta)$

Нам даны значения $cos(\alpha) = \frac{4}{5}$ и $sin(\beta) = -\frac{5}{13}$.
Из условия известно, что углы $\alpha$ и $\beta$ принадлежат одной и той же четверти. Определим, какой именно.
Так как $cos(\alpha) = \frac{4}{5} > 0$, угол $\alpha$ может находиться в I или IV четверти.
Так как $sin(\beta) = -\frac{5}{13} < 0$, угол $\beta$ может находиться в III или IV четверти.
Поскольку оба угла находятся в одной четверти, это может быть только IV четверть.

В IV четверти синус отрицателен, а косинус положителен.

Найдем $sin(\alpha)$, используя основное тригонометрическое тождество $sin^2(\alpha) + cos^2(\alpha) = 1$:
$sin^2(\alpha) = 1 - cos^2(\alpha) = 1 - (\frac{4}{5})^2 = 1 - \frac{16}{25} = \frac{9}{25}$
Так как $\alpha$ в IV четверти, $sin(\alpha) < 0$, поэтому $sin(\alpha) = -\sqrt{\frac{9}{25}} = -\frac{3}{5}$.

Найдем $cos(\beta)$, используя основное тригонометрическое тождество $sin^2(\beta) + cos^2(\beta) = 1$:
$cos^2(\beta) = 1 - sin^2(\beta) = 1 - (-\frac{5}{13})^2 = 1 - \frac{25}{169} = \frac{144}{169}$
Так как $\beta$ в IV четверти, $cos(\beta) > 0$, поэтому $cos(\beta) = \sqrt{\frac{144}{169}} = \frac{12}{13}$.

Теперь подставим все найденные и данные значения в формулу синуса разности:
$sin(\alpha - \beta) = sin(\alpha)cos(\beta) - cos(\alpha)sin(\beta) = (-\frac{3}{5}) \cdot (\frac{12}{13}) - (\frac{4}{5}) \cdot (-\frac{5}{13}) = -\frac{36}{65} + \frac{20}{65} = -\frac{16}{65}$

Ответ: $-\frac{16}{65}$.

б) Для нахождения $tg(\beta)$ воспользуемся формулой тангенса суммы двух углов:
$tg(\alpha + \beta) = \frac{tg(\alpha) + tg(\beta)}{1 - tg(\alpha)tg(\beta)}$

Нам известны значения $tg(\alpha + \beta) = -1$ и $tg(\alpha) = 3$. Подставим их в формулу:
$-1 = \frac{3 + tg(\beta)}{1 - 3 \cdot tg(\beta)}$

Решим полученное уравнение относительно $tg(\beta)$. Пусть $x = tg(\beta)$:
$-1 = \frac{3 + x}{1 - 3x}$
$-1 \cdot (1 - 3x) = 3 + x$
$-1 + 3x = 3 + x$
$3x - x = 3 + 1$
$2x = 4$
$x = 2$
Следовательно, $tg(\beta) = 2$.

Ответ: 2.

Помогло решение? Оставьте отзыв в комментариях ниже.

Присоединяйтесь к Телеграм-группе @gdz_by_belarus

Присоединиться

Мы подготовили для вас ответ c подробным объяснением домашего задания по алгебре за 10 класс, для упражнения номер 1.446 расположенного на странице 140 к учебнику 2019 года издания для учащихся школ и гимназий.

Теперь на нашем сайте ГДЗ.ТОП вы всегда легко и бесплатно найдёте условие с правильным ответом на вопрос «Как решить ДЗ» и «Как сделать» задание по алгебре к упражнению №1.446 (с. 140), авторов: Арефьева (Ирина Глебовна), Пирютко (Ольга Николаевна), учебного пособия издательства Народная асвета.